Gå til hovedinnhold

Lakselusinfestasjon på vill laksefisk langs norskekysten i 2018

— Sluttrapport til Mattilsynet

Forfatter(e): Rune Nilsen , Kristine Marit Schrøder Elvik , Rosa Maria Serra-Llinares , Anne Dagrun Sandvik , Runar Kjær , Ørjan Karlsen (HI) og Bengt Finstad og Marius Berg (Norsk institutt for naturforskning) og Gunnar Bekke Lehmann (NORCE)

1 - Sammendrag

Overvåkingsprogrammet for lakselus på vill laksefisk (NALO) er i 2018 gjennomført på oppdrag fra Mattilsynet. Det var like stor vekt på utvandrende laksesmolt som i 2017, men økt innsats på sjøørret, med fiske i alle de 13 produksjonsområdene i to runder på to uker. 

Feltarbeidet i NALO startet 30. april i Sør-Norge og ble avsluttet 12. august i Finnmark. I ca. fire uker ble det utført pelagisk tråling etter utvandrende laksesmolt i henholdsvis; Rogaland, Hardanger, Sognefjorden, Romsdalsfjorden, Trondheimsfjorden og Altafjorden. Grunnet sen smoltutvandring ble tråling i Alta forskjøvet med vel en uke.  Ruse/garnfangst av sjøørret ble gjennomført i to perioder på en rekke stasjoner langs hele kysten. Første periode ble gjennomført kort tid etter forventet utvandringstidspunkt for laksesmolt i området, og hadde som mål å kartlegge smittepresset av lakselus i dette tidsrommet. Videre ble periode to gjennomført omtrent en uke etter at første periode ble avsluttet. Det ble i tillegg benyttet vaktbur i en eller flere perioder i flere av de samme fjordsystemene som ble undersøkt med tråling, og i tillegg i ytre Namsenfjord/Vikna.

Det er gjort en foreløpig vurdering av effekten på villfisk ved å bruke grensen mer enn 0,1 lus per gram kroppsvekt hos fisken som indikasjon på begynnende negativ fysiologisk effekt. En har benyttet begrepene lite, moderat og mye for å vurdere mengden lakselus registrert på villfisk i de ulike områdene. Resultatene og vurderingene er vist for hvert av de 13 produksjonsområdene.

2 - Mål

Havforskningsinstituttet (HI) har på oppdrag fra Mattilsynet (MT) og Nærings- og fiskeridepartementet (NFD) ansvaret for å koordinere overvåking, forskning og rådgivning vedrørende lakselusinfestasjon på vill laksefisk langs norskekysten. Dette gjøres for å skaffe datagrunnlag til rådgivning i forbindelse med vurdering av bærekraft for havbruksnæringen (produksjonssoneforskriften), for å evaluere effekten av forvaltningstiltak som nasjonale laksefjorder og andre relevante problemstillinger i forbindelse med lakselus på vill laksefisk. Overvåkingsprogrammet for lakselus på vill laksefisk 2018 følger opp anbefalingene i rapporten ”Forslag til førstegenerasjons målemetoder for miljøeffekt (effektindikatorer) med hensyn til genetisk påvirkning fra oppdrettslaks til villaks, og påvirkning av lakselus fra oppdrett på viltlevende laksefiskbestander” (Taranger mfl., 2012a).

3 - Innledning

Siden 2012 har den nasjonale overvåkingen av lakselus på vill laksefisk (NALO) vært under jevn utvikling for basert på anbefalingene i «indikatorrapporten» (Taranger mfl., 2012a), samt andre relevante forsknings- og rådgivningsoppgaver. Feltinnsatsen har blitt betydelig styrket for å kunne evaluere effekten av nasjonale laksefjorder og soneforskrifter mot lakselus. Det har også blitt lagt mer vekt på økt systemforståelse (hydrografi og oppdrettsdata m.m.), og infestasjonsdata fra villfisk har i stadig større grad blitt koblet opp mot hydrodynamiske spredningsmodeller for lakselus (Taranger mfl., 2012b; 2013; 2014; 2015; Nilsen mfl., 2014; 2016; Svåsand mfl., 2015; 2016). Dette har blitt gjort som et ledd i å gradvis erstatte fysisk overvåkning med modeller. I 2014 ble systemet med risikobasert overvåking testet i ett av områdene i NALO-programmet. Dette ble gjort ved at mengden infektive kopepoditter beregnet med spredningsmodellen for lakselus ble lagt til grunn for valg av hvilke lokaliteter som skulle undersøkes. Tilstandsbekreftelsen fra de undersøkte lokalitetene viste samsvar med forventningene fra spredningsmodellen (Nilsen mfl., 2014). Modellen kan derfor allerede benyttes som et verktøy for å varsle om tilfeller med spesielt høyt smittepress i kritiske perioder for villfisk i området. Systemet med risikobasert overvåking ble derfor videreført som en fullskala test i 2015 hvorpå resultater fra alle undersøkte stasjoner i NALO-programmet ble vurdert i lys av modellert tetthet av kopepoditter i tiden like før. Dette ble igjen videreført i 2016, 2017 og 2018. (Nilsen mfl., 2016; 2017).

Spredningsmodellen, som er basert på at rapporterte luseverdier og biomassetall fra oppdrett benyttes som kildedata, gir informasjon om risikoen for smitte av lakselus på vill laksefisk. Dette muliggjør en risikobasert adaptiv overvåking i tråd med Lindenmayer & Likens (2009), og vil imøtekomme utfordringene vi ser med en tradisjonell fysisk overvåking av hele norskekysten. I løpet av de siste årene har det blitt gjort betydelige fremskritt i arbeidet med å koble modellresultater med reelle smittetall på vill laksefisk (Asplin mfl., 2014; Johnsen mfl., 2014; Johnsen mfl., 2016; Nilsen mfl., 2016; Sandvik mfl., 2016 og Myksvoll m.fl 2018). På tross av store fremskritt bør likevel metodikken med tradisjonell fysisk overvåking opprettholdes parallelt med modellbasert overvåking over en tidsperiode. Samtidig er det hensiktsmessig å bruke feltinnsatsen i NALO-programmet til ytterligere å studere sammenhengen mellom modell og empiri på det store antallet stasjoner som undersøkes langs kysten. Av hensyn til flerårige tidsserier var målet i 2018 å undersøke en kombinasjon av faste stasjoner og stasjoner valgt ut på bakgrunn av resultater fra spredningsmodell for lakselus i de aktuelle områdene og perioder. I datainnsamlingsperioden ble stasjoner og tidsperioder justert gjennom dialog med aktuelt feltpersonell og prosjektledelse og ved hjelp av den nettbaserte tilgangen til spredningsmodellen (http://www.laksleus.no). Forskjellige stasjoner med ulikt nivå av forventet luseinfestasjon ble valgt.

I 2018 ble tidsperiodene for datainnsamling på sjøørret forlenget i enkelte perioder sammenlignet med 2017, mens innsatsen var den samme på tråling og vaktbur. Grunnet behovet for empiriske data i forbindelse med evaluering av miljøpåvirkningene i produksjonsområdene ble innsatsen på tråling etter laksesmolt den samme som i 2017, da det ble gjort en kraftig oppjustering sammenlignet med tidligere år. Antallet stasjoner for fiske etter sjøørret var omtrent de sammen som i 2017, men lengden på datainnsamlingsperiodene ble i noen områder forlenget fra tre til fire uker.

Arbeidet med å koble modellresultater og påslag av lakselus hos villfisk er under rask utvikling. I denne rapporten vil det derfor ikke bli gjort vurderinger av samsvar mellom modell og empiri slik det har vært presentert tidligere år. En slik vurdering blir gjort som egne vitenskapelige arbeider hvor blant annet data fra overvåkingsprogrammet blir inkludert. Det er likevel fult mulig å vurdere data som presenteres her med data fra spredningsmodell for samtlige områder og perioder på nettsiden lakselus.no. Analyser og beregninger av dose (smittepress) og respons (infeksjonsbelastning) på villfisk blir presentert i Havforskningsinstituttets risikovurdering av norsk fiskeoppdrett og i mer spesifikke vitenskapelige artikler i tiden fremover (Sandvik mfl., 2016 og Myksvoll mfl., 2018).

I samtlige 13 produksjonsområder langs hele norskekysten ble sjøørret fra flere stasjoner undersøkt med ruser og garn. I tillegg ble det i 6 produksjonsområder også gjort undersøkelser av utvandrende laksesmolt (postsmolttråling) og undersøkelser med vaktbur i bestemte perioder (figur 1).

Overvåkingen ble i 2018 gjennomført i samarbeid med Norsk institutt for naturforskning (NINA), NORCE Norwegian Research Centre AS (tidl. UNI Research Miljø) og TF-Aquaconsult AS. Feltarbeidet i overvåkingsprogrammet ble utført fra slutten av april til midten av august.

I denne rapporten presenteres resultater fra NALO-programmet for hvert område kronologisk fra sør til nord langs kysten. Resultater fra spredningsmodellen (lakselus.no) blir kun delvis kommentert, men blir likevel illustrert i egne kart som i rapporten fra 2015 og 2016. Nettsiden lakselus.no gir likevel en bedre oversikt enn statiske kartutsnitt som har begrensninger i både oppløsning, tid og rom. Resultatene for lakseluspåslag illustreres i figurer og en fullstendig tabell som et eget appendiks. Kartene for hvert produksjonsområde viser område for postsmolttråling, vaktbur og undersøkte stasjoner for ruse/garnfangst av sjøørret og sjørøye. Figurene oppsummerer antall lus, stadiefordeling av lus og relativ infestasjonsgrad for hver undersøkt stasjon. Tabellene i appendiks viser detaljerte fiskedata (lokalitet, uke, antall fisk og vekt) og infestasjonsdata (prevalens, gjennomsnitt intensitet og median intensitet samt minimums- og maksimumsverdier). I dette tillegget finner en også beregninger på relativt antall lus (median, minimums- og maksimumsverdier og andel fisk med mer enn 0,1 lus per gram fiskevekt). Eksperimentelle forsøk tyder på at ca. 0,1 lus per gram fiskevekt kan påføre laksefisk begynnende fysiologiske problemer (Bjørn mfl., 2011). Vi har derfor valgt å illustrere denne grensen i figurene. For vill laksesmolt kan mer enn 10 lakselus være dødelig. Andel (%) laksesmolt med mer enn 10 lakselus oppgis derfor i tabellen for trålundersøkelsen.

I henhold til avtale med oppdragsgiver (MT) er denne sluttrapporten kortfattet og med hovedvekt på presentasjon av lusedata på villfisk og forenklede fortolkninger. Data fra NALO programmet i 2018 blir benyttet videre direkte inn mot trafikklyssystemet, risikorapport for fiskeoppdrett og andre relevante forskningsprosjekter.

 

Figur 1. Områder og omtrentlige posisjoner for vaktbur, postsmolttråling og ruse/garnfangst i overvåkingsprogrammet for lakselus på vill laksefisk i 2018

 

4 - Metoder

4.1 - Varsling

Spredningsmodellen for frittlevende stadier av lakselus kombinerer data om utslipp av nauplielarver fra oppdrettsanlegg (antall voksne hunnlus, antall fisk og sjøtemperatur) med hydrodynamiske modeller som beskriver vannstrømmer, temperatur og saltholdighet. I tillegg benyttes informasjon om luselarvenes utviklingstid, vertikale adferd og forventet dødelighet.

Resultatet fra lakselusmodellen er timesverdier av posisjonen og alder til alle lakselus produsert ved operative oppdrettsanlegg. Her har vi valgt å vise tettheten av infektive kopepoditter, dvs. de som er i stand til å sette seg på fisk, da det sannsynligvis er representativt for det smittepresset fisk i området vil oppleve. Lakselusene har da fulgt strømmen i 5–10 dager før de når det infektive stadiet, og kan i løpet av denne tiden potensielt ha blitt transportert mange km bort fra den opprinnelige utslippsposisjonen (Asplin mfl., 2014). Hvor lang denne transporten er avhenger av de hydrografiske forholdene og den temperaturstyrte utviklingen lakselusa har hatt til det infektive kopepodittstadiet. Typisk vil lakselus i nord og om våren oppleve lavere temperatur enn i sør og om sommeren, og dermed bruke lenger tid på å utvikle seg til smittsom kopepoditt. Denne tidsdifferansen i utvikling medfører potensielt en lengre transport bort fra utslippspunktet, men også større dødelighet før den når det infektive kopepodittstadiet.

For å gi et mer gjennomsnittlig bilde av lusepresset er timesverdiene fra modellen summert over 10 dager. Når modellen kjøres ukentlig med oppdatert informasjon om utslipp vil den kunne indikere områder med relativt høy tetthet av kopepoditter (figur 2).

 

Figur 2. Resultater fra den hydrodynamiske spredningsmodellen for lakselus. Figuren viser tetthet av kopepoditter på en skala fra 0-1 (antall per kvadratmeter), summert over perioden som står i tittelen. Fargene kan ikke direkte overføres til effekt på vill laksefisk.

 

Modellen blir kjørt ukentlig for hele kysten. I forbindelse med dette blir nettsiden lakselus.no fortløpende oppdatert. Dette gjorde det mulig for alle involverte i overvåkingen å følge med på utviklingen av kopepodittetthet i aktuelle områder og perioder. Modellen fungerte derfor som et grunnlag for valg av varslingslokaliteter for fangst av sjøørret/sjørøye i de aktuelle produksjonsområdene. Selv om modellen bidro til å finne flere stasjoner i 2018 ble det også tatt hensyn til villfiskpopulasjoner, nasjonale laksefjorder, soneforskriftsområder og generell fysisk egnethet med hensyn på feltarbeid ved endelig valg av stasjoner.

For å sikre en bred dekning både i tid og rom ble det i de 13 produksjonsområdene gjort to runder med feltarbeid ved flere stasjoner. Første periode skulle samsvare med forventet tidspunkt for laksesmoltutvandring fra vassdrag i det aktuelle området. Andre periode ble lagt noen uker senere for å følge utviklingen i lusesituasjonen på beitende sjøørret og sjørøye.

Minst en stasjon for fangst av sjøørret/sjørøye i hvert produksjonsområde ble valgt helt uavhengig av spredningsmodellen. Dette for å opprettholde viktige tidsserier, men også for å bidra på tilstøtende forskningsaktivitet i området. Blant disse er Herdla i Nordhordland, Vatnefjorden i Romsdal, Agdenes i Trondheimsfjorden og Namsen/Vikna i Nord-Trøndelag. Det samme gjelder også for flere kontrollstasjoner hvor spredningsmodellen sjelden indikerer forhøyet tetthet av kopepoditter, som f.eks. på Sørlandet.

4.2 - Feltarbeid

Både under forberedelser og gjennomføring av feltarbeid ved overvåkingsprogrammet er det lagt stor vekt på å ivareta kvaliteten på datamaterialet. Derfor har metodene i NALO-programmet gjennomgått en utvikling og blitt forbedret i løpet av de siste årene. For å kunne dokumentere kvaliteten på arbeidet er det nå krav om at de som deltar i feltarbeidet har bestått kurs i identifikasjon av lakselus (og forvekslingsarter). Kurset har både praktisk og teoretisk eksamen. I tillegg er det gjennomført flere feltkurs og runder med opplæring for å sikre standardisering av feltmetodikk (valg av fiskeplass, fangst, håndtering, lusetelling og andre registreringer).

Som tidligere år utgjør lusetellinger på ruse- og garnfanget ørret og røye hovedtyngden av feltinnsamlingen i NALO-programmet. Vi har som mål at all fisk som undersøkes skal settes levende tilbake i sjøen etter endt lusetelling. For å imøtekomme dette brukes sjøørretruser ved hver stasjon, da de er det foreløpig beste redskapet vi disponerer til levendefangst av sjøørret og sjørøye. Ved behov suppleres fangstene med tradisjonelle flytegarn. Lusetelling på garnfanget fisk gjøres umiddelbart etter fangst for å forhindre tap av lus..

