Salmon lice infestation on wild salmonids in Norway in 2019
The Norwegian surveillance program for salmon lice on wild salmonides (NALO) was carried out in 2019 on behalf of the Norwegian Food Safety Authority (Mattilsynet). Efforts were increased on migrating post smolt salmon compared to previous years. At the same time, efforts on sea trout / sea charr became more concentrated around the time of expected smolt migration. Surveys have been conducted with one or more methods in all 13 coastal production areas for aquaculture.
The field work in NALO started April 29 in southern Norway and was completed August 4 in Finnmark. Four weeks of pelagic trawling was performed after migrating post smolt salmon in respectively Rogaland, Hardanger, Sogn og Fjordane, Møre og Romsdal, Trøndelag and the Altafjord in Finnmark. In 2019, an attempt was also made to catch post smolt salmon with pelagic fyke nets at some stations. Use of fyke nets and gillnets for catching sea trout / sea char are mainly carried out for a period of three consecutive weeks at stations along the entire coast. The field effort was carried out shortly after the expected date of migration of smolt in the area and aimed to survey the contagion pressure of salmon lice during this time. At some stations, extended surveys were also conducted both in the time before and after the period of smolt migration. In addition, sentinel cages were used for one or more periods in several of the same fjord systems that were investigated with trawling.
In 2019, lagre differences, both temporal and spatial were found in the observation of salmon lice on wild salmonides. The highest infestation levels was observed in the area from western Norway to Trøndelag. In southern and northern Norway the infestation levels were generally lower, although there was also some local variation in these areas.
The results are presented with maps, tables and figures for each of the 13 production areas from south to north. In addition, more detailed results are given in tables in a separate appendix to the report. The established limit for initial negative physiological effect from salmon lice is 0.1 lice per gram of body weight and is illustrated in most figures.In the summary, a comprehensive assessment of the lice situation on wild salmonids along the entire coast was made in both 2019 and in a slightly longer perspective. Assessment of the risk of wild salmonids is not done in this report. The terms small, moderate and high are used to illustrate differences in time and space and are therefore not defined quantitatively in this report. The results are shown for each of the 13 production areas, while the summary is more general.
Sammendrag
Overvåkingsprogrammet for lakselus på vill laksefisk (NALO) ble i 2019 gjennomført på oppdrag fra Mattilsynet. Innsatsen ble noe økt på utvandrende postsmolt laks sammenlignet med tidligere år. Samtidig ble innsatsen på sjøørret/sjørøye mer konsentrert rundt tidspunktet for forventet smoltutvandring. Det er gjort undersøkelser med én eller flere metoder i samtlige 13 produksjonsområder langs kysten.
Feltarbeidet i NALO startet 29. april i Sør-Norge og ble avsluttet 4. august i Finnmark. I ca. fire uker ble det utført pelagisk tråling etter utvandrende postsmolt laks i henholdsvis; Rogaland, Hardanger, Sogn og Fjordane, Møre og Romsdal, Trøndelag og Altafjorden i Finnmark. I 2019 ble det også forsøkt fanget postsmolt laks med ruser ved enkelte stasjoner. Ruse/garnfangst av sjøørret/sjørøye ble hovedsakelig gjennomført i en perioder på tre sammenhengende uker på en rekke stasjoner langs hele kysten. Fangsten ble gjennomført kort tid etter forventet utvandringstidspunkt for smolt i området, og hadde som mål å kartlegge smittepresset av lakselus i dette tidsrommet. Ved noen stasjoner ble det også gjennomført en utvidet undersøkelse både i tiden før og etter perioden for smoltutvandring. Det ble i tillegg benyttet vaktbur i en eller flere perioder i flere av de samme fjordsystemene som ble undersøkt med tråling.
I 2019 ble det funnet store forskjeller i de observerte påslagene av lakselus på vill laksefisk i både tid og rom. De største påslagene ble observert i området fra Vestlandet til Trøndelag. På Sørlandet og i Nord-Norge var påslagene generelt mindre selv om det det også var en del lokal variasjon i disse områdene.