Alle feltteam ble i 2018 utstyrt med sjøørretruser med pelagisk ledegarn som ble satt på aktuelle fiskeplasser ved stasjonene. Rusene fanger all fisk levende i et fangstkammer ca. 30-50 meter fra strandlinjen og på ca. 1-2 meters dyp. Rusene blir sjekket minimum en gang i døgnet, ved store fangster oftere. Eventuell ørret/røye blir skånsomt løftet ut av fangstkammer og over i et oppbevaringskar i båten ved hjelp av en finmasket håv. Deretter blir fisken bedøvd med Benzokain (200 mg/ml) hvorpå lusetelling og annen registrering gjennomføres før fisken legges til oppvåkning i et annet kar. Lusetellingene foregår i en hvit plastbakke med vann i og under kraftig lys. All fisk settes tilbake ved strandsonen på fiskeplassen etter registrering. Tidligere merkeforsøk viser at andel gjenfangst i rusene normalt ligger på under 5 prosent (Arechavala-Lopez mfl., 2016). Dette betyr at vi risikerer å registrere enkelte fisk mer enn en gang i løpet av perioden. Dette kunne imidlertid vært unngått hvis hver fisk ble merket ved rusefangst. Vi har likevel valgt å ikke merke all fisk i overvåkingsprogrammet da dette fordrer betydelig merarbeid for feltteamene og en ekstra belastning for ørretpopulasjonene. Eventuelle feil på grunn av dobbelttellinger av samme individ er vurdert som ubetydelige i denne sammenhengen.

Ved garnfiske blir et antall flytegarn (16-26 millimeter maskevidde) satt fra strandsonen og ca. 30 meter ut i fjorden i det aktuelle fiskeområdet. Garnene blir kontinuerlig røktet gjennom hele fiskeperioden for å redusere sannsynligheten for at sjøørret/røye dør i garnene og lus faller/hopper av verten. All garnfangst av sjøørret/røye blir skånsomt klippet løs, avlivet og overført til en hvit plastbakke med vann for lusetelling. Etter lusetelling blir garnfanget fisk oppbevart i separate merkede plastposer for videre prøvetaking etter endt fiske.

Oppdatert feltinstruks for minimum antall undersøkt fisk per lokalitet ble utarbeidet på bakgrunn av analyser av tidligere års overvåkingsdata. Analysene viste hvor mange fisk som bør undersøkes på hver lokalitet for at de skulle representere situasjonen hos villfisk med tilstrekkelig høy sannsynlighet. I 2018 ble det anbefalt å undersøke minst 40 fisk per runde per stasjon.

Lusetellinger på utvandrende postsmolt av laks ble i 2018 gjennomført i ytre deler av seks fjordsystemer. Smolten ble fanget levende med en spesialbygget pelagisk trål (fish-lift, Holst & McDonald, 2000), og lusepåslag og andre parametere ble registrert umiddelbart etter fangst og med samme metode som for garn- og rusefanget fisk. All trålfanget laksesmolt ble frosset ned for ytterligere prøvetakning ved laboratorier etter endt feltarbeid.

Vaktbur med oppdrettsfisk ble i tillegg benyttet som en alternativ metode for å måle smittepress på spesifikke stasjoner i bestemte tidsperioder. Et antall vaktbur ble i 2018 plassert i fjordsystemer i totalt seks av de 13 produksjonsområdene. I hvert bur ble det plassert 30 oppdrettssmolt i ca. 14 dager. Hvert bur er på ca. 1 kubikkmeter og består av to plastringer som er dekket med knuteløst 14 mm notlin, og er plassert 1-2 meter under overflaten. Når burene tømmes blir lusetelling gjennomført umiddelbart etter avlivning. Det blir brukt samme metodikk som ved telling på sjøørret og postsmolt av laks med kraftig hodelykt og med fisken liggende i vann i et hvitt kar.

4.3 - Databehandling

I denne rapporten er alle infeksjonsparametere beregnet og beskrevet etter anbefalinger fra (Rozsa mfl., 2000) for presentasjon av kvantitative parasittologiske data.

Siden 2015 er standardavvik byttet ut med maks/min når fiskens vekt beskrives i tabeller. Dette gir en enklere oversikt over størrelsessammensetningen på undersøkte fisk fra hver lokalitet. Videre er alle infeksjonsparametere (prevalens, intensitet, median etc.) oppgitt med 95 % konfidensintervall. Konfidensintervall for prevalens (andel av fisken som har lus) er beregnet basert på binomisk fordeling (Bush mfl., 1997). Intensitet (gjennomsnittlig antall lus på fisken som har lus) med konfidensintervall er beregnet med BCa (bias-corrected and accelerated) bootstrap som anbefalt av Efron & Tibshirani (1993), mens median er oppgitt med distribusjonsfritt konfidensintervall.

5 - Resultater

5.1 - Sørlandet (PO 1, Svenskegrensen – Jæren)

5.1.1 - Området

Produksjonsområde 1 strekker seg fra Svenskegrensen i øst til Jæren på Sør-Vestlandet. Det er registrert 38 lakseførende vassdrag i dette området, hvor av seks har status som nasjonale laksevasdrag. Samlet gytebestandsmål (GBM) for disse vassdragene er nesten 50 tonn hunnlaks som gir en teoretisk årlig produksjon på mer enn 2,1 millioner smolt. Sjøørret er tallrik i hele produksjonsområdet og reproduserer i en rekke mindre vassdrag i tillegg til de nevnte lakseelvene. Det er generelt lite oppdrett av laksefisk i sjø i dette produksjonsområdet. I 2018 var det 3 lokaliteter i drift under overvåkingsperioden, mens store områder er helt uten oppdrettsvirksomhet. Samlet produksjon av luseegg fra oppdrettsanlegg i dette området er derfor generelt lavt med en månedsproduksjon på under 1 milliard egg i juli (figur 3). Spredningsmodellen for lakselus viser lav tetthet av infektive kopepoditter i perioden før og under smoltutvandringen i dette området (figur 4).

I 2018 ble det gjennomført to perioder med undersøkelser av lakselusinfestasjon på sjøørret i dette produksjonsområdet. Det ble ikke gjort undersøkelser på postsmolt laks, eller med vaktbur.

 

Figur 3. Produksjon av klekte luseegg fra oppdrettsanlegg i produksjonsområde 1. april-juli i perioden 2012-2018.

 

 

Figur 4. Modellert tetthet av kopepoditter (summert over 14 dager) med opphav fra oppdrettsanlegg i PO 1. i perioden før og under gjennomføring av feltarbeid i 2018.

 

5.1.2 - Ruse og garn

Sandnesfjord i Aust-Agder ble valgt som fast stasjon i produksjonsområdet på Sørlandet, og har tidligere vært undersøkt gjennom flere år i overvåkingsprogrammet som en sørlig referanse i et område uten nærliggende oppdrett av laksefisk. I tillegg ble det i 2018 for første gang gjort en undersøkelse ved Flekkefjord i Vest-Agder som ligger i den mest oppdrettseksponerte delen av produksjonsområdet (figur 5).

 

Figur 5. Undersøkte stasjoner i produksjonsområde 1. 2018.

 

I Sandnesfjord ble det i første periode (uke 19-20) nesten ikke funnet lus på den undersøkte fisken (prevalens 1 %), og gjennomsnittlig intensitet ble beregnet til 1 lakselus. I andre periode (uke 22-23) var prevalens i Sandnesfjord økt til 39 % med en gjennomsnittlig intensitet på 2 lus. Det ble ikke funnet individer fra Sandnesfjord med mer enn 0,1 lus per gram kroppsvekt i noen av de undersøkte periodene (figur 6).

I Flekkefjord ble det i første periode (uke 19-20) kun undersøkt 12 sjøørret. Av disse ble halvparten funnet med lakselus (prevalens 50 %), og med en gjennomsnittlig intensitet på 10 lus. Tjuefem prosent av de undersøkte individene hadde mer enn 0,1 lus per gram kroppsvekt, og infestasjonen var dominert av fastsittende stadier (figur 6). I andre periode (uke 22-23) var prevalensen økt til 97 prosent. Gjennomsnittlig intensitet ble i denne perioden beregnet til 12 lus, og en andel på 42 prosent ble funnet med mer enn 0,1 lus per gram kroppsvekt. På dette tidspunktet var infestasjonen nokså likt fordelt mellom mobile og fastsittende lusestadier.

For detaljer se appendiks 1.

 

Figur 6. Antall lakselus (A), relativt antall lakselus (B) og stadiefordeling (C) fra sjøørret på stasjonene Flekkefjord (Øverst) og Sandnesfjord (nederst).

 

Resultatene fra Sandnesfjord samsvarer med tidligere undersøkelser fra områder uten oppdrett, og benyttes som referanse på normalt infestasjonsnivå hos sjøørret på denne tiden av året. Det forventes ingen negativ effekt på vill laksefisk som en følge av lakselus i Sandnesfjord. I Flekkefjord er det en økning i påslaget av lakselus ut over sommeren, og det er sannsynlig at lakselus har hatt en negativ effekt på vill laksefisk i denne delen av produksjonsområdet.

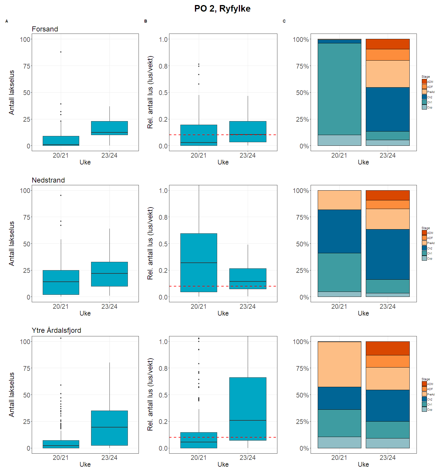
5.2 - Rogaland (PO 2, Ryfylke)

5.2.1 - Området

Produksjonsområde 2 strekker seg fra Jæren til Haugesund på Sør-Vestlandet og dekker hovedsakelig Boknafjorden med tilstøtende fjordsystemer. Det er registrert 18 lakseførende vassdrag i dette området, hvorav to har status som nasjonale laksevasdrag. Samlet gytebestandsmål (GBM) for disse vassdragene er nesten 9 tonn hunnlaks som gir en teoretisk årlig produksjon på mer enn 437 000 smolt. Sjøørret er tallrik i store deler av produksjonsområdet og reproduserer i mindre vassdrag i tillegg til de nevnte lakseelvene. Det er generelt høy oppdrettsproduksjon av laksefisk i sjø i Boknafjordsystemet, mens Sandsfjorden og området sørvest for Stavanger er helt uten oppdrettsvirksomhet (nasjonale laksefjorder). I perioden for overvåkingen i 2018 var det 35 lokaliteter i drift i PO 2. Samlet produksjon av luseegg fra oppdrettsanlegg var flere ganger høyere enn i PO 1, med en månedsproduksjon på mer enn 7 milliarder egg i juni 2018 (figur 7). Spredningsmodellen for lakselus viser gradvis økende tetthet av infektive kopepoditter i området fra slutten av april. Under perioden for smoltutvandring var tettheten av kopepoditter størst i midtre deler av Boknafjordbassenget. Utover juni økte tettheten i hele produksjonsområdet. (figur 8).

I 2018 ble det gjennomført postsmolttråling etter laks i 4 uker, to perioder med undersøkelser av lakselusinfestasjon på sjøørret og to perioder med vaktbur i dette produksjonsområdet (figur 9).

 

Figur 7. Produksjon av klekte luseegg fra oppdrettsanlegg i produksjonsområde 2. april-juli i perioden 2012-2018

 

 

Figur 8. Modellert tetthet av kopepoditter (summert over 14 dager) med opphav fra oppdrettsanlegg i PO 2. i perioden før og under gjennomføring av feltundersøkelser i 2018.

 

 

Figur 9. Område for postsmolttråling, vaktbur og ruse/garn stasjoner i produksjonsområde 2. 2018

 

5.2.2 - Tråling

Trålingen etter utvandrende postsmolt av laks i Boknafjordbassenget (figur 9) viste økende påslag av lakselus gjennom de tre første ukene i perioden (figur 10). I uke 20 ble prevalens beregnet til 69 prosent, med en gjennomsnittlig intensitet på 5 lus. Seks prosent av disse hadde mer enn 10 lus, og 44 prosent hadde mer enn 0,1 lus per gram kroppsvekt på dette tidspunktet. I uke 21 ble det funnet mindre lus på postsmolten. Prevalens var redusert til 39 prosent med en gjennomsnittlig intensitet på 2 lus. Andelen med mer enn 0,1 lus per gram kroppsvekt var på dette tidspunktet redusert til 9 prosent.

For detaljer se appendiks 2.

 

Figur 10. Antall lakselus (A) og relativt antall lus (B) på trålfanget postsmolt laks i uke 18-21 i PO 2.

 

5.2.3 - Ruse og garn

Ytre Årdalsfjord ble valgt som fast stasjon for sjøørret i produksjonsområde 2, og ble undersøkt med ruse i to perioder (uke 20-21 og uke 23-24) I tillegg ble det gjort kortere undersøkelser både i Nedstrand og ved Forsand i samme perioder (figur 9).

Ved Ytre Årdalsfjord ble det i første periode (uke 20-21) funnet lus på 72 prosent av den undersøkte fisken, og gjennomsnittlig intensitet ble beregnet til 13 lus. En andel på 33 prosent av de undersøkte individene i denne perioden hadde mer enn 0,1 lus per gram kroppsvekt. Det ble på det meste funnet over 300 lus på en enkelt sjøørret fra Ytre Årdalsfjord i denne perioden. I andre periode (uke 23-24) var prevalens i Ytre Årdalsfjord økt til 91 prosent. Gjennomsnittlig intensitet var samtidig økt til 24 lus, og en andel på 64 % ble i denne perioden funnet med mer enn 0,1 lus per gram kroppsvekt. Over halvparten av de observerte lusene var fastsittende stadier i begge periodene (figur 11).

Ved Nedstrand ble det i første periode (uke 20-21) funnet lus på 89 prosent av fisken, og gjennomsnittlig intensitet ble beregnet til 21 lus. Av disse hadde 67 prosent mer enn 0,1 lus per gram kroppsvekt. Til andre periode (uke 23-24) hadde prevalens ved Nedstrand økt til 100 prosent. Gjennomsnittlig intensitet ble på dette tidspunktet beregnet til 26 lus, og andelen med mer enn 0,1 lus per gram kroppsvekt var på 64 prosent. I første periode var omtrent 80 prosent av de observerte lusene fastsittende stadier. I andre periode var det en økning i mobile stadier (figur 11).

Ved Forsand i sørenden av produksjonsområdet ble det i første periode (uke 20-21) funnet lus på 54 prosent av de undersøkte individene. Gjennomsnittlig intensitet ble beregnet til 18 lus, og en andel på 40 prosent hadde mer enn 0,1 lus per gram kroppsvekt. På dette tidspunktet ble det utelukkende observert fastsittende lusestadier. Til andre periode (uke 23-24) hadde prevalens ved Forsand økt til 95 prosent. Gjennomsnittlig intensitet ble på dette tidspunktet beregnet til 17 lus, og en andel på 50 prosent ble funnet med mer enn 0,1 lus per gram kroppsvekt. Andelen mobile lus var samtidig økt til ca. 50 prosent (figur 11).

For detaljer se appendiks 1.

 

Figur 11. Antall lakselus (A), relativt antall lakselus (B) og stadiefordeling (C) fra sjøørret på stasjonene Forsand (Øverst), Nedstrand (midten) og Ytre Årdalsfjord (nederst).

 

5.2.4 - Vaktbur

Det ble plassert ut 18 vaktbur i sentrale deler av produksjonsområdet i 2018 (figur 9). Burene sto ute i to perioder på omtrent 14 dager. Det ble observert et moderat påslag med gjennomsnittlig 1-5 lus på fisken i de fleste burene i første periode. En liten nedgang ble observert på enkelte bur andre periode (figur 12).

 

Figur 12. Plassering og gjennomsnittlig påslag av lakselus fisk fra vaktbur i PO 2. Vaktburene sto ute i omtrent 14 dager. Første periode var fra 7-21 mai og andre periode fra 21 mai - 6 juni.

 

Oppsummert indikerer data fra postsmolttråling, ruse/garnstasjoner og vaktbur et moderat til høyt smittepress på vill laksefisk i Rogaland under smoltutvandringen og videre utover beitesesongen til lokal sjøørret. Lakselus har sannsynligvis hatt en negativ effekt på deler av den utvandrende laksesmolten og på sjøørret i de berørte områdene.

5.3 - Hardanger (PO 3, Karmøy – Sotra)

5.3.1 - Området

Produksjonsområde 3 strekker seg fra Karmøy ved Haugesund til Sotra utenfor Bergen. Store deler av produksjonsområdet utgjøres av Hardangerfjorden med tilstøtende fjorder. Det er registrert 12 lakseførende vassdrag i dette området, hvor av et har status som nasjonalt laksevasdrag (Etnevassdraget). Samlet gytebestansdmål (GBM) for disse vassdragene er i overkant av 3,8 tonn hunnlaks som gir en teoretisk årlig produksjon på mer enn 185 000 smolt. Sjøørret benytter store deler av produksjonsområdet og reproduserer i mindre vassdrag i tillegg til de nevnte lakseelvene. Det er høy oppdrettsproduksjon av laksefisk i sjø i Hardangerfjorden og områdene rundt. I 2018 var det 119 lokaliteter i drift under overvåkingsperioden. Samlet produksjon av luseegg fra oppdrettsanlegg i dette området er derfor høy. Månedsproduksjon var på mer enn 15 milliarder egg i juli 2018 (figur 13). Spredningsmodellen for lakselus viser generell lav tetthet av infektive kopepoditter i slutten av april og begynnelsen av mai. Utover mai øker tettheten spesielt i sørlige del av Hardangerfjorden og i Bjørnafjorden lengre nord i området. I løpet av juni øker dette til det meste av området med unntak av de innerste delene av Hardangerfjorden (figur 14).

I 2018 ble det gjennomført postsmolttråling etter laks i 4 uker, to perioder med undersøkelser av lakselusinfestasjon på sjøørret og to perioder med vaktbur i dette produksjonsområdet (figur 15).

 

Figur 13. Produksjon av klekte luseegg fra oppdrettsanlegg i produksjonsområde 3. april-juli i perioden 2012-2018

 

 

Figur 14. Modellert tetthet av kopepoditter (summert over 14 dager) med opphav fra oppdrettsanlegg i PO 3. i perioden før og under gjennomføring av feltundersøkelser i 2018.

 

 

Figur 15. Område for postsmolttråling, vaktbur og ruse/garn stasjoner i produksjonsområde 3. 2018

 

5.3.2 - Tråling

Trålingen etter utvandrende laksesmolt i ytre Hardangerfjord (figur 15) viste en gradvis økning i påslag av lakselus gjennom den undersøkte perioden. I uke 19 ble prevalens beregnet til 47 prosent med en gjennomsnittlig intensitet på 5 lus per fisk. På dette tidspunktet ble hadde 26 prosent av postsmolten mer enn 0,1 lus per gram kroppsvekt, mens 8 % ble funnet med mer enn 10 lus hver. I uke 22 var prevalens beregnet til 100 prosent med en gjennomsnittlig intensitet på 25 lus. 78 prosent av den undersøkte postsmolten denne uken hadde mer enn 0,1 lus per gram kroppsvekt, og 67 prosent hadde mer enn 10 lus hver. Det ble imidlertid kun fanget 9 laks i uke 22 (figur 16).

For detaljer se appendiks 2.

 

Figur 16. Antall lakselus (A) og relativt antall lus (B) på trålfanget postsmolt laks i uke 19-22 i PO 3.

 

5.3.3 - Ruse og garn

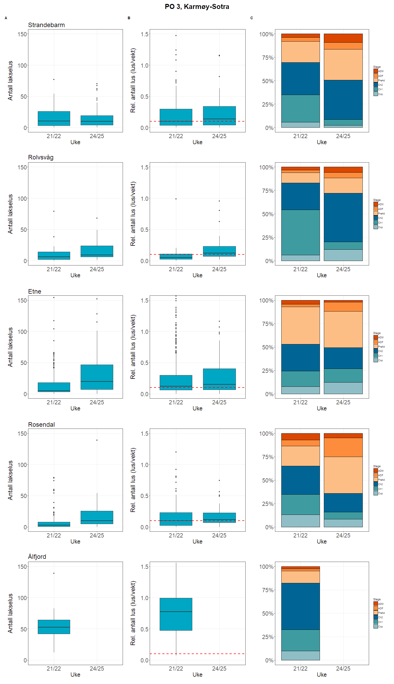
Etne og Strandebarm ble valgt til faste stasjoner i henholdsvis sørlige og nordlige del av produksjonsområdet. Disse ble undersøkt med ruser i to perioder over to uker. Første periode var lagt til uke 21-22 og andre periode til uke 24-25. I tillegg ble det gjort kortere undersøkelser i Rosendal, Ålfjord og Rolfsvåg i Samnanger innenfor de samme periodene (figur 15).

I Etne ble det i første periode (uke 21-22) funnet lus på nesten all undersøkt sjøørret (prevalens 98 %) og gjennomsnittlig intensitet var på 14 lus. En andel på 55 prosent av de undersøkte individer ble funnet med mer enn 0,1 lus per gram kroppsvekt i denne perioden. I andre periode (uke 24-25) var prevalens i Etne fremdeles høy (95 %), mens gjennomsnittlig intensitet var økt til 34 lus. Andelen med mer enn 0,1 lus per gram kroppsvekt ble beregnet til 64 prosent i denne uken. I underkant av halvparten av de observerte lusene i Etne var mobile stadier, hovedsakelig preadulte. (figur 17).

I Rosendal ble prevalens i første periode (uke 21-22) beregnet til 75 prosent, og med en gjennomsnittlig intensitet på 10 lus. En andel på 49 prosent ble funnet med mer enn 0,1 lus per gram kroppsvekt i dette tidsrommet. I andre periode (uke 24-25) var prevalens i Rosendal økt til 97 prosent. Gjennomsnittlig intensitet var samtidig økt til 18 lus. Andelen med mer enn 0,1 lus per gram kroppsvekt var på dette tidspunktet 59 prosent. Andelen mobile lus økte fra første til andre periode i Rosendal (figur 17).

Ålfjord ble undersøkt med et avgrenset garnfiske i første periode (uke 21-22). Det ble funnet lakselus på all undersøkt sjøørret fra Ålfjord (prevalens 100 %), og gjennomsnittlig intensitet ble beregnet til 54 lus per fisk. Andelen med mer enn 0,1 lus per gram kroppsvekt var i denne perioden på 96 prosent. Mer enn 75 prosent av de observerte lusene var fastsittende stadier (figur 17).

I Strandebarm ble det i første periode (uke 21-22) funnet lus på 91 prosent av de undersøkte individene. Gjennomsnittlig intensitet ble beregnet til 18 lus, og en andel på 50 prosent hadde mer enn 0,1 lus per gram kroppsvekt. I andre periode (uke 24-25) var prevalens ved Strandebarm redusert til 84 prosent. Gjennomsnittlig intensitet var samtidig beregnet til 20 lus per fisk, og andelen med mer enn 0,1 lus per gram kroppsvekt var økt til 57 prosent. Mobile stadier utgjorde omtrent halvparten av de observerte lakselus i den andre perioden (figur 17).

Ved Rolfsvåg i Samnangerfjorden ble det gjort et begrenset prøvefiske i begge perioder. I første periode (uke 21-22) var prevalens i Rolfsvåg 87 prosent. Gjennomsnittlig intensitet var 13 lus, og en andel på 26 prosent hadde mer enn 0,1 lus per gram kroppsvekt. I andre periode (uke 24-25) i Rolfsvåg ble det funnet lus på alle undersøkte sjøørret (prevalens 100 %). I denne perioden ble gjennomsnittlig intensitet beregnet til 18 lus, og andelen med mer enn 0,1 lus per gram kroppsvekt var økt til 63 prosent. En stor andel av de observerte lusene var fastsittende stadier i begge perioder (figur 17).

For detaljer se appendiks 1.

 

Figur 17. Antall lakselus (A), relativt antall lakselus (B) og stadiefordeling (C) fra sjøørret på stasjonene (øverst til nederst): Strandebarm, Rolfsvåg, Etne, Rosendal og Ålfjord.

 

5.3.4 - Vaktbur

Det ble plassert ut 18 vaktbur i Hardangerfjorden som utgjør det meste av produksjonsområde 3. Burene sto ute i to perioder på omtrent 14 dager. I første periode ble det observert et moderat påslag med gjennomsnittlig 1-5 lus på fisken i de fleste bur med unntak av indre del av fjordsystemet, noen bur i midten og i Etnefjorden. I andre periode økte påslaget noe i midtre deler av Hardangerfjorden. (figur 18).

 

Figur 18. Plassering og gjennomsnittlig påslag av lakselus fisk fra vaktbur i PO 3. Vaktburene sto ute i omtrent 14 dager. Første periode var fra 13-27 mai og andre periode var fra 27 mai - 13 juni.

 

Oppsummert indikerer data fra postsmolttrålingen og vaktbur et økende og etter hvert høyt smittepress på utvandrende laks fra Hardangerfjordsystemet. Data fra de undersøkte ruse/garnstasjoner indikerer også et moderat til høyt smittepress i store deler av fjordsystemet i begge perioder. Det er derfor sannsynlig at lakselus har hatt en negativ effekt på både utvandrende laks og beitende sjøørret i dette området i 2018.

5.4 - Sogn og Fjordane (PO 4, Nordhordland – Stadt)

5.4.1 - Området

Produksjonsområde 4 strekker seg fra Bergen til Stadt og inkluderer blant annet de store fjordsystemene Sognefjorden og Nordfjord. Det er registrert 40 lakseførende vassdrag i dette området, hvor av elleve har status som nasjonale laksevasdrag. Samlet gytebestandsmål (GBM) for disse vassdragene er i overkant av 21 tonn hunnlaks som gir en teoretisk årlig produksjon på nesten 750 000 smolt. Sjøørret benytter også store deler av produksjonsområdet og reproduserer i mindre vassdrag i tillegg til de nevnte lakseelvene. Det er generelt høy oppdrettsproduksjon av laksefisk i sjø langs kysten i produksjonsområdet. Flere av fjordene er uten oppdrett av laksefisk, blant annet indre del av Sognefjorden, Dalsfjorden, Førdefjorden og deler av Nordfjord som alle er nasjonale laksefjorder. I 2018 var det 98 lokaliteter i drift i tidsrommet for overvåkingen. Samlet produksjon av luseegg fra oppdrettsanlegg i dette området er høy. Månedsproduksjon var på opp mot 15 milliarder egg i juli de tre siste årene (figur 19). Spredningsmodellen for lakselus viser i slutten av april en forhøyet tetthet av infektive kopepoditter ytterst i Sognefjorden og ved deler av kysten helt nord i produksjonsområdet. Utover mai opprettholdes høy tetthet i ytre Sognefjord samtidig med at det også øker noe innerst i Austfjorden helt sør i produksjonsområdet. I løpet av juni øker tettheten av kopepoditter i Sognefjorden og Austfjorden ytterligere. Det er små endringer nordover i produksjonsområdet på dette tidspunktet hvor tettheten generelt er lav (figur 20).

I 2018 ble det gjennomført postsmolttråling etter laks i 4 uker, to perioder med undersøkelser av lakselusinfestasjon på sjøørret og to perioder med vaktbur i dette produksjonsområdet (figur 21).

 

Figur 19. Produksjon av klekte luseegg fra oppdrettsanlegg i produksjonsområde 3. april-juli i perioden 2012-2018

 

 

Figur 20. Modellert tetthet av kopepoditter (summert over 14 dager) med opphav fra oppdrettsanlegg i PO 4. i perioden før og under gjennomføring av feltundersøkelser i 2018.

 

 

Figur 21. Område for postsmolttråling, vaktbur og ruse/garn stasjoner i produksjonsområde 4. 2018

 

5.4.2 - Tråling

Trålingen etter utvandrende laks i ytre Sognefjorden (figur 21) viste generelt et lavt til moderat påslag av lakselus i perioden uke 19-22. Prevalens de første 3 ukene var mellom 71 og 75 prosent. I samme periode varierte gjennomsnittlig intensitet mellom 3 og 5 lus. Inntil 40 prosent av den undersøkte laksen ble funnet med mer enn 0,1 lus per gram kroppsvekt i disse ukene, og andelen med mer enn 10 lus var på det meste 5 prosent. I uke 22 ble det kun fanget 2 postsmolt laks fra Sognefjorden (figur 22).

For mer detaljer se appendiks 2.

 

Figur 22. Antall lakselus (A) og relativt antall lus (B) på trålfanget postsmolt laks i uke 19-22 i PO 4.

 

5.4.3 - Ruse og garn

Til overvåking på sjøørret er Herdlafjord og Herøyosen valg som faste stasjoner i sørlige del av produksjonsområdet (Nordhordland), mens Bjordal er valgt til fast stasjon i selve Sognefjorden. I tillegg er det gjort et begrenset prøvefiske i både Maurstadvika i ytre Nordfjord og ved Balestrand i indre Sogn (figur 21).

Ved Herdlafjord ble det funnet lus på all undersøkt sjøørret (prevalens 100 %) i første periode (uke 21-22). Gjennomsnittlig intensitet ble beregnet til 37 lus, og andelen med mer enn 0,1 lus per gram kroppsvekt var ved dette tidspunktet 27 prosent. Det ble imidlertid fanget mye stor sjøørret i denne perioden. I andre periode (uke 24-25) ble det fremdeles funnet lus på all undersøkt fisk ved Herdla. Gjennomsnittlig intensitet var økt til 43 lus på dette tidspunktet, og en andel på 56 prosent ble funnet med mer enn 0,1 lus per gram kroppsvekt. I første periode var infestasjonen dominert av mobile lusestadier, men dette endret seg til andre periode hvor fastsittende og mobile var omtrent likt representert (figur 23).

I Herøyosen ble det funnet lus på nesten all undersøkt fisk i første periode (uke 21-22, prevalens 99 prosent). Gjennomsnittlig intensitet var på 61 lus, og en andel på 81 prosent ble funnet med mer enn 0,1 lus per gram kroppsvekt. I andre feltperiode (uke 24-25) var prevalens i Herøyosen 100 prosent samtidig som gjennomsnittlig intensitet hadde avtatt til 53 lus per fisk. Andelen med mer enn 0,1 lus per gram kroppsvekt var likevel økt til 90 prosent ved dette tidspunktet (tabell 7). Snittstørrelsen på den undersøkte fisken fra Herøyosen gikk ned fra første periode, noe som gir en økning i adelen med mer enn 0,1 lus per gram på tross av reduksjon i gjennomsnittlig intensitet. Ved Herøyosen dominerte fastsittende lus ved begge perioder (figur 23).

Ved Bjordal ble det i første periode (uke 21-22) funnet lus på 95 prosent av den undersøkte fisken. Gjennomsnittlig intensitet ble beregnet til 23 lus, og en andel på 82 prosent ble funnet med mer enn 0,1 lus per gram kroppsvekt. I andre periode (uke 24-25) var prevalens ved Bjordal uforandret på 95 prosent, mens gjennomsnittlig intensitet hadde økt til 32 lus per fisk. Samtidig hadde andelen med mer enn 0,1 lus per gram kroppsvekt avtatt til 66 prosent ved dette tidspunktet. Fastsittende lusestadier var dominerende i begge perioder (figur 23).

Ved Maurstadvika i ytre Nordfjord ble det i første feltperiode (uke 21-22) funnet lus på 63 prosent av den undersøkte fisken. Gjennomsnittlig intensitet ble beregnet til 7 lus, og en andel på 18 prosent hadde mer enn 0,1 lus per gram kroppsvekt fra denne stasjonen. I andre feltperiode (uke 24-25) hadde prevalens ved Maurstadvika økt til 98 prosent, og gjennomsnittlig intensitet ble beregnet til 9 lus. På dette tidspunktet ble en andel på 47 prosent funnet med mer enn 0,1 lus per gram kroppsvekt. Fastsittende lus var dominerende i begge perioder på tross av en økning i mobile stadier i andre periode (figur 23).