Resultatene er presentert med kart, tabeller og figurer for de 13 produksjonsområder fra sør til nord. I tillegg er mer detaljerte resultater oppgitt i tabeller i et eget appendiks til rapporten. Den etablerte grensen for begynnende negativ fysiologisk effekt fra lakselus er på 0,1 lus per gram kroppsvekt, og er illustrert i de fleste figurer. I oppsummeringen er det gjort en helhetlig vurdering av lusesituasjonene på vill laksefisk langs hele kysten både i 2019 og i et litt lengre perspektiv. Det er ikke gjort noen forsøk på vurdering risiko for vill laksefisk i denne rapporten. Begrepene lite, moderat og mye benyttes for å illustrere forskjeller i tid og rom og er derfor ikke definert kvantitativt i denne rapporten. Resultatene er vist for hvert av de 13 produksjonsområdene, mens oppsummeringen er mer generell.
1 - Mål
Havforskningsinstituttet (HI) har på oppdrag fra Mattilsynet (MT) og Nærings- og fiskeridepartementet (NFD) ansvaret for å koordinere overvåking, forskning og rådgivning vedrørende lakselusinfestasjon på vill laksefisk langs norskekysten. Dette gjøres for å skaffe datagrunnlag til rådgivning i forbindelse med vurdering av bærekraft for havbruksnæringen (produksjonssoneforskriften), for å evaluere effekten av forvaltningstiltak som nasjonale laksefjorder og andre relevante problemstillinger i forbindelse med lakselus på vill laksefisk. Overvåkingsprogrammet for lakselus på vill laksefisk 2019 følger opp anbefalingene i rapporten” Forslag til førstegenerasjons målemetoder for miljøeffekt (effektindikatorer) med hensyn til genetisk påvirkning fra oppdrettslaks til villaks, og påvirkning av lakselus fra oppdrett på viltlevende laksefiskbestander” (Taranger mfl., 2012a).
2 - Innledning
Siden 2012 har det nasjonale overvåkingsprogrammet for lakselus på vill laksefisk (NALO) vært under kontinuerlig utvikling basert på anbefalingene i «indikatorrapporten» (Taranger mfl., 2012a), samt andre relevante forsknings- og rådgivningsoppgaver. Feltinnsatsen har i denne perioden blitt betydelig styrket, og det har blitt lagt mer vekt på økt systemforståelse (hydrografi og oppdrettsdata m.m.). Infestasjonsdata fra villfisk har i stadig større grad blitt koblet opp mot hydrodynamiske spredningsmodeller for lakselus (Taranger mfl., 2012b; 2013; 2014; 2015; Nilsen mfl., 2014; 2016; Svåsand mfl., 2015; 2016). Dette blir gjort som et ledd i å gradvis erstatte fysisk overvåkning med modeller.
Spredningsmodellen, som er basert på at rapporterte luseverdier og biomassetall fra oppdrett benyttes som kildedata, gir informasjon om risikoen for smitte av lakselus på vill laksefisk. Dette muliggjør en risikobasert adaptiv overvåking i tråd med Lindenmayer & Likens (2009), og vil imøtekomme noen av utfordringene vi ser med en tradisjonell fysisk overvåking av hele norskekysten.
I 2014 ble systemet med risikobasert overvåking testet i ett av områdene i NALO-programmet. Dette ble gjort ved at mengden infektive kopepoditter beregnet med spredningsmodellen for lakselus ble lagt til grunn for valg av hvilke lokaliteter som skulle undersøkes. Tilstandsbekreftelsen fra de undersøkte lokalitetene viste samsvar med forventningene fra spredningsmodellen (Nilsen mfl., 2014). Systemet med risikobasert overvåking ble derfor videreført som en fullskala test i 2015 hvorpå resultater fra alle undersøkte stasjoner i NALO-programmet ble vurdert i lys av modellert tetthet av kopepoditter i tiden like før (Nilsen mfl. 2016). De siste årene har modellen i stor grad vært benyttet som et verktøy for å varsle om tilfeller med spesielt høyt smittepress i kritiske perioder for villfisk (Nilsen mfl., 2017; 2018; 2019).