Ved Balestrand i indre del av Sognefjorden ble i første periode (uke 21-22) kun fanget 10 sjøørret. Det ble ikke funnet lus på noen av disse. Ved andre periode (uke 24-25) ble det funnet lus på 37 prosent av de undersøkte individene fra Balestrand. Gjennomsnittlig intensitet ble beregnet til 10 lus, og en andel på 15 prosent ble funnet med mer enn 0,1 lus per gram kroppsvekt ved dette tidspunktet. Infestasjonen var dominert av fastsittende (chalimus 2) lus (figur 23).

For detaljer se appendiks 1

 

Figur 23. Antall lakselus (A), relativt antall lakselus (B) og stadiefordeling (C) fra sjøørret på stasjonene (øverst til nederst): Balestrand, Bjordal, Maurstadvika, Herdlafjord og Herøyosen.

 

5.4.4 - Vaktbur

Det ble plassert ut 18 vaktbur i Sognefjorden som utgjør sørligste delen av produksjonsområde 4. Burene sto ute i to perioder på omtrent 14 dager. I første periode ble det observert et moderat påslag med gjennomsnittlig 1-5 lus på fisken i de ytre burene og noe høyere påslag (gjennomsnittlig 5-10 lus) lengre inn. Situasjonen i andre periode var nokså uforandret med unntak av en reduksjon på de to innerste burene i fjorden (figur 24).

 

Figur 24. Plassering og gjennomsnittlig påslag av lakselus fisk fra vaktbur i PO 4. Vaktburene sto ute i omtrent 14 dager. Første periode var fra 15-29 mai. Andre periode var fra 29 mai-12 juni.

 

Oppsummert indikerer data fra postsmolttrålingen et generelt lavt til moderat smittepress på utvandrende laks fra Sognefjorden, mens vaktbur og modell viser et noe høyere smittepress i dette området. Data fra de undersøkte ruse/garnstasjoner indikerer uansett et høyere smittepress, spesielt i sørlige del av produksjonsområdet og ytre del av Sognefjorden. I nordlige del og indre del av Sognefjorden er smittepresset på sjøørret lavt i første periode, men økende i andre periode. Lakselus har sannsynligvis hatt lav til moderat negativ effekt på utvandrende laksesmolt fra Sognefjorden, men kan i enkelte områder ha hatt en betydelig negativ effekt på både utvandrende laksesmolt og lokal sjøørret i de berørte områdene i Nordhordland.

5.5 - Møre og Romsdal (PO 5, Stadt – Hustadvika)

5.5.1 - Området

Produksjonsområde 5 dekker Nord-Vestlandet fra Stadt til Hustadvika nord for Molde. Voldsfjorden, Storfjorden og Romsdalssystemet er de største fjordene i dette området som har 44 registrerte laksevassdrag hvorav to nasjonale laksevassdrag. Samlet gytebestansdmål (GBM) for laksevassdragene i produksjonsområdet er på vel 18 tonn hunnlaks og teoretisk årlig produksjon på nesten 530 000 smolt. Sjøørret finnes også i store deler av produksjonsområdet og reproduserer i mindre vassdrag i tillegg til de nevnte lakseelvene. Det er generelt høy oppdrettsproduksjon av laksefisk i sjø langs kysten og i ytre deler av fjordene i produksjonsområdet. Indre del av Romsdalsfjorden (Isfjord) og Ørstafjorden er nasjonale laksefjorden helt uten oppdrett. I 2018 var det 34 lokaliteter i drift i tidsrommet for lakselusovervåkingen. Samlet produksjon av luseegg fra oppdrettsanlegg i varierer mellom år og tid på året. I overkant av en 1 milliard luseegg ble sluppet ut i mai, men økte til over tre milliarder i juli 2018. Tidligere år har produksjonen vært opp mot 7 milliarder egg i juli måned (figur 25). Spredningsmodellen for lakselus viser i slutten av april en forhøyet tetthet av infektive kopepoditter spesielt i sørlige del av produksjonsområdet og i ytre del av Storfjord. Utover mai og juni øker tettheten av kopepoditter ytterligere i Storfjordsystemet. Lengre nord, i Romsdalsfjorden, er den modellerte tettheten av kopepoditter lavere gjennom hele den undersøkte perioden. (figur 26)

I 2018 ble det gjennomført postsmolttråling etter laks i 4 uker, to perioder med undersøkelser av lakselusinfestasjon på sjøørret og en periode med vaktbur i dette produksjonsområdet (figur 27).

 

Figur 25. Produksjon av klekte luseegg fra oppdrettsanlegg i produksjonsområde 5. april-juli i perioden 2012-2018

 

 

Figur 26. Modellert tetthet av kopepoditter (summert over 14 dager) med opphav fra oppdrettsanlegg i PO 5. i perioden før og under gjennomføring av feltundersøkelser i 2018.

 

 

Figure 27. Område for postsmolttråling, vaktbur og ruse/garn stasjoner i produksjonsområde 5. 2018

 

5.5.2 - Tråling

Trålingen etter utvandrende postsmolt laks i ytre Romsdalsfjorden (figur 27) indikerte et lavt påslag av lakselus i de tre første ukene av perioden. I uke 20 ble det ikke funnet lus på trålfanget laks, mens det i uke 21 og 22 ble beregnet en prevalens på 3 og 20 prosent. Det ble på det meste funnet 1 enkelt lakselus på de undersøkte individene, og det ble derfor heller ikke ble registrert noen med mer enn 0,1 lus per gram kroppsvekt. Det ble ikke fanget noe laks med trål i Romsdalssystemet i uke 23. Totalt antall undersøkte laks fra Romsdalsfjorden var imidlertid lavt i hele 2018 (figur 28).

For detaljer se appendiks 2.

 

Figur 28. Antall lakselus (A) og relativt antall lus (B) på trålfanget postsmolt laks i uke 19-22 i PO 5.

 

5.5.3 - Ruse og garn

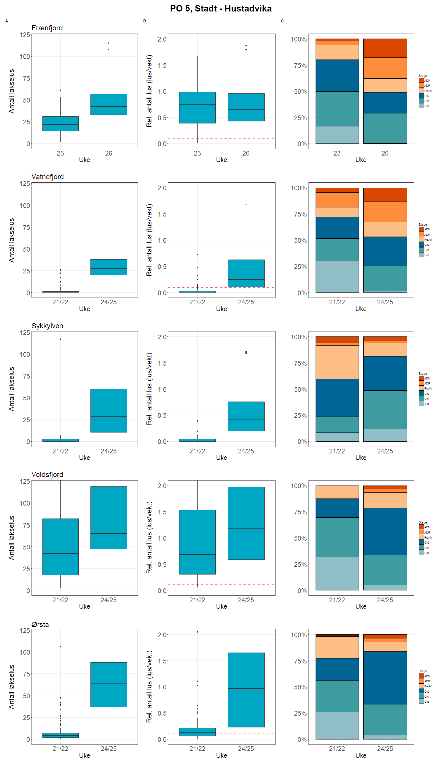
Ørsta ble valgt som er fast stasjon for overvåking på sjøørret i den sørlige delen av produksjonsområdet (Sunnmøre), mens Vatnefjord og Frænfjord er faste stasjoner i den nordlige delen (Romsdal). Disse stasjonene ble overvåket i to perioder på omtrent 2 uker hver. I tillegg ble det gjort et begrenset ruse/garnfiske i både Sykkylven og Voldsfjord innenfor de samme periodene (figur 27).

Ved Ørsta ble det i første periode (uke 21-22) funnet lus på 92 prosent av den undersøkte sjøørreten. Gjennomsnittlig intensitet ble i samme tidsrom beregnet til 12 lus, og en andel på 59 prosent hadde mer enn 0,1 lus per gram kroppsvekt. I andre feltperiode (uke 21-22) økte prevalens i Ørsta til 100 prosent med en gjennomsnittlig intensitet på 70 lus. Andelen med mer enn 0,1 lus per gram kroppsvekt var ved dette tidspunktet 86 prosent. Fastsittende lusestadier dominerte på sjøørreten fra Ørsta i begge perioder (figur 29).

I Sykkylven ble det i første periode (uke 21-22) funnet lus på 36 prosent av de undersøkte individene. Gjennomsnittlig intensitet ble beregnet til 13 lus, og en andel på 12 prosent ble funnet med mer enn 0,1 lus per gram kroppsvekt. I andre periode (uke 24-25) var prevalens ved Sykkylven økt til 100 prosent med en gjennomsnittlig intensitet på 41 lus. Av disse ble 89 funnet med mer enn 0,1 lus per gram kroppsvekt. Mobile stadier utgjorde omtrent 40 prosent i første periode, men minket til omtrent 20 prosent i andre periode (figur 29).

Ved Voldsfjord ble det funnet lakselus på all undersøkt sjøørret (prevalens 100 %) i første periode (uke 21-22). Gjennomsnittlig intensitet ble beregnet til 58 lus, og en andel på 94 prosent ble funnet med mer enn 0,1 lus per gram kroppsvekt. I andre periode (uke 24-25) var prevalens i Voldsfjord fremdeles på 100 prosent. Gjennomsnittlig intensitet var økt til 80 lus, og en andel på 97 prosent av individene ble funnet med mer enn 0,1 lus per gram kroppsvekt ved dette tidspunktet. Fastsittende lusestadier dominerte i begge perioder (figur 29).

Fra Vatnefjord i Romsdal ble det i første periode funnet lus på 33 prosent av de undersøkte individene. Gjennomsnittlig intensitet ble beregnet til 5 lus, og en andel på 7 prosent ble funnet med mer enn 0,1 lus per gram kroppsvekt. I andre periode (uke 24-25) hadde prevalens i Vatnefjorden økt til 100 prosent. Gjennomsnittlig intensitet ble på dette tidspunktet beregnet til 29 lus, med en andel på 74 prosent med mer enn 0,1 lus per gram kroppsvekt. Andelen mobile stadier økte fra omtrent 30 prosent i første periode til omtrent 50 prosent i andre periode (figur 29).

Ved Frænfjord ble det i første periode (uke 23) funnet lus på all undersøkt fisk (prevalens 100 %). Gjennomsnittlig intensitet ble beregnet til 24 lus, og en andel på 89 prosent ble funnet med mer enn 0,1 lus per gram kroppsvekt ved dette tidspunktet. Prevalens var fremdeles 100 prosent ved Frænfjord i andre periode (uke 26), og gjennomsnittlig intensitet ble beregnet til 46 lus. Nittini prosent av de undersøkte individene ved Frænfjord ble funnet med mer enn 0,1 lus per gram kroppsvekt ved dette tidspunktet. Andelen mobile stadier økte fra omtrent 20 prosent i første periode til omtrent 50 prosent i andre periode (figur 29).

For detaljer se appendiks 1.

 

Figur 29. Antall lakselus (A), relativt antall lakselus (B) og stadiefordeling (C) fra sjøørret på stasjonene (øverst til nederst): Frænfjord, Vatnefjord, Sykkylven, Voldsfjord og Ørsta.

 

5.5.4 - Vaktbur

Det ble plassert ut 15 vaktbur i Romsdalsfjorden som utgjør nordlige delen av produksjonsområde 5. Burene sto ute i omtrent 20 dager. Det ble generelt observert et lavt påslag av lakselus med gjennomsnittlig mindre enn en lus per fisk i 14 av burene. I bur nummer 7 øst for øya Sekken ble det i gjennomsnitt funnet 1-5 lus per fisk (figur 30).

 

Figur 30. Plassering og gjennomsnittlig påslag av lakselus fisk fra vaktbur i PO 5. Vaktburene sto ute i omtrent 20 dager i tidsrommet 6-25 juni.

 

Oppsummert indikerer data fra postsmolttråling og vaktbur et lavt smittepress på utvandrende laks fra Romsdalsfjordsystemet. Data fra de undersøkte rusestasjonene i ytre Romsdalsfjorden indikerer imidlertid et økende smittepress utover i sesongen. Lakselus har sannsynligvis derfor ikke hatt noe negativ effekt på utvandrende laksesmolt og sjøørret fra selve Romsdalsfjordsystemet tidlig i sesongen, mens økningen som observeres senere sannsynligvis har påvirket både sent utvandrende laksesmolt og sjøørret i de berørte områdene. Ved de sørligste stasjonene i området (Sunnmøre) indikerer data fra første periode et varierende smittepress som øker gjennom sesongen til andre periode i dette området. I dette området har sannsynligvis både utvandrende postsmolt og beitende sjøørret blitt negativt påvirket av lakselus i 2018.

5.6 - Sør-Trøndelag (PO 6 Nordmøre og Sør-Trøndelag)

5.6.1 - Området

Produksjonsområde 6 dekker kystområdet fra Hustadvika til Flatanger og inkluderer Trondheimsfjorden samt øyene Smøla, Hitra og Frøya. Det er 62 registrerte laksevassdrag i dette produksjonsområdet hvorav elleve er nasjonale laksevassdrag. Samlet gytebestandsmål (GBM) for laksevassdragene i produksjonsområdet er på vel 87 tonn hunnlaks og teoretisk årlig produksjon er på nesten 2,4 millioner smolt. Sjøørret finnes også i store deler av produksjonsområdet og reproduserer i mindre vassdrag i tillegg til de nevnte lakseelvene. Det er generelt høy oppdrettsproduksjon av laksefisk i sjø langs kysten og rundt de større øyene. Indre deler av Tingvollfjorden og Halsafjorden, samt hele Åfjord og Trondheimsfjorden er de nasjonale laksefjordene helt uten oppdrett. I tidsrommet for lakselusovervåkingen var det i 2018 100 lokaliteter i drift. Samlet produksjon av luseegg fra oppdrettsanlegg i varierer mellom år og tid på året. I overkant av 4 milliarder luseegg ble sluppet ut mai 2018 og økte videre til mer enn 10 milliarder i juni samme år (figur 31). Spredningsmodellen for lakselus viser i begynnelsen av mai en generell lav tetthet av kopepoditter i store deler av produksjonsområdet med unntak av Hemnfjorden og deler av Trondheimsleia sør for Hitra. Situasjonen er nokså uforandret utover mai, mens det i juni øker litt også i ytre del av Trondheimsfjorden (figur 32).

I 2018 ble det gjennomført postsmolttråling etter laks i 4 uker, to perioder med undersøkelser av lakselusinfestasjon på sjøørret og 1 perioder med vaktbur i dette produksjonsområdet (figur 33).

 

Figur 31. Produksjon av klekte luseegg fra oppdrettsanlegg i produksjonsområde 6. april-juli i perioden 2012-2018

 

 

Figur 32. Modellert tetthet av kopepoditter (summert over 14 dager) med opphav fra oppdrettsanlegg i PO 6. i perioden før og under gjennomføring av feltundersøkelser i 2018.

 

 

Figur 33. Område for postsmolttråling, vaktbur og ruse/garn stasjoner i produksjonsområde 6. 2018

 

5.6.2 - Tråling

Data fra trålingen etter utvandrende laks i ytre Trondheimsfjorden og Frohavet (figur 33) indikerte et generelt lavt påslag av lakselus i hele perioden. Prevalens varierte mellom 22 og 33 prosent i de tre første ukene (uke 20-22), og økte deretter til 75 prosent i uke 23. Denne uken ble det imidlertid kun fanget 16 postsmolt. Gjennomsnittlig intensitet lå i hele perioden på 1-2 lus. Det ble på det meste funnet 6 lus på et enkeltindivid, og andelen med mer enn 0,1 lus per gram kroppsvekt var i det meste opp i 12 prosent i uke 23 (figur 34).

For detaljer se appendiks 2.

 

Figur 34. Antall lakselus (A) og relativt antall lus (B) på trålfanget postsmolt laks i uke 20-23 i PO 6.

 

5.6.3 - Ruse og garn

Agdenes og Asserøy er faste stasjoner for overvåking på sjøørret i dette produksjonsområdet (figur 33), og disse områdene ble undersøkt i to perioder av omtrent to uker hver. Det ble ikke undersøkt noen andre stasjoner i dette området i 2018.

Ved Agdenes ytterst i Trondheimsfjorden ble det i første periode (uke 22-23) funnet lakselus på 80 prosent av den undersøkte sjøørreten. Gjennomsnittlig intensitet ble beregnet til 16 lus, og en andel på 44 prosent hadde mer enn 0,1 lus per gram kroppsvekt på dette tidsrommet. I andre periode (uke 25-26) hadde prevalens av lus på ørreten ved Agdenes økt til 100 prosent, og gjennomsnittlig intensitet ble beregnet til 36 lus. Andelen med mer enn 0,1 lus per gram kroppsvekt var på dette tidspunktet 42 prosent. Det ble imidlertid fanget en del stor sjøørret ved Agdenes ved dette tidspunkt. Det ble observert en økende andel fastsittende lusestadier fra første til andre periode (figur 35).

Ved Asserøy ble det funnet lus på 96 prosent av den undersøkte sjøørreten i første periode (uke 22-23). På dette tidspunktet var gjennomsnittlig intensitet 19 lus, og en andel på 20 prosent ble funnet med mer enn 0,1 lus per gram kroppsvekt. I andre periode (uke 25-26) var prevalens økt til 100 prosent, og gjennomsnittlig intensitet til 26 lus. Andelen med mer enn 0,1 lus per gram kroppsvekt var økt til 56 prosent i denne perioden. Ved Asserøy ble det observert en stor andel mobile lusestadier på fisken med mer enn 50 prosent i andre periode. (figur 35).

 

Figur 35. Antall lakselus (A), relativt antall lakselus (B) og stadiefordeling (C) fra sjøørret på stasjonene (øverst til nederst): Agdenes og Asserøy.

 

5.6.4 - Vaktbur

Det ble plassert ut 13 vaktbur i og utenfor Trondheimsfjorden som utgjør sentrale deler av produksjonsområde 6. Burene sto ute i omtrent 17 dager. Det ble generelt observert et lavt påslag av lakselus med gjennomsnittlig mindre enn en lus per fisk på de fleste bur. I de to burene som var plassert i Trondheimsleia ble det likevel funnet i gjennomsnitt 1-5 lus per fisk (figur 36).

 

Figur 36. Plassering og gjennomsnittlig påslag av lakselus fisk fra vaktbur i PO 6. Vaktburene sto ute i omtrent 17 dager i tidsrommet 4-21 juni.

 

Oppsummert indikerer data fra postsmolttrålingen og vaktbur et generelt lavt smittepress på utvandrende laks fra Trondheimsfjorden. Data fra undersøkelser på sjøørret i samme området indikerer et moderat og økende påslag av lakselus i dette tidsrommet, og en ytterligere økning videre utover sommeren. Lakselus har sannsynligvis hatt liten negativ effekt på utvandrende postsmolt laks fra Trondheimsfjordsystemet. For sjøørret har lakselus sannsynligvis hatt en moderat til høy negativ effekt i de berørte områdene.

5.7 - Nord Trøndelag (PO 7 Nord-Trøndelag med Bindal)

5.7.1 - Området

Produksjonsområde 7 dekker kystområdet fra Flatanger i sør til Bindalsfjorden helt sør i Nordland og inkluderer blant annet Namsenfjorden og øygruppen Vikna. Det er 22 registrerte laksevassdrag i dette produksjonsområdet hvor av to er nasjonale laksevassdrag. Samlet gytebestandsdmål (GBM) for laksevassdragene i produksjonsområdet er på vel 27 tonn hunnlaks og teoretisk årlig produksjon er på vel 0,9 millioner smolt. Sjøørret finnes også i store deler av produksjonsområdet og reproduserer i mindre vassdrag i tillegg til de nevnte lakseelvene. Det er høy oppdrettsproduksjon av laksefisk i sjø langs kysten og rundt øygruppen Vikna. Namsenfjorden er nasjonal laksefjord helt uten oppdrett. I 2018 var det 41 lokaliteter i drift mellom april og september. Samlet produksjon av luseegg fra oppdrettsanlegg i varierer mellom år og tid på året. omtrent 2 milliarder luseegg ble sluppet ut mai 2018 og økte videre til mer enn 4 milliarder i juli samme år (figur 37). Spredningsmodellen for lakselus viser i slutten av mai en generell økt tetthet av kopepoditter i området sør for Vikna. Utover i juni øker dette til å også gjelde nordlige deler av Foldafjorden. Inni og rett utenfor Namsenfjorden er det modellerte smittepresset lavt gjennom hele perioden (figur 38).

I 2018 ble det gjennomført to perioder med undersøkelser av lakselusinfestasjon på sjøørret og en periode med vaktbur i dette produksjonsområdet (figur 39).

 

Figur 37. Produksjon av klekte luseegg fra oppdrettsanlegg i produksjonsområde 7. april-juli i perioden 2012-2018

 

 

Figur 38. Modellert tetthet av kopepoditter (summert over 14 dager) med opphav fra oppdrettsanlegg i PO 7. i perioden før og under gjennomføring av feltundersøkelser i 2018.

 

 

Figur 39. Område for vaktbur og ruse/garn stasjoner i produksjonsområde 7. 2018

 

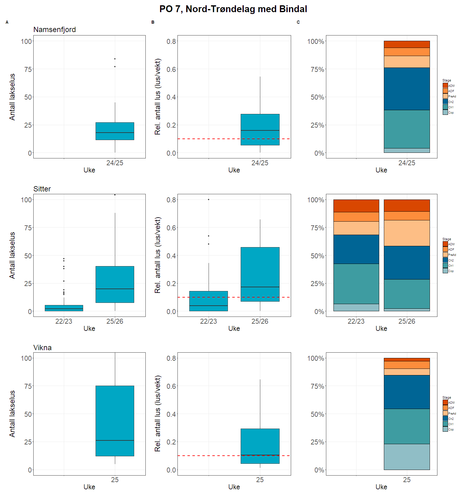
5.7.2 - Ruse og garn

Sitter i Flatanger er valgt som fast stasjon i produksjonsområdet Nord-Trøndelag og ble undersøkt med ruse/garn i to perioder på omtrent to uker hver. I tillegg ble det gjort kortere undersøkelser i selve Namsenfjorden og ved Vikna (figur 39).

I første periode (uke 22-23) ble det ved Sitter funnet lus på 58 prosent av den undersøkte sjøørreten. Gjennomsnittlig intensitet var på 9 lus, og en andel på 31 prosent ble funnet med mer enn 0,1 lus per gram kroppsvekt. I andre periode (uke 25-26) var prevalens ved Sitter økt til 91 prosent. Samtidig var gjennomsnittlig intensitet økt til 28 lus, med en andel på 57 prosent med mer enn 0,1 lus per gram kroppsvekt. Andelen mobile lusestadier økte fra første feltperiode og var på ca. 40 prosent ved andre feltperiode (figur 40).

I Namsenfjorden ble det i uke 24-25 funnet lus på 98 prosent av den undersøkte fisken. Gjennomsnittlig intensitet ble beregnet til 22 lus, og en andel på 60 prosent ble funnet med mer enn 0,1 lus per gram kroppsvekt. Ved Vikna i uke 25 var prevalens 100 prosent, og gjennomsnittlig intensitet ble beregnet til 43 lus. En andel på 52 prosent ble funnet med mer enn 0,1 lus per gram kroppsvekt. Fastsittende lusestadier dominerte på sjøørret fra både Vikna Namsenfjorden (figur 40).

For detaljer se appendiks 1.

 

Figur 40. Antall lakselus (A), relativt antall lakselus (B) og stadiefordeling (C) fra sjøørret på stasjonene (øverst til nederst): Namsenfjord, Sitter og Vikna.

 

5.7.3 - Vaktbur

Det ble plassert ut 19 vaktbur i produksjonsområde 7, hovedsakelig rundt Vikna, i Folda og i ytre del av Namsenfjorden. Burene sto ute i omtrent 14 dager. På de fleste burene ble det funnet i gjennomsnitt mellom 1-5 lakselus per fisk, mens det på 6 av burene ble funnet i gjennomsnitt mindre enn 1 lus per fisk. (figur 41).

 

Figur 41. Plassering og gjennomsnittlig påslag av lakselus fisk fra vaktbur i PO 5. Vaktburene sto ute i omtrent 14 dager i tidsrommet 2-17 juni

 

Oppsummert indikerer data fra bur og ruse/garnundersøkelsen i Nord-Trøndelag et lavt til moderat smittepress av lakselus tidlig i sesongen, men med en økning i utover sommeren. Lakselus har sannsynligvis hatt en lav til moderat negativ effekt på utvandrende postsmolt av laks fra Namsenfjorden. Sjøørret og sent utvandrende laks kan likevel ha opplevd en større negativ effekt fra lakselus i dette området utover sommeren.

5.8 - Nordland sør (PO 8, Helgeland til Bodø)

5.8.1 - Området

Produksjonsområde 8 dekker kystområdet fra Bindalsfjorden på Helgeland i sør til Bodø i i nord, og inkluderer i tillegg Skjerstadfjorden innenfor Saltstraumen. Det er 30 registrerte laksevassdrag i dette produksjonsområdet hvor av tre er nasjonale laksevassdrag. Samlet gytebestandsdmål (GBM) for laksevassdragene i produksjonsområdet er på vel 18 tonn hunnlaks og teoretisk årlig produksjon er på vel 364.000 smolt. Sjøørret og sjørøye finnes også i store deler av produksjonsområdet og reproduserer i mindre vassdrag i tillegg til de nevnte lakseelvene. Det er høy oppdrettsproduksjon av laksefisk i sjø langs det meste av kysten samt noe produksjon også inne i selve Skjerstadfjorden. Vefsnfjorden, Ranfjorden og Beiarfjorden er nasjonale laksefjorder helt uten oppdrett. I 2018 var det 69 lokaliteter i drift i perioden 1. april – 1. september. Samlet produksjon av luseegg fra oppdrettsanlegg i varierer mellom år og tid på året. I underkant av 2 milliarder luseegg ble sluppet ut mai 2018 og økte videre til mer enn 4 milliarder i juli samme år (figur 42). Spredningsmodellen for lakselus viser i begynnelsen av juni en generell lav tetthet av kopepoditter i stort sett hele området. Noen spredte forekomster med forhøyet tetthet observeres likevel. I siste del av juni er fremdeles den modellerte tettheten i store deler av området lav selv om forekomstene med førhøyet tetthet øker noe (figur 43).

I 2018 ble det gjennomført to perioder med undersøkelser av lakselusinfestasjon på sjøørret/sjørøye i dette produksjonsområdet (figur 44).

 

Figur 42. Produksjon av klekte luseegg fra oppdrettsanlegg i produksjonsområde 8. april-juli i perioden 2012-2018

 

 

Figur 43. Modellert tetthet av kopepoditter (summert over 14 dager) med opphav fra oppdrettsanlegg i PO 8. i perioden før og under gjennomføring av feltundersøkelser i 2018.

 

 

Figur 44. Ruse/garn stasjoner i produksjonsområde 8. 2018

 

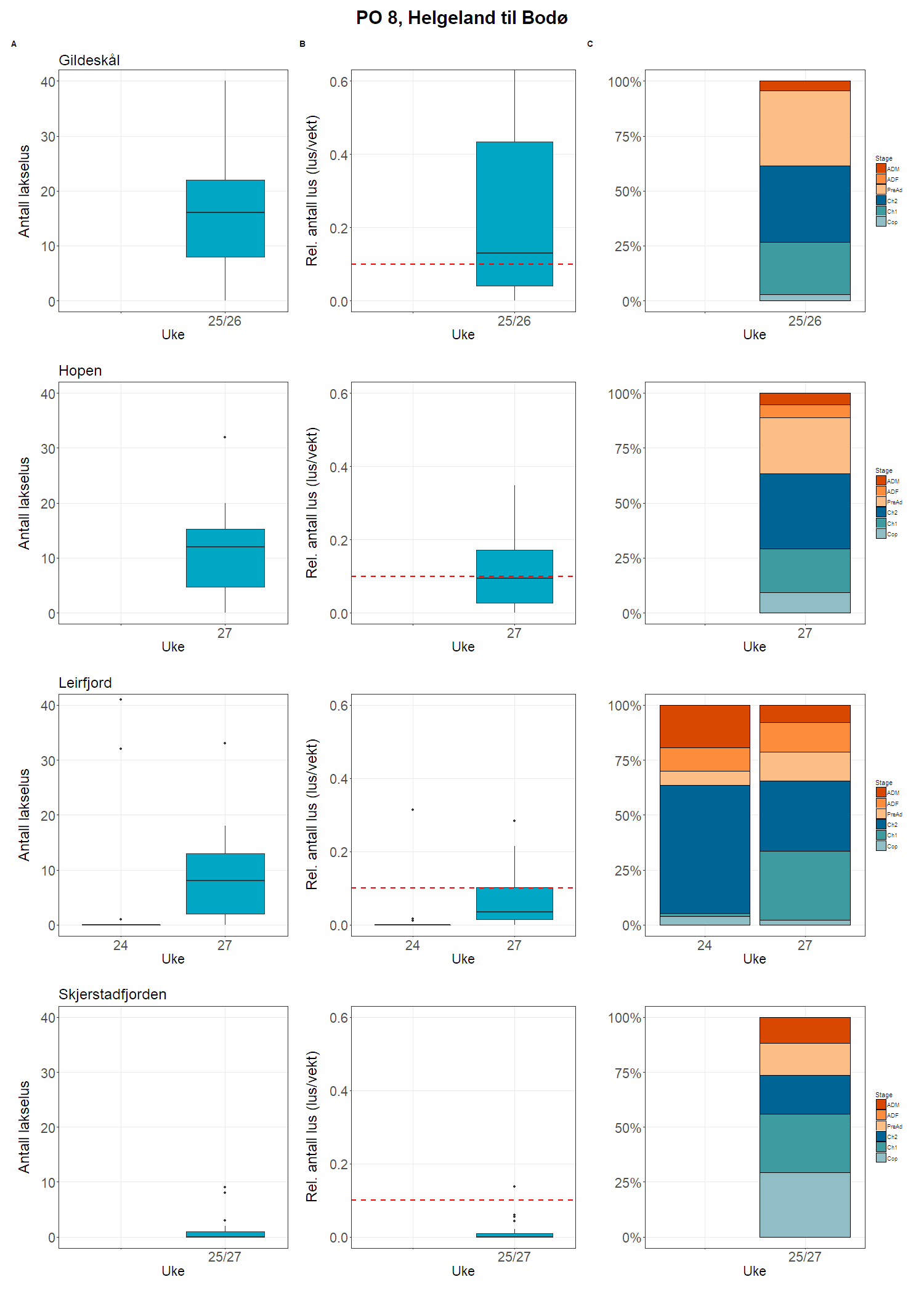
5.8.2 - Ruse og garn

Leirfjord på Helgeland ble valgt som fast stasjon i dette produksjonsområdet og ble undersøkt i to adskilte perioder. I tillegg ble det gjort en rekke forsøk på å finne andre representative stasjoner for fangst av sjøørret i Salten (figur 44). Dette lyktes ikke spesielt godt i 2018, og resulterte i flere stasjoner med lavt antall fisk og et lite tydelig skille mellom perioder.

Ved Leirfjord ble det funnet lus på 22 prosent av den undersøkte fisken i første periode (uke 24). Ved dette tidspunktet ble gjennomsnittlig intensitet beregnet til 13 lus, og en andel på 7 prosent hadde mer enn 0,1 lus per gram kroppsvekt. I andre periode (uke 27) var prevalens i Leirfjord økt til 92 prosent, mens gjennomsnittlig intensitet var på 10 lus. Andelen med mer enn 0,1 lus per gram kroppsvekt var på dette tidspunktet økt til 28 prosent (figur 45).

Skjerstadfjorden ble undersøkt mer eller mindre sammenhengende i ukene 25-27. I denne perioden ble prevalens beregnet til 29 prosent, mens gjennomsnittlig intensitet var på 4 lus. Andelen med mer enn 0,1 lus per gram kroppsvekt var 4 prosent i denne perioden (figur 45).

Gildeskål ble undersøkt i uke 25-26. I denne perioden ble det funnet lus på 92 prosent av de undersøkte individene, med en gjennomsnittlig intensitet på 21 lus. Andelen med mer enn 0,1 lus per gram kroppsvekt var på 69 prosent. Det ble imidlertid kun undersøkt 13 sjøørret fra denne stasjonen (figur 45).