I løpet av de siste årene har det blitt gjort betydelige fremskritt i arbeidet med å koble modellresultater med reelle smittetall på vill laksefisk (Asplin mfl., 2014; Johnsen mfl., 2014; Johnsen mfl., 2016; Sandvik mfl., 2016 og Myksvoll mfl. 2018). På tross av dette bør likevel metodikken med tradisjonell fysisk overvåking opprettholdes parallelt med modellbasert overvåking over en tidsperiode. Samtidig er det hensiktsmessig å bruke feltinnsatsen i NALO-programmet til ytterligere å studere sammenhengen mellom modell og empiri på det store antallet stasjoner som undersøkes langs kysten. Av hensyn til flerårige tidsserier var målet i 2019 å undersøke flest faste stasjoner, men samtidig ha fleksibilitet til å også kunne undersøke stasjoner valgt ut på bakgrunn av resultater fra modellen. I datainnsamlingsperioden ble stasjoner og tidsperioder justert gjennom dialog med aktuelt feltpersonell og prosjektledelse og ved hjelp av den nettbaserte tilgangen til spredningsmodellen (http://www.laksleus.no). Det ble lagt vekt på å undersøke stasjoner med ulikt nivå av forventet luseinfestasjon på villfisken.
I 2019 var tidsperiodene for datainnsamling på postsmolt laks omtrent uendret fra 2018. Det ble likevel forsøkt å dekke flere områder, og et ekstra fartøy ble satt inn til tråling i Trondheimsfjorden. For sjøørret og sjørøye ble antall undersøkte stasjoner holdt på omtrent samme nivå som i 2018, men feltinnsatsen ble med få unntak konsentrert til tiden like etter forventet smoltutvandring fra elvene i området. Dette er noe redusert innsats sammenlignet med tidligere år hvor det vanligvis ble gjennomført to runder med feltarbeid i mange områder. Undersøkelser med vaktbur ble opprettholdt i flere fjordsystemer på Vestlandet og i Namsenfjorden/Vikna. Det ble gjennomført 1-2 runder med vaktbur på to uker hver.
Ekspertgruppen for Trafikklyssystemet vil i løpet av høsten 2019 levere en generell vurdering av bærekraften i de ulike produksjonsområdene. Data fra NALO-programmet er viktige bidrag i denne prosessen. På grunn av dette vil vi i mindre grad enn tidligere år komme med foreløpige vurderinger av forventet effekt fra lakselus på vill laksefisk i denne rapporten. Resultatene blir presentert med mindre tekst og beskrivelser enn i tidligere år. likevel blir det gjort en generell oppsummering i siste del av rapporten hvor resultatene sees i et større perspektiv og hvor en forsøker å belyse eventuelle trender i observasjonene. Prosessen med å koble modellresultater og påslag av lakselus hos villfisk er under rask utvikling. Det blir derfor heller ikke bli gjort foreløpige vurderinger av samsvar mellom modell og empiri slik det har vært presentert i tidligere rapporter. En slik vurdering blir gjort som egne vitenskapelige arbeider hvor blant annet data fra overvåkingsprogrammet blir inkludert. Det er likevel mulig å vurdere data som presenteres her med data fra spredningsmodell for samtlige områder og perioder på nettsiden lakselus.no. Analyser og beregninger av dose (smittepress) og respons (infeksjonsbelastning) på villfisk blir presentert i Havforskningsinstituttets risikovurdering av norsk fiskeoppdrett og i mer spesifikke vitenskapelige artikler i tiden fremover (Sandvik mfl., 2016 og Myksvoll mfl., 2018).
Overvåkingen ble i 2019 gjennomført i samarbeid med Norsk institutt for naturforskning (NINA) og NORCE Norwegian Research Centre AS. Den utvidede undersøkelsen i Romsdal var delfinansiert av Møre og Romsdal fylkeskommune og Miljødirektoratet. Feltarbeidet i overvåkingsprogrammet ble utført fra slutten av april til midten av august.