Hopen ved Bodø ble undersøkt i både uke 25 og uke 27. I uke 25 ble det kun fanget en sjøørret fra denne stasjonen, og vil derfor ikke bli diskutert ytterligere her. I uke 27 ble det ved Hopen funnet lus på 86 prosent av fisken, og gjennomsnittlig intensitet ble beregnet til 16 lus. 50 prosent av de undersøkte individene ble funnet med mer enn 0,1 lus per gram kroppsvekt ved dette tidspunktet. Det ble imidlertid kun undersøkt 14 fisk ved denne stasjonen. Omtrent en fjerdedel av de registrerte lakselusene var mobile stadier på stasjonene i dette produksjonsområdet (figur 45).

For detaljer se appendiks 1.

 

Figur 45. Antall lakselus (A), relativt antall lakselus (B) og stadiefordeling (C) fra sjøørret på stasjonene (øverst til nederst): Gildeskål, Hopen, Leirfjord og Skjerstadfjorden..

 

Oppsummert indikerer data fra ruse/garnfangst i Leirfjord et lavt men økende smittepress i de undersøkte periodene. Data fra Skjerstadfjorden indikerer også et lavt smittepress på innsiden av Saltstraumen, mens det på utsiden er noe høyere i omtrent de samme periodene. Lakselus har derfor sannsynligvis ikke hatt noen negativ effekt på utvandrende laks i de undersøkte områdene. En generell økning utover sommeren i både Salten og på Helgeland øker sannsynligheten for at lokale bestander av både sjøørret og sjørøye blir negativt påvirket av lakselus i de berørte områdene.

5.9 - Nordland nord (PO 9, Vestfjorden og Vesterålen)

5.9.1 - Området

Produksjonsområde 9 dekker kystområdet fra Bodø til Andøya lengst nord i Nordland og inkluderer hele Vestfjorden samt øygruppene Lofoten og Vesterålen. Det er 58 registrerte laksevassdrag i dette produksjonsområdet, men ingen av disse har status som nasjonale laksevassdrag. Samlet gytebestandsdmål (GBM) for laksevassdragene i produksjonsområdet er på vel 6,7 tonn hunnlaks med en teoretisk årlig produksjon på vel 193.000 smolt. Sjøørret og sjørøye finnes også i store deler av produksjonsområdet og reproduserer i mindre vassdrag i tillegg til de nevnte lakseelvene. Det er høy oppdrettsproduksjon av laksefisk i sjø langs det meste av kysten og rundt øyene i Lofoten og Vesterålen. I fjordene på fastlandssiden er produksjonen mer spredt. I PO 9 var det 64 lokaliteter i drift i perioden for lakselusovervåkingen i 2018. Samlet produksjon av luseegg fra oppdrettsanlegg i varierer mellom år og tid på året. Omtrent 1 milliard luseegg ble sluppet ut i mai 2018 og økte videre til vel 1,5 milliarder i juli samme år (figur 46). Spredningsmodellen for lakselus viser i begynnelsen av juni en generell lav tetthet av kopepoditter i stort sett hele området. Noen spredte forekomster med forhøyet tetthet observeres likevel. I siste del av juni og begynnelsen av juli er fremdeles den modellerte tettheten i store deler av området lav (figur 47).

I 2018 ble det gjennomført to perioder med undersøkelser av lakselusinfestasjon på sjøørret/sjørøye i dette produksjonsområdet (figur 48).

 

Figur 46. Produksjon av klekte luseegg fra oppdrettsanlegg i produksjonsområde 9. april-juli i perioden 2012-2018

 

 

Figur 48. Modellert tetthet av kopepoditter (summert over 14 dager) med opphav fra oppdrettsanlegg i PO 9. i perioden før og under gjennomføring av feltundersøkelser i 2018.

 

 

Figur 49. Ruse/garn stasjoner i produksjonsområde 9. 2018

 

5.9.2 - Ruse og garn

Steigen ble valgt som fast stasjon i dette produksjonsområdet og ble undersøkt i to adskilte perioder. I tillegg ble det gjort kortere undersøkelser lengre vest i produksjonsområdet hvor både Vik ved Stokmarknes og Fiskfjord vest på Hinnøya ble undersøkt innenfor de samme periodene (figur 49).

I Steigen ble det i første periode (uke 24-25) funnet lus på 41 prosent av de undersøkte individene. Gjennomsnittlig intensitet ble beregnet til 18 lus, og en andel på 8 prosent hadde mer enn 0,1 lus per gram kroppsvekt. Ved andre periode (uke 27-28) hadde prevalens økt til 67 prosent, mens gjennomsnittlig intensitet var redusert til 12 lus. Ved dette tidspunktet ble det funnet mer enn 0,1 lus på 25 prosent av de undersøkte individer (figur 50).

Ved Vik ble prevalens beregnet til 85 prosent i første periode (uke 24-25). Gjennomsnittlig intensitet var på 12 lus, og en andel på 13 prosent ble funnet med mer enn 0,1 lus per gram kroppsvekt. I andre periode (uke 27-28) var prevalens ved Vik økt til 100 prosent. Gjennomsnittlig intensitet ble beregnet til 16 lus, og andelen med mer enn 0,1 lus per gram kroppsvekt var økt til 57 prosent ved dette tidspunktet (figur 50).

I Fiskfjord ble det funnet lus på 38 prosent av de undersøke sjøørret i første feltperiode (uke 24-25). Gjennomsnittlig intensitet var på 7 lus og det ble ikke funnet fisk med mer enn 0,1 lus per gram kroppsvekt på dette tidspunktet. I andre periode hadde prevalens i Fiskfjord økt til 91 prosent, mens gjennomsnittlig intensitet var uforandret på 7 lus. En andel på 9 prosent ble funnet med mer enn 0,1 lus per gram kroppsvekt. Det er imidlertid undersøkt et lavt antall fisk fra denne stasjonen i begge periodene (figur 50).

For detaljer se appendiks 1.

 

Figur 50. Antall lakselus (A), relativt antall lakselus (B) og stadiefordeling (C) fra sjøørret på stasjonene (øverst til nederst): Fiskfjord, Steigen og Vik.

 

Oppsummert indikerer data fra ruse/garnstasjonene et lavt smittepress under tidspunktet for utvandring av laks fra elvene i området. Senere på sommeren observeres en generell økning, spesielt lengst vest i området. Lakselus har sannsynligvis ikke hatt noe negativ effekt utvandrende laks i dette området, men har sannsynligvis hatt en effekt på beitende sjøørret i enkelte områder.

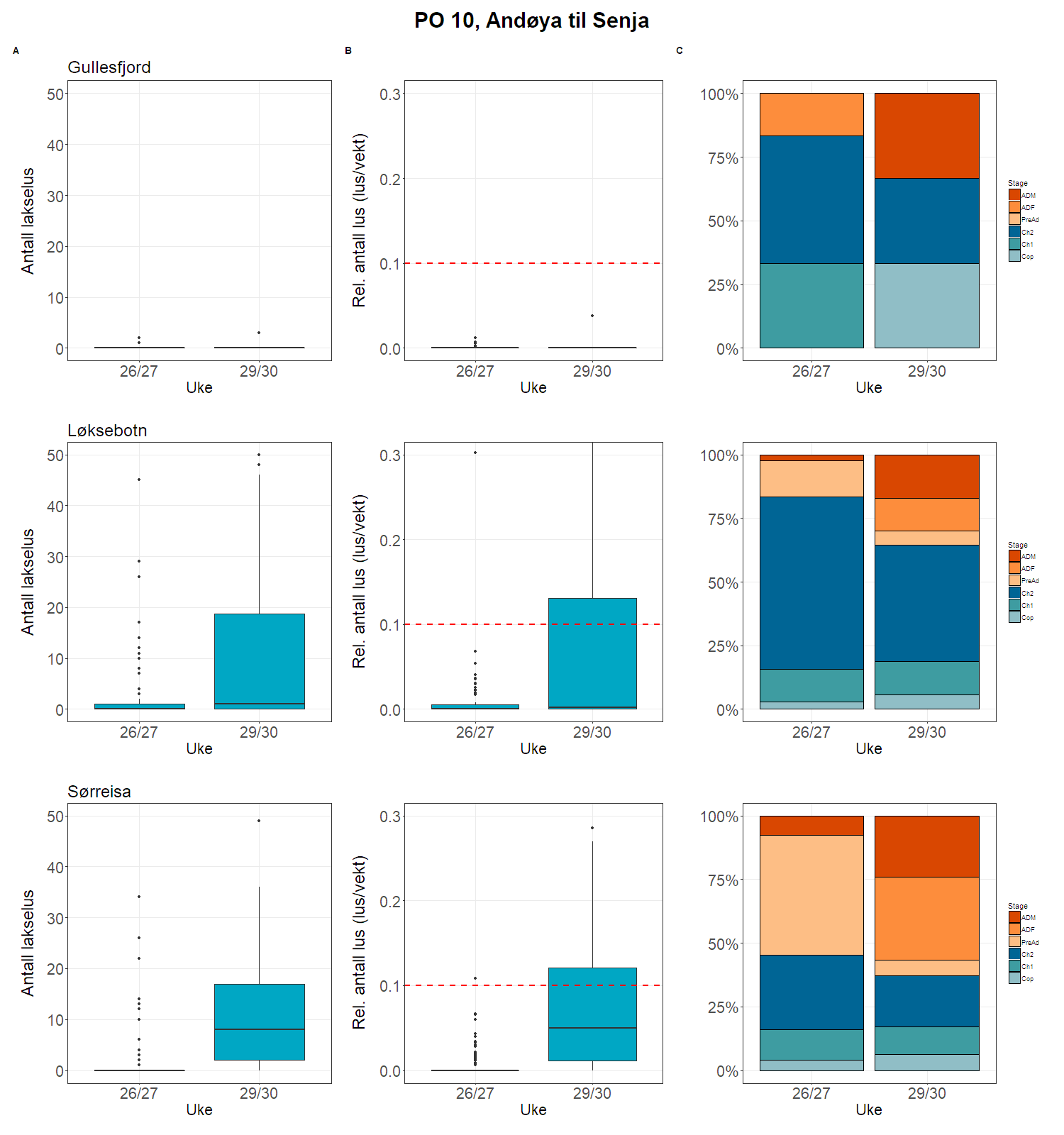
5.10 - Troms sør (PO 10, Andøya til Senja)

5.10.1 - Området

Produksjonsområde 10 dekker kystområdet fra Andøya lengst nord i Nordland og strekker seg nordøstover til Malangen nord for Senja. I området er også Vågsfjorden ved Harstad samt flere fjorder på fastlandet i Sør-Troms inkludert. Det er 24 registrerte laksevassdrag i dette produksjonsområdet hvor av to har status som nasjonale laksevassdrag. Samlet gytebestandsdmål (GBM) for laksevassdragene i produksjonsområdet er på vel 12 tonn hunnlaks med en teoretisk årlig produksjon på vel 328.000 smolt. Sjøørret og sjørøye finnes også i store deler av produksjonsområdet og reproduserer i mindre vassdrag i tillegg til de nevnte lakseelvene. Det er høy produksjon av laksefisk i sjø i flere deler av produksjonsområdet, spesielt nordover fra Harstad og i området rundt Senja. Malangen er nasjonal laksefjord og derfor helt uten oppdrettsproduksjon. I PO 10 var det 45 lokaliteter i drift i perioden for lakselusovervåkingen i 2018. Samlet produksjon av luseegg fra oppdrettsanlegg i varierer mellom år og tid på året. Omtrent 1 milliard luseegg ble sluppet ut i mai 2018 og økte videre til i underkant av 1,5 milliarder i juli samme år (figur 51). Spredningsmodellen for lakselus viser i siste del av juni en generell lav tetthet av kopepoditter i hele området. I begynnelsen av juli øker tettheten av kopepoditter generelt, og spesielt i området Andørja og Rolla i Ibestad (figur 52).

I 2018 ble det gjennomført to perioder med undersøkelser av lakselusinfestasjon på sjøørret/sjørøye i dette produksjonsområdet (figur 53).

 

Figur 51. Produksjon av klekte luseegg fra oppdrettsanlegg i produksjonsområde 10. april-juli i perioden 2012-2018

 

 

Figur 52. Modellert tetthet av kopepoditter (summert over 14 dager) med opphav fra oppdrettsanlegg i PO 10. i perioden før og under gjennomføring av feltundersøkelser i 2018.

 

 

Figur 53. Ruse/garn stasjoner i produksjonsområde 10. 2018

 

5.10.2 - Ruse og garn

Sørreisa ble valgt som fast stasjon i dette produksjonsområdet og ble undersøkt i to adskilte perioder på omtrent to uker. I tillegg ble det gjort kortere undersøkelser i både Løksebotn og Gullesfjord innenfor de samme periodene (figur 53).

Ved Sørreisa ble det funnet lus på 24 prosent av den undersøkte fisken i første periode (26-27), mens gjennomsnittlig intensitet ble beregnet til 8 lus. En andel på 2 prosent ble funnet med mer enn 0,1 lus per gram kroppsvekt i denne perioden. I andre periode (uke 29-30) var prevalens økt til 84 prosent. Samtidig var gjennomsnittlig intensitet økt til 15 lus, og andelen med mer enn 0,1 lus per gram kroppsvekt var på dette tidspunktet 34 prosent. En stor andel av de registrerte lakselus fra denne stasjonen var mobile stadier (figur 54).

I Løksebotn ble det i første periode (uke 26-27) funnet lus på 34 prosent av fisken Gjennomsnittlig intensitet ble beregnet til 8 lus, og kun 1 prosent ble funnet med mer enn 0,1 lus per gram kroppsvekt. I andre periode var prevalens i Løksebotn økt til 53 prosent, og gjennomsnittlig intensitet var på 24 lus. Andelen med mer enn 0,1 lus per gram kroppsvekt hadde på dette tidspunktet økt til 25 prosent (figur 54).

I Gullesfjord ble det i første periode funnet lus på 22 prosent av de undersøkte individene. Gjennomsnittlig intensitet var på 1 lus, og det ble ikke funnet fisk med mer enn 0,1 lus per gram kroppsvekt. I andre periode i Gullesfjord var prevalens redusert til 20 prosent, mens gjennomsnittlig intensitet var økt til 3 lus. Det ble heller ikke i denne perioden funnet fisk med mer enn 0,1 lus per gram kroppsvekt fra Gullesfjord (figur 54).

For detaljer se appendiks 1.

 

Figur 54. Antall lakselus (A), relativt antall lakselus (B) og stadiefordeling (C) fra sjøørret på stasjonene (øverst til nederst): Gullesfjord, Løksebotn og Sørreisa.

 

Oppsummert indikerer data fra ruse/garnstasjonene et lavt smittepress under tidspunktet for utvandring av laks fra elvene i området. Senere på sommeren observeres en økning i noen områder. Lakselus har sannsynligvis ikke hatt noe negativ effekt utvandrende laks i dette området. For beitende sjøørret i de undersøkte områdene har lakselus sannsynligvis kun hatt en liten til moderat negativ effekt i 2018.

5.11 - Troms nord (PO 11, Kvaløya til Loppa)

5.11.1 - Området

Produksjonsområde 11 dekker kystområdet fra Kvaløya vest for Tromsø til og med Kvænangen på fylkesgrensa mellom Troms og Finnmark. Området inkluderer også de større fjordene på begge sider av Lyngenhalvøya. Det er 17 registrerte laksevassdrag i dette produksjonsområdet hvor av to har status som nasjonale laksevassdrag. Samlet gytebestandsdmål (GBM) for laksevassdragene i produksjonsområdet er på vel 8,5 tonn hunnlaks med en teoretisk årlig produksjon på vel 141.000 smolt. Sjøørret og sjørøye finnes også i store deler av produksjonsområdet og reproduserer i mindre vassdrag i tillegg til de nevnte lakseelvene. Det er produksjon av laksefisk i sjø i flere deler av produksjonsområdet, spesielt på kysten rundt de større øyene. Reisafjorden og indre deler av Kvænangen er nasjonale laksefjorder og derfor helt uten oppdrettsproduksjon. I PO 11 var det 27 lokaliteter i drift i tidsrommet for lakselusovervåkingen i 2018. Samlet produksjon av luseegg fra oppdrettsanlegg i varierer mellom år og tid på året. Vel 300 millioner luseegg ble sluppet ut i mai 2018. Dette økte ikke nevneverdig fram mot juli samme år (figur 55). Spredningsmodellen for lakselus viser i siste del av juni en lav tetthet av kopepoditter i hele området. I begynnelsen av juli er tettheten av kopepoditter fremdeles lav (figur 56).