Data fra de ulike metodene i NALO-programmet blir presentert kronologisk for hvert produksjonsområde (1-13) fra sør til nord langs kysten. Resultatene for lakseluspåslag illustreres i figurer og tabeller. Kartene for hvert produksjonsområde viser omtrentlig område for postsmolttråling, vaktbur og undersøkte stasjoner for ruse/garnfangst av sjøørret og sjørøye. Tabeller og figurer i teksten oppsummerer, antall fisk, antall lus, fordeling mellom fastsittende og bevegelige stadier og relativ infestasjonsgrad for hver undersøkt stasjon. Tabellene i appendiks viser mer detaljerte fiskedata (lokalitet, uke, antall fisk og vekt), infestasjonsdata (prevalens, gjennomsnitt intensitet og median intensitet samt minimums- og maksimumsverdier) og i tillegget også beregninger på relativt antall lus (median, minimums- og maksimumsverdier og andel fisk med mer enn 0,1 lus per gram fiskevekt). Eksperimentelle forsøk tyder på at ca. 0,1 lus per gram fiskevekt kan påføre laksefisk begynnende fysiologiske problemer (Bjørn mfl., 2011). Vi har derfor valgt å illustrere denne grensen i figurene.
I henhold til avtale med oppdragsgiver (MT) er denne sluttrapporten kortfattet og med hovedvekt på presentasjon av lusedata på villfisk. Data fra NALO programmet i 2019 blir benyttet videre direkte inn mot trafikklyssystemet, risikorapport for fiskeoppdrett og andre relevante forskningsprosjekter.
Figur 1. Områder og omtrentlige posisjoner for de ulike metodene i overvåkingsprogrammet for lakselus på vill laksefisk i 2019
3 - Metoder
3.1 - Operasjonell modellovervåking
Spredningsmodellen for lakselus kjøres ukentlig gjennom hele året, og er tilgjengelig for alle på HIs nettsider (lakselus.no). Utviklingen i modellert tetthet av infektive kopepoditter følges tett i forkant av, under og etter gjennomført feltarbeid. Modellen er nyttig verktøy da den gir en god generell oversikt over lusesituasjonen langs kysten også på steder og tidspunkter som ikke blir fysisk overvåket.
Spredningsmodellen for frittlevende stadier av lakselus kombinerer data om utslipp av nauplielarver fra oppdrettsanlegg (antall voksne hunnlus, antall fisk og sjøtemperatur) med hydrodynamiske modeller som beskriver vannstrømmer, temperatur og saltholdighet. I tillegg benyttes informasjon om luselarvenes utviklingstid, vertikale adferd og forventet dødelighet.
Resultatet fra spredningsmodellen er timesverdier av posisjonen og alder til alle lakselus produsert ved operative oppdrettsanlegg. Videre viser modellen tettheten av infektive kopepoditter, dvs. de som er i stand til å sette seg på fisk, da det sannsynligvis er representativt for det smittepresset fisk i området vil oppleve. Lakselusene har da fulgt strømmen i 5–10 dager før de når det infektive stadiet, og kan i løpet av denne tiden potensielt ha blitt transportert mange km bort fra den opprinnelige utslippsposisjonen (Asplin mfl., 2014). Hvor lang denne transporten er avhenger av de hydrografiske forholdene og den temperaturstyrte utviklingen lakselusa har hatt til det infektive kopepodittstadiet. Typisk vil lakselus i nord og om våren oppleve lavere temperatur enn i sør og om sommeren, og dermed bruke lenger tid på å utvikle seg til smittsom kopepoditt. Denne tidsdifferansen i utvikling medfører potensielt en lengre transport bort fra utslippspunktet, men også større dødelighet før den når det infektive kopepodittstadiet.
For å gi et mer gjennomsnittlig bilde av lusepresset er timesverdiene fra modellen summert over 10 dager. Når modellen kjøres ukentlig med oppdatert informasjon om utslipp vil den kunne indikere områder med relativt høy tetthet av kopepoditter (figur 2).
Figur 2. Resultater fra den hydrodynamiske spredningsmodellen for lakselus. Figuren viser tetthet av kopepoditter på en skala fra 0-1 (antall per kvadratmeter), summert over perioden som står i tittelen. Fargene kan ikke direkte overføres til effekt på vill laksefisk.