I 2018 ble det gjennomført to perioder med undersøkelser av lakselusinfestasjon på sjøørret/sjørøye i dette produksjonsområdet (figur 57).

 

Figur 55. Produksjon av klekte luseegg fra oppdrettsanlegg i produksjonsområde 11. april-juli i perioden 2012-2018

 

 

Figur 56. Modellert tetthet av kopepoditter (summert over 14 dager) med opphav fra oppdrettsanlegg i PO 11. i perioden før og under gjennomføring av feltundersøkelser i 2018.

 

 

Figur 57. Ruse/garn stasjoner i produksjonsområde 11. 2018

 

5.11.2 - Ruse og garn

Balsfjord ble valgt som fast stasjon i dette produksjonsområdet og ble undersøkt i to adskilte perioder på omtrent to uker. I tillegg ble det gjort kortere undersøkelser i Nordreisa innenfor de samme periodene. På grunn av tekniske problemer var det ikke mulig å få undersøkt flere stasjoner i dette produksjonsområdet. De samme utfordringene resulterte også i lavt antall fisk i første periode (figur 57).

I Balsfjord ble det i første periode (uke 26-27) funnet lus på 37 prosent av den undersøkte fisken, og gjennomsnittlig intensitet ble beregnet til 2 lus. Det ble ikke funnet individer med mer enn 0,1 lus per gram kroppsvekt ved dette tidspunktet. Det ble imidlertid kun undersøkt 19 fisk fra Balsfjord i denne perioden. Ved andre periode (uke 29-30) var prevalens økt til 68 prosent, mens gjennomsnittlig intensitet forble uforandret på 2 lus. Kun 1 prosent av individene ble på dette tidspunktet funnet med mer enn 0,1 lus per gram kroppsvekt (figur 58).

I Nordreisa ble det i første periode (uke 26-27) kun undersøkt 5 fisk. Ingen av disse ble funnet med lus. I andre periode (uke 29-30) ble prevalens beregnet til 50 prosent med en gjennomsnittlig intensitet på 3 lus. Det ble ikke funnet noen individer med mer enn 0,1 lus per gram kroppsvekt ved dette tidspunktet. (figur 58).

 

Figur 58. Antall lakselus (A), relativt antall lakselus (B) og stadiefordeling (C) fra sjøørret på stasjonene (øverst til nederst): Balsfjord og Nordreisa.

 

Oppsummert indikerer data fra ruse/garnstasjonene et lavt smittepress under tidspunktet for utvandring av laks fra elvene i de undersøkte områdene. Antall undersøkte fisk var imidlertid lavt på dette tidspunktet. Videre indikerer oppfølgende runde et vedvarende lavt smittepress utover sommeren. Lakselus har derfor sannsynligvis ikke hatt noe negativ effekt utvandrende laks eller beitende sjøørret og sjørøye i de undersøkte områdene i 2018.

5.12 - Finnmark vest (PO 12, Vest-Finnmark)

5.12.1 - Området

Produksjonsområde 12 dekker kystområdet fra Loppa i vest til nordspissen av Nordkinnhalvøya og inkluderer de store fjordsystemene Alta, Porsanger og Laksefjord. Det er 18 registrerte laksevassdrag i dette produksjonsområdet hvor av fem er nasjonale laksevassdrag. Samlet gytebestandsdmål (GBM) for laksevassdragene i produksjonsområdet er på mer enn 26 tonn hunnlaks og med en teoretisk årlig produksjon på vel 580.000 smolt. Sjøørret og sjørøye finnes også i store deler av produksjonsområdet og reproduserer i mindre vassdrag i tillegg til de nevnte lakseelvene. Det er generelt høy oppdrettsproduksjon av laksefisk i sjø i den vestligste delen av produksjonsområdet, mens det fra Hammerfest og østover er store områder uten oppdrett. Indre del av Altafjorden og Porsangerfjorden er nasjonale laksefjorder og derfor helt uten oppdrett. I PO 12 var det 45 lokaliteter i drift i tidrrommet for lakselusovervåking i 2018. Samlet produksjon av luseegg fra oppdrettsanlegg i varierer mellom år og tid på året. I underkant av 600 millioner luseegg ble sluppet ut juni 2018 og økte noe utover i juli samme år (figur 59). Spredningsmodellen for lakselus viser i slutten av juni en generell lav tetthet av kopepoditter i store deler av produksjonsområdet med noen lokale unntak blant annet innerst i Refsebotn og nord på Seiland. Situasjonen er bortimot uforandret utover juli måned (figur 60).

I 2018 ble det gjennomført postsmolttråling etter laks i 4 uker, to perioder med undersøkelser av lakselusinfestasjon på sjøørret (figur 61). Det ble også forsøkt gjennomført undersøkelser med vaktbur i Altafjorden. Dette ble mislykket og vil derfor ikke omtales nærmere i denne rapporten.

 

Figur 59. Produksjon av klekte luseegg fra oppdrettsanlegg i produksjonsområde 12. april-juli i perioden 2012-2018

 

 

Figur 60. Modellert tetthet av kopepoditter (summert over 14 dager) med opphav fra oppdrettsanlegg i PO 12. i perioden før og under gjennomføring av feltundersøkelser i 2018.

 

 

Figur 61. Område for postsmolttråling og ruse/garn stasjoner i produksjonsområde 12. 2018

 

5.12.2 - Tråling

Trålingen etter utvandrende postsmolt av laks i Altafjordsystemet (figur 69) viste et gjennomgående lavt påslag av lakselus gjennom hele perioden (uke 27-30). Prevalens var høyest i uke 28 med 30 prosent, og det ble på det meste funnet 5 lus på en enkelt postsmolt. På dette tidspunktet hadde en andel på 3 prosent mer enn 0,1 lus per gram kroppsvekt. Det ble imidlertid fanget lite laks både før og etter uke 28 (figur 62).

For detaljer se appendiks 2.

 

Figur 62. Antall lakselus (A) og relativt antall lus (B) på trålfanget postsmolt laks i uke 27-30 i PO 12.

 

5.12.3 - Ruse og garn

Talvik ble valgt som fast stasjon i dette produksjonsområdet og ble undersøkt i to adskilte perioder på omtrent to uker. Det ble også gjort nesten tilsvarende undersøkelser i Skillefjord innenfor de samme periodene. I tillegg ble det i andre periode gjort et mislykket forsøkt på å undersøke en ny stasjon i Langfjord på vestsiden av Altafjorden (figur 61).

Ved Talvik ble det i første periode (uke 27-28) funnet lus på 69 prosent av den undersøkte fisken, og gjennomsnittlig intensitet ble beregnet til 6 lus. En andel på 12 prosent ble på dette tidspunktet funnet med mer enn 0,1 lus per gram kroppsvekt. I andre periode (uke 30-31) var prevalens i Talvik redusert til 60 prosent mens gjennomsnittlig intensitet samtidig var økt til 14 lus. En andel på 16 prosent ble funnet med mer enn 0,1 lus per gram kroppsvekt i Talvik i denne perioden (figur 63).

I Skillefjord lengre ut i Altafjordsystemet ble det i første periode (uke 27-28) funnet lus på 57 prosent av fisken, og gjennomsnittlig intensitet ble beregnet til 10 lus. Atten prosent ble ved dette tidspunktet funnet med mer enn 0,1 lus per gram kroppsvekt. I andre periode hadde prevalens i Skillefjord økt til 90 prosent samtidig med at gjennomsnittlig intensitet var doblet til 20 lus. På dette tidspunktet ble det funnet mer enn 0,1 lus per gram kroppsvekt på 65 prosent av de undersøkte individene fra Skillefjord. Andelen mobile stadier økte markant fra førte periode ved denne stasjonen. (figur 63).

Langfjord ble forsøkt undersøkt i andre periode, men det ble kun fanget en sjøørret fra denne stasjonen. Den er derfor ikke illustrert i figur 63. For detaljer se appendiks 1.

 

Figur 63. Antall lakselus (A), relativt antall lakselus (B) og stadiefordeling (C) fra sjøørret på stasjonene (øverst til nederst): Skillefjord og Talvik.

 

Oppsummert indikerer data fra postsmolttrålingen og de undersøkte ruse/garnstasjonene et moderat lavt smittepress på vill laksefisk i Altafjordsystemet under utvandringen i 2018. Dataene indikerer videre en økning spesielt i den ytre delen av fjordsystemet utover sommeren. Lakselus har derfor sannsynligvis ikke hatt noen negativ effekt på den utvandrende laksen i Altafjordsystemet i 2018. Det er likevel sannsynlig at lakselus har hatt en effekt på beitende sjøørret og sjørøye i enkelte deler av produksjonsområdet utover sommeren.

5.13 - Finnmark øst (PO 13, Øst-Finnmark)

5.13.1 - Området

Produksjonsområde 13 dekker kystområdet fra Nordkinnhalvøya i vest til riksgrensen mot Russland i øst. Tanafjorden og Varangerfjorden er de to største fjordsystemene i dette produksjonsområdet. Det er 18 registrerte laksevassdrag i dette produksjonsområdet hvor av seks har status som nasjonale laksevassdrag. Samlet gytebestandsdmål (GBM) for laksevassdragene i produksjonsområdet er på vel 75 tonn hunnlaks med en teoretisk årlig produksjon på vel 1,1 millioner smolt. Sjøørret og sjørøye finnes også i store deler av produksjonsområdet og reproduserer i mindre vassdrag i tillegg til de nevnte lakseelvene. Det er generelt liten produksjon av laksefisk i sjø i området. Hele Tanafjorden, Kongsfjorden og Neidenfjorden/Bøkfjorden er nasjonale laksefjorder og derfor helt uten oppdrettsproduksjon. I 2018 var det 3 lokaliteter i drift i tidsrommet 1. april – 1. september. Samlet produksjon av luseegg fra oppdrettsanlegg i varierer mellom år og tid på året. Mer enn 15 millioner luseegg ble sluppet ut i mai og juli 2018 (figur 64). Spredningsmodellen for lakselus viser i veldig lav tetthet av kopepoditter i hele området både i begynnelsen og slutten av juli (figur 65).

I 2018 ble det gjennomført to perioder med undersøkelser av lakselusinfestasjon på sjøørret/sjørøye i dette produksjonsområdet (figur 66).

 

Figur 64. Produksjon av klekte luseegg fra oppdrettsanlegg i produksjonsområde 13. april-juli i perioden 2012-2018

 

 

Figur 65. Modellert tetthet av kopepoditter (summert over 14 dager) med opphav fra oppdrettsanlegg i PO 13. i perioden før og under gjennomføring av feltundersøkelser i 2018.

 

 

Figur 66. Ruse/garn stasjoner i produksjonsområde 13. 2018

 

5.13.2 - Ruse og garn

Tanafjord ble valgt som fast stasjon i dette produksjonsområdet og ble undersøkt i to adskilte perioder. I tillegg ble det gjort undersøkelser i Jarfjord, Bugøyfjord og Varangerbotn innenfor de samme periodene (figur 66). I Varangerbotn ble det imidlertid ikke undersøkt mer enn 3 sjøørret. Denne stasjonen blir derfor ikke vektlagt, og blir ekskludert fra videre tekst og figur.

I Tanafjord ble det i første periode (uke 28-29) funnet lus på 16 prosent av den undersøkte fisken. Gjennomsnittlig intensitet var på 1 lus, og det ble ikke funnet noen individer med mer enn 0,1 lus per gram kroppsvekt. I andre periode var prevalens i Tanafjord økt til 54 prosent med en gjennomsnittlig intensitet på 3 lus. Det ble heller ikke på dette tidspunktet funnet individer med mer enn 0,1 lus per gram kroppsvekt fra denne stasjonen (figur 67).

I Bugøyfjord ble prevalens i første periode (uke 28-29) beregnet til 39 prosent. Gjennomsnittlig intensitet var samtidig på 2 lus og det ble ikke funnet fisk med mer enn 0,1 lus per gram kroppsvekt. I andre periode (uke 31-32) var prevalens økt til 76 prosent, mens gjennomsnittlig intensitet samtidig var økt til 3 lus. Det ble fremdeles ikke funnet fisk med mer enn 0,1 lus per gram kroppsvekt fra Bugøyfjord i denne perioden (figur 67).

I Jarfjord lengst øst i produksjonsområdet ble det i første periode funnet lus på 71 prosent av de undersøkte individene. Gjennomsnittlig intensitet ble beregnet til 3 lus, og det ble ikke funnet noen individer med mer enn 0,1 lus per gram kroppsvekt. I andre periode (uke 31-32) var prevalens i Jarfjord økt til 97 prosent og med en gjennomsnittlig intensitet på 12 lus. En andel på 16 prosent ble funnet med mer enn 0,1 lus per gram kroppsvekt på dette tidspunktet (figur 67).

For detaljer se appendiks 1.

 

Figur 67. Antall lakselus (A), relativt antall lakselus (B) og stadiefordeling (C) fra sjøørret på stasjonene (øverst til nederst): Bugøyfjord, Jarfjord og Tanafjord.

 

Oppsummert indikerer data fra ruse/garnstasjonene et lavt smittepress under tidspunktet for utvandring av laks fra elvene i de undersøkte områdene. Videre indikerer oppfølgende runde et vedvarende lavt smittepress utover sommeren. Lakselus har derfor sannsynligvis ikke hatt noe negativ effekt hverken utvandrende laks eller beitende sjøørret og sjørøye i de undersøkte områdene i 2018.

6 - Oppsummering av lakselusinfestasjon på vill laksefisk 2018

6.1 - Kontrollområder (sør og nord)

På kontrollstasjonene i områdene uten nærliggende oppdrettsaktivitet (Sørlandet og Øst-Finnmark) ble det generelt funnet lite lakselus. Ved Sandnesfjord på Sørlandet varierte prevalens mellom 1 og 39 prosent, og det ble observert inntil 4 lakselus på en enkelt fisk. Det ble ikke observert mer enn 0,1 lus per gram kroppsvekt i dette området i 2018. Ved Flekkefjord, den vestligste stasjonen på Sørlandet, ble det imidlertid funnet noe mer lakselus på den undersøkte sjøørreten. I andre periode ble det ved denne stasjonen beregnet en prevalens på 97 og en andel med mer enn 0,1 lus per gram kroppsvekt på 42 prosent. Denne stasjonen er likevel en av de mest oppdrettseksponerte i produksjonsområdet. I Øst-Finnmark ble det funnet lite lakselus ved stasjonene i Tanafjorden, Bugøyfjord og første runde i Jarfjord. Andelen med mer enn 0,1 lus per gram kroppsvekt ble beregnet til null. Ved andre runde i Jarfjord ble det imidlertid funnet noe mer lus. Det ble på det meste registrert 27 lus på en enkelt fisk i Jarfjord på dette tidspunktet, og andelen med mer enn 0,1 lus per gram kroppsvekt var økt til 16 prosent. Spredningsmodellen for lakselus viste lav tetthet av kopepoditter i de aktuelle periodene både i nord og i sør. På Sørlandet var den høyeste tettheten likevel registrert i den vestligste delen av området. I Øst-Finnmark var det ingen økt tetthet av kopepoditter i modellen. Den observerte økningen i Jarfjord kan derfor være et resultat av naturlig lakselussmitte, men kan også komme fra oppdrettsanlegg på den Russiske siden av grensen. Dette vil per i dag ikke kunne fanges opp av spredningsmodellen for lakselus.

Oppsummert tydet resultatene fra kontrollstasjonene på at det naturlige nivået av lakselus på vill laksefisk var generelt langt lavere enn det som ble observert langs flere andre deler av norskekysten. Det vurderes derfor som ekstra viktig å følge den naturlige populasjonsdynamikken hos lakselus i områder uten nærliggende oppdrett av laksefisk

6.2 - Vestlandet

Ved et flertall av de undersøkte stasjonene på Vestlandet ble det funnet mye lakselus i 2018. I Rogaland var nivåene økt fra 2017, både på sjøørret og laks. I Hardangerfjordsystemet ble det observert høye luseverdier på postsmolt laks mot slutten av perioden, og det samme ble observert på sjøørret fra en rekke stasjoner i produksjonsområdet. I Nordhordland og Sogn ble det generelt funnet veldig mye lus på sjøørret, mens det på utvandrende postsmolt laks ble funnet en mye mindre enn i 2017. Spredningsmodellen indikerer en høy og generelt økende tetthet av kopepoditter gjennom den aktuelle perioden på store deler av Vestlandet. I den nordligste delen av Sogn er den modellerte tettheten imidlertid lavere.

Oppsummert tyder resultatene fra 2018 på at Vestlandet som område fremdeles har noen av de høyeste nivåer av lus på vill laksefisk. Sammenlignet med data fra 2017 virker det som om situasjonen er noe forverret for vill laksefisk i Rogaland, men den er noe bedre for utvandrende laksesmolt fra Sognefjorden. Sannsynligvis er utvandrende postsmolt laks og beitende sjøørret negativt påvirket av lakselus i store kystavsnitt på Vestlandet i 2018.

6.3 - Midt-Norge

Det ble funnet stor variasjon i lusepåslag på vill laksefisk i det området vi definerer som Midt-Norge. Det ble funnet lite lus på utvandrende laks i Romsdalsfjorden. Det ble også fanget en del mindre antall laks enn tidligere år. Ved Ørsta og Voldsfjord på Sunnmøre ble det funnet mye lakselus på sjøørret tidlig i perioden. Samtidig ble det funnet lite lakselus ved Sykkylven noe lengre inn i fjordsystemet. Utover i perioden ble det observert en generell økning i lusepåslaget på Sunnmøre, hvor også Sykkylven ble berørt. I Romsdalsfjorden ble det etter hvert funnet mye lakselus på stasjonene i Vatne og Frænfjord, men dette kom noe senere enn lengre sør i produksjonsområdet. I Trondheimsfjordsystemet ble det funnet lite lakselus på både utvandrende postsmolt laks og moderate mengder på sjøørret, spesielt i andre periode. I Namsen/Vikna systemet ble det tidlig funnet moderate mengder lakselus på sjøørret fra Sitter sør for utløpet til Namsenfjord. Dette økte utover mot andre periode hvor også sjøørret fra Namsenfjord og Vikna ble observert med mye lakselus. Spredningsmodellen fra Sunnmøre/Romsdal viser størst tetthet i den sørligste delen. I Trondheimsfjorden viser modellen spredte områder med økt tetthet av kopepoditter, mens det i Nord-Trøndelag først og fremst er området rundt Vikna hvor tettheten er størst.

Oppsummert tyder resultatene fra 2018 på at Midt-Norge hadde stor variasjon i nivåer av lakselus på vill laksefisk under perioden for smoltutvandring fra elvene. I Romsdalsfjordsystemet og Trondheimsfjordsystemet tyder det på at utvandrende laks er mindre berørt av lakselus. Lengst sør i Midt-Norge, og generelt utover sesongen øker både modellert tetthet og observerte påslag av lakselus, noe som sannsynligvis har påvirket vill laksefisk i de aktuelle områdene negativet.

6.4 - Nord-Norge

Ved de fleste undersøkte stasjoner i Nordland ble det funnet lite til moderate mengder lakselus på sjøørret. I Troms og Finnmark ble det generelt funnet lite lakselus, men det ble imidlertid observert en økning på enkelte stasjoner utover sommeren. Det ble også funnet lite lakselus på utvandrende postsmolt laks fra Altafjordsystemet. Spredningsmodellen for lakselus viser en generell lav tetthet av lakseluskopepoditter i det meste av Nord-Norge i den aktuelle perioden. Dette indikerer at postsmolt laks fra de fleste Nordnorske elver sannsynligvis kom seg ut uten negativ påvirkning fra lakselus i 2017.

Oppsummert tyder resultatene fra 2017 på at lakselus sannsynligvis har hatt liten negativ påvirkning for utvandrende laksesmolt i Nord-Norge. Økningen som observeres utover sommeren på noen plasser kan imidlertid tyde på at sjøørret og sjørøye fra de berørte områdene var utsatt for negativt påvirket under beiteperioden.

7 - Konklusjon

  • NALO-programmet fra 2017 hadde betydelig mer fokus på utvandrende postsmolt av laks enn tidligere år. Innsatsen på laks er opprettholdt i 2018 samtidig som innsatsen på sjøørret er økt noe ved å følge opp områdene utover beitesesongen. 

 

  • Utvandrende postsmolt av laks ble utsatt for et generelt høyt smittepress langs deler av Vestlandet i 2018. Som en følge av dette er det sannsynlig at postsmolt laks fra de berørte områdene ble negativt påvirket av lakselus i 2018.

 

  • Det ble observert en generell økning av lakselus på sjøørret/sjørøye utover sommeren på flere steder langs kysten. Som en følge av dette er det sannsynlig at beitende sjøørret/sjørøye i de berørte områdene ble utsatt for negativ påvirkning av lakselus langs flere deler av kysten i 2018.

 

  • I kontrollområdene i nord og sør ble det generelt funnet lite lakselus i 2018. Det ble imidlertid observert et noe høyere nivå helt øst i Finnmark og lengst vest på Sørlandet.  På Sørlandet kan dette forklares med kortere avstand til oppdrettsanlegg ved den nye stasjonen i Flekkefjord. I Nord-Norge kan dette enten skyldes naturlig populasjonsdynamikk i forholdet mellom parasitt og vert eller påvirkning fra oppdrettsanlegg på den russiske siden av grensen. Det blir derfor viktig å følge med på utviklingen i alle disse kontrollområder over tid.

 

  • Flere nasjonale laksefjorder ble undersøkt for lakselus i 2018. I noen av de undersøkte fjordene var det ingen tegn til økt påslag av lus på villfisk. I andre fjorder ble det derimot observert høye nivåer av lus på villfisk både tidlig og sent i sesongen. Dette gjelder spesielt små (Ørsta og Ølen/Etne) nasjonale laksefjorder.

 

  • Spredningsmodellen er et nyttig verktøy i forbindelse med overvåkingsprogrammet for lakselus. Tilgjengeliggjøringen av denne på nettsiden «lakselus.no» gjør det mye enklere for alle interesserte å bruke dette verktøyet. Eventuelt samsvar mellom modell og empiri blir gjort som egne vitenskapelige prosjekter. Vurderinger av modellen er derfor ikke tatt med denne rapporten.

 

8 - Referanser

Arechavala-Lopez, P., Uglem, I., Berg, M., Bjørn, P. A. & Finstad, B. (2016). Large-scale use of fish traps for monitoring sea trout (Salmo trutta) smolts and sea lice (Lepeophtheirus salmonis) infestations: efficiency and reliability. Marine Biology Research 12, 76-84.

Asplin, L., Johnsen, I. A., Sandvik, A. D., Albretsen, J., Sundfjord, V., Aure, J. & Boxaspen, K. K. (2014). Dispersion of salmon lice in the Hardangerfjord. Marine Biology Research 10, 216-225.

Bjørn, P. A., Finstad, B., Asplin, L., Skilbrei, O., Nilsen, R., Serra-Llinares, R. M. & Boxaspen, K. K. (2011). Metodeutvikling for overvåkning og telling av lakselus på viltlevende laksefisk. Rapport fra Havforskningen, nr. 8-2011. 58 s.

Bush, A. O., Lafferty, K. D., Lotz, J. M. & Shostak, A. W. (1997). Parasitology meets ecology on its own terms: Margolis et al. revisited. Journal of Parasitology 83, 575-583.

Efron, B. & Tibshirani, R. (1993). An introduction to the bootstrap: Chapman & Hall, London, U.K.

Holst, J. C. & McDonald, A. (2000). FISH-LIFT: a device for sampling live fish with trawls. Fisheries Research 48, 87-91.

Johnsen, I. A., Asplin, L. C., Sandvik, A. D. & Serra-Llinares, R. M. (2016). Salmon lice dispersion in a northern Norwegian fjord system and the impact of vertical movements. Aquaculture Environment Interactions 8, 99-116.

Johnsen, I. A., Fiksen, Ø., Sandvik, A. D. & Asplin, L. (2014). Vertical salmon lice behaviour as a response to environmental conditions and its influence on regional dispersion in a fjord system. Aquaculture Environment Interactions 5, 127-141.

Lindenmayer, D. B. & Likens, G. E. (2009). Adaptive monitoring: a new paradigm for long-term research and monitoring. Trends in Ecology & Evolution 24, 482-486.

Myksvoll MS, Sandvik AD, Albretsen J, Asplin L, Johnsen IA, Karlsen Ø, et al. (2018) Evaluation of a national operational salmon lice monitoring system—From physics to fish. PLoS ONE 13(7): e0201338. https://doi.org/10.1371/journal.pone.0201338

Nilsen, R., Bjørn, P. A., Serra-Llinares, R. M., Asplin, L., Johnsen, I. A., Skulstad, O. F., Karlsen, Ø., Finstad, B., Berg, M., Uglem, I., Barlaup, B. & Vollset, K. W. (2014). Sluttrapport til Mattilsynet - Lakselusinfeksjonen på vill laksefisk langs norskekysten i 2014. Rapport fra Havforskningen, Nr. 36-2014.

Nilsen, R., Bjørn, P. A., Serra-Llinares, R. M., Asplin, L., Sandvik, A. D., Johnsen, I. A., Karlsen, Ø., Finstad, B., Berg, M., Uglem, I., Barlaup, B., Vollset, K. W. & Lehmann, G. B. (2016). Lakselusinfeksjonen på vill laksefisk langs norskekysten i 2015. En fullskala test av modellbasert varsling og tilstandsbekreftelse. Rapport fra Havforskningen, Nr. 2-2016, 55 s.

Rozsa, L., Reiczigen, J. & Majoros, G. (2000). Quantifying parasites in samples of host. Journal of Parasitology 86, 228-232.

Sandvik, A. D., Bjørn, Pål A., Ådlandsvik, B., Asplin, L., Skarðhamar, J., Johnsen, I. A., Myksvoll, M. S. & Skogen, M. D. (2016). Toward a model-based prediction system for salmon lice infestation pressure. Aquaculture Environment Interactions 8, 527-542.

Schram, T. A., Knutsen, J. A., Heuch, P. A. & Mo, T. A. (1998). Seasonal occurrence of Lepeophtheirus salmonis and Caligus elongatus (Copepoda: Caligidae) on sea trout (Salmo trutta), off southern Norway. ICES Journal of Marine Science 55, 163-175.

Svåsand, T., Boxaspen, K. K., Karlsen, Ø., Kvamme, B. O., Stien, L. H. & Taranger, G. L. (2015). Risikovurdering norsk fiskeoppdrett 2014. Fisken og Havet, særnummer 2-2015, 172 s.

Svåsand, T., Karlsen, Ø., Kvamme, B. O., Stien, L. H., Taranger, G. L. & Boxaspen, K. K. (2016). Risikovurdering norsk fiskeoppdrett 2016. Fisken og Havet, særnummer 2-2016, 190 s.

Taranger, G. L., Karlsen, Ø., Bannister, R. J., Glover, K. A., Husa, V., Karlsbakk, E., Kvamme, B. O., Boxaspen, K. K., Bjørn, P. A., Finstad, B., Madhun, A. S., Morton, H. C. & Svåsand, T. (2015). Risk assessment of the environmental impact of Norwegian Atlantic salmon farming. ICES Journal of Marine Science 72, 997-1021.

Taranger, G. L., Svåsand, T., Bjørn, P. A., Jansen, P. A., Heuch, P. A., Grøntvedt, R. N., Asplin, L., Skilbrei, O. T., Glover, K. A., Skaala, Ø., Wennevik, V. & Boxaspen, K. K. (2012a). Forslag til førstegangs målemetode for miljøeffekt (effektindikatorer) med hensyn til genetisk påvirkning fra oppdrettslaks til villaks, og påvirkning av lakselus fra oppdrett på viltlevende laksefiskbestander. Fisken og Havet 13-2012, Veterinærinstituttets rapportserie Nr. 7-2012.

Taranger, G. L., Svåsand, T., Kvamme, B. O., Kristiansen, T. S. & Boxaspen, K. K. (2012b). Risikovurdering norsk fiskeoppdrett. Fisken og havet, Særnummer 2-2012. 131 s.

Taranger, G. L., Svåsand, T., Kvamme, B. O., Kristiansen, T. S. & Boxaspen, K. K. (2013). Risikovurdering norsk fiskeoppdrett 2012. Fisken og Havet, særnummer 2-2013, 164 s.

Taranger, G. L., Svåsand, T., Kvamme, B. O., Kristiansen, T. S. & Boxaspen, K. (2014). Risikovurdering norsk fiskeoppdrett 2013. Fisken og havet, Særnummer 2-2014.

9 - Appendiks

9.1 - Appendiks 1–2

Detaljerte fangst- og infeksjonsparametere for garn-/rusefiske og tråling presenteres i tabellene appendiks 1 - 2.

Appendiks 1 refererer til garn- og rusefangst av sjøørret og sjørøye på de aktuelle lokalitetene langs kysten. Område og Lokalitet viser til undersøkelsesområde og stasjon (se kart i hovedrapport). Periode viser til undersøkelsesperiode 1 eller 2. Uke viser når (cirka tidsperiode) den aktuelle stasjonen ble undersøkt. N er antall undersøkte individer. Vekt er målt i gram og oppgitt med minste og største registrering i parentes (range). Prev er prevalens, som er en beregning av andelen (%) av populasjonen som er registrert med én eller flere lakselus. I det blå feltet er de videre beregningene kun utført på individer med lakselus. Snitt er gjennomsnittlig intensitet, som er et mål på hvor mange lakselus den infiserte andelen av populasjonen hadde i snitt. Beregnet 95 % konfidensintervall er oppgitt i klammer bak. Median er en middelverdi når lusetall fra infisert fisk er rangert fra lavest til høyest. Median er også oppgitt med beregnet 95 % konfidensintervall i klammer bak. IQR er interquartile range som angir distansen mellom 25 og 75-kvartilen i en medianfordeling. Min og Maks angir laveste og høyeste registrerte antall lakselus på infisert fisk. V/X er varians dividert med gjennomsnitt og benyttes for å beskrive avvik fra normalfordelingen i datamaterialet.

Relativ intensitet er antall lakselus per gram kroppsvekt hos fisken og er oppgitt som Median med beregnet 95 % konfidensintervall i klammer. IQR, Min og Maks er også oppgitt for relativ intensitet. Helt til høyre er andelen med mer enn 0,1 lus per gram kroppsvekt (% over 0,1 rel. int.) oppgitt for hele det undersøkte materialet (inkludert fisk uten lakselus), med beregnet 95 % konfidensintervall i klammer.

Appendiks 2. refererer til trålfangst av utvandrende laksesmolt i ytre Hardangerfjord. Uke viser når laksen ble fanget. N viser hvor mange individer som ble fanget og undersøkt i hver uke. Vekt er målt i gram og oppgitt med minste og største registrering i parentes (range). Prev er prevalens, som er en beregning av andelen (%) av populasjonen som er registrert med én eller flere lakselus. I det blå feltet er de videre beregningene kun utført på individer med lakselus. Intensitet snitt er gjennomsnittlig antall lakselus på den infiserte andelen av populasjonen Beregnet 95 % konfidensintervall er oppgitt i klammer bak. Intensitet Min og Maks angir laveste og høyeste registrerte antall lakselus på infisert fisk. % over 0,1 rel. Int angir andelen med mer enn 0,1 lus per gram kroppsvekt oppgitt for hele det undersøkte materialet (inkludert fisk uten lakselus), med beregnet 95 % konfidensintervall i klammer. Helt til høyre (% > 10 lus ) er andelen fisk som er målt med med mer enn 10 lakselus per individ.

Appendiks 1

 

 

Appendiks 1 fortsettelse

 

 

Appendiks 2