Tidligere år (2015-2017) ble modellen brukt mer direkte til valg av stasjoner for overvåking av lusepåslag på villfisk. Fra 2018 ble dette noe redusert til fordel for mer forhåndsbestemte stasjoner, men nettutgaven av modellen gjorde det fremdeles mulig for alle involverte i overvåkingsprogrammet å følge med i utviklingen. Dette kunne blant annet benyttes når prioriteringer i de aktuelle områder og tidsperioder måtte gjøres i felt.
3.2 - Feltarbeid
Både under forberedelser og gjennomføring av feltarbeid ved overvåkingsprogrammet er det lagt stor vekt på å ivareta datakvalitet. Metodene i NALO-programmet har blitt betydelig forbedret i løpet av de siste årene. For å kunne dokumentere høy kvalitet på lusetellinger på villfisk er det innført krav om bestått kurs i identifikasjon av lakselus (og forvekslingsarter) for alle aktuelle deltakere. Kurset har både praktisk og teoretisk eksamen. I tillegg er det gjennomført flere feltkurs og runder med opplæring for å sikre standardisering av feltmetodikk (valg av fiskeplass, fangst, håndtering, lusetelling og andre registreringer).
Som tidligere år utgjør lusetellinger på ruse- og garnfanget ørret og røye fremdeles hovedtyngden av feltinnsamlingen i NALO-programmet. Vi har som mål at all fisk som undersøkes skal settes levende tilbake i sjøen etter endt lusetelling. For å imøtekomme dette brukes sjøørretruser ved hver stasjon, da de er det foreløpig beste redskapet vi disponerer til levendefangst. Ved behov suppleres likevel fangstene med tradisjonelle flytegarn. Lusetelling på garnfanget fisk gjøres umiddelbart etter fangst for å forhindre tap av lus.
Alle feltteam ble i 2019 utstyrt med sjøørretruser med pelagisk ledegarn som ble satt på aktuelle fiskeplasser ved stasjonene. Rusene fanger all fisk levende i et fangstkammer ca. 30-50 meter fra strandlinjen og på ca. 1-2 meters dyp. Rusene blir sjekket minimum en gang i døgnet, ved store fangster oftere. Eventuell laksefisk blir skånsomt løftet ut av fangstkammer og over i et oppbevaringskar i båten ved hjelp av en finmasket håv. Deretter blir fisken bedøvd med Benzokain (200 mg/ml) hvorpå lusetelling og annen registrering gjennomføres før fisken legges til oppvåkning i et annet kar. Lusetellingene foregår i en hvit plastbakke med vann i og under kraftig lys. All fisk settes tilbake ved strandsonen på fiskeplassen etter registrering. Tidligere merkeforsøk viser at andel gjenfangst i rusene normalt ligger på under 5 prosent (Arechavala-Lopez mfl., 2016). Dette betyr at vi risikerer å registrere enkelte fisk mer enn en gang i løpet av perioden. Dette kunne imidlertid vært unngått hvis hver fisk ble merket ved rusefangst. Vi har likevel valgt å ikke merke all fisk i overvåkingsprogrammet da dette fordrer betydelig merarbeid for feltteamene og en ekstra belastning for ørretpopulasjonene. Eventuelle feil på grunn av dobbelttellinger av samme individ er vurdert som ubetydelige i denne sammenhengen.
Ved garnfiske blir et antall flytegarn (16-26 millimeter maskevidde) satt fra strandsonen og ca. 30 meter ut i fjorden i det aktuelle fiskeområdet. Garnene blir kontinuerlig røktet gjennom hele fiskeperioden for å redusere sannsynligheten for at fisk dør i garnene og lus faller/hopper av. All garnfangst av sjøørret/røye blir skånsomt klippet løs, avlivet og overført til en hvit plastbakke med vann for lusetelling. Etter lusetelling blir garnfanget fisk oppbevart i separate merkede plastposer for videre prøvetaking etter endt fiske.
Oppdatert feltinstruks for minimum antall undersøkt fisk per lokalitet ble utarbeidet på bakgrunn av analyser av tidligere års overvåkingsdata. Analysene viste hvor mange fisk som bør undersøkes på hver lokalitet for at de skulle representere situasjonen hos villfisk med tilstrekkelig høy sannsynlighet. I 2019 ble det anbefalt å undersøke minst 40 fisk per runde per stasjon.
Utvandrende postsmolt av laks ble i 2019 hovedsakelig fanget med pelagisk trål i ytre deler av flere større fjordsystemer. I tillegg ble det også forsøkt å fange noe laks med spesialtilpassede ruser på enkelte stasjoner. Fangst av laks i ruser ble behandlet på samme måte som garnfanget fisk som ble avlivet før prøvetakning og lusetelling. I trålen ble postsmolten fanget levende med en spesialbygget pelagisk trål (fish-lift, Holst & McDonald, 2000), og lusepåslag og andre parametere ble registrert umiddelbart etter fangst og med samme metode som for garn- og rusefanget fisk. All trålfanget laksesmolt ble avlivet og frosset ned for ytterligere prøvetakning ved laboratorier etter endt feltarbeid.
Vaktbur med oppdrettsfisk ble i tillegg benyttet som en alternativ metode for å måle smittepress på spesifikke stasjoner i bestemte tidsperioder. Et antall vaktbur ble satt ut i fire fjordsystemer. I hvert bur ble det plassert 30 fisk i ca. 14 dager. Hvert bur er på ca. 1 kubikkmeter og består av to plastringer som er dekket med knuteløst 14 mm nett, og er plassert 1-2 meter under overflaten. Når burene tømmes blir lusetelling gjennomført umiddelbart etter avlivning. Det blir brukt samme metodikk som ved telling på vill laksefisk med kraftig lys og med fisken liggende i vann i et hvitt kar.
3.3 - Databehandling og presentasjon
I denne rapporten er alle infeksjonsparametere beregnet og beskrevet etter anbefalinger fra (Rozsa mfl., 2000) for presentasjon av kvantitative parasittologiske data.
Siden 2015 er standardavvik byttet ut med maks/min når fiskens vekt beskrives i tabeller. Dette gir en enklere oversikt over størrelsessammensetningen på undersøkte fisk fra hver lokalitet. Videre er alle infeksjonsparametere (prevalens, intensitet, median etc.) oppgitt med 95 % konfidensintervall. Konfidensintervall for prevalens (andel av fisken som har lus) er beregnet basert på binomisk fordeling (Bush mfl., 1997). Intensitet (gjennomsnittlig antall lus på fisken som har lus) med konfidensintervall er beregnet med BCa (bias-corrected and accelerated) bootstrap som anbefalt av Efron & Tibshirani (1993), mens median er oppgitt med distribusjonsfritt konfidensintervall.
Alle data i denne rapporten blir presentert med figurer og tabeller i påfølgende resultatkapittel. I tabellene blir antall fisk, prevalens, gjennomsnittlig intensitet og prosentandel med mer enn 0,1 lus per gram kroppsvekt presentert. Prevalens er definert som andelen av det undersøkte materialet som blir funnet med en eller flere lakselus og oppgis i prosent. Gjennomsnittlig intensitet er gjennomsnittlig antall lakselus på den andelen av materialet hvor lakselus ble registrert. Gjennomsnittlig intensitet oppgis som et desimaltall i tabellene. Konfidensintervall er oppgitt i klammer bak verdiene i tabellene. I figurene benyttes hovedsakelig boksplott som viser medianfordelingen av lakselus på de ulike stasjoner og uker. For å visualisere fordelingen av verdiene langs y-aksen er disse merket som mørke dotter. Figurene viser medianfordeling av alle lus, av fastsittende og bevegelige stadier og medianfordeling av relativ mengde lakselus (antall lus/gram). I tillegg blir flere detaljer presentert i en egen tabell som et appendiks bak i rapporten.
4 - Resultater
4.1 - Sørlandet (PO 1, Svenskegrensen – Jæren)
4.1.1 - Området
Produksjonsområde 1 strekker seg fra Svenskegrensen i øst til Jæren på Sør-Vestlandet. Det er registrert 38 lakseførende vassdrag i dette området, hvor av seks har status som nasjonale laksevassdrag. Samlet gytebestansdmål (GBM) for disse vassdragene er nesten 50 tonn hunnlaks som gir en teoretisk årlig produksjon på mer enn 2,1 millioner smolt (Nilsen mfl. 2017). Sjøørret er tallrik i hele produksjonsområdet og reproduserer i en rekke mindre vassdrag i tillegg til de nevnte lakseelvene. Det er generelt lite oppdrett av laksefisk i sjø i dette produksjonsområdet. I 2019 var det 6 lokaliteter i drift under overvåkingsperioden, mens store områder er helt uten oppdrettsvirksomhet. Samlet produksjon av luseegg fra oppdrettsanlegg i dette området er derfor generelt lavt med en månedsproduksjon på under 0,5 milliarder egg i juni (figur 3).
Figur 3. Produksjon av klekte luseegg fra oppdrettsanlegg i produksjonsområde 1. april-juli i perioden 2012-2019.
I 2019 ble det gjennomført undersøkelser av lakselusinfestasjon på sjøørret i en periode på 3 uker i dette produksjonsområdet. Det ble ikke gjort undersøkelser på postsmolt laks, eller med vaktbur.
Figur 4. Områder for overvåking i produksjonsområde 1. Røde sirkler angir posisjoner for undersøkelser med ruser og garn. Grønne områder er nasjonale laksefjorder
4.1.2 - Ruse og garn
Sandnesfjord i Aust-Agder ble valgt som fast stasjon i produksjonsområdet på Sørlandet, og har tidligere vært undersøkt gjennom flere år i overvåkingsprogrammet som en sørlig referanse i et område uten nærliggende oppdrett av laksefisk. I tillegg ble stasjonen i Flekkefjord lengre vest i produksjonsområdet undersøkt i midten av perioden (figur 4). Undersøkelsene ble gjort i uke 20 – 22.
Tabell 1. Infestasjon av lakselus på sjøørret i PO 1. n angir antall undersøkte fisk i hver uke. Prevalens viser hvor stor andel av de undersøkte fiskene som ble funnet med en eller flere lakselus og oppgis i prosent. 95 % konfidensintervall er oppgitt i klammer bak. Intensitet angir gjennomsnittlig antall lakselus på den andelen av materialet som ble funnet med lus med 95 % konfidensintervall i klammer bak. % > 0,1 lus/ g viser andelen av det undersøkte materialet hvor infestasjonen var høyere enn 0,1 lus per gram kroppsvekt. 95 % konfidensintervall er oppgitt i klammer bak.
Stasjon
Uke
n
Prevalens
Intensitet
% > 0,1 lus/g
[95%KI]
[95%KI]
[95%KI]
Sandnesfjord
20
50
2 [0-10]
1 [1-1]
0 [0-7]
22
43
5 [1-15]
1 [1-1]
0 [0-8]
Flekkefjord
21
36
89 [75-96]
13 [9-19]
53 [37-68]
Figur 5. Antall lakselus (A), antall lakselus fordelt på fastsittende og bevegelige stadier (B) og relativt antall lus (antall lus/gram kroppsvekt) (C) fra sjøørret på stasjonene Sandnesfjord (øverst) og Flekkefjord (nederst).
4.2 - Rogaland (PO 2, Ryfylke)
4.2.1 - Området
Produksjonsområde 2 strekker seg fra Jæren til Haugesund på Sør-Vestlandet og dekker hovedsakelig Boknafjorden med tilstøtende fjordsystemer. Det er registrert 18 lakseførende vassdrag i dette området, hvorav to har status som nasjonale laksevassdrag. Samlet gytebestansdmål (GBM) for disse vassdragene er nesten 9 tonn hunnlaks som gir en teoretisk årlig produksjon på mer enn 437 000 smolt (Nilsen mfl. 2017). Sjøørret er tallrik i store deler av produksjonsområdet og reproduserer i mindre vassdrag i tillegg til de nevnte lakseelvene. Det er generelt høy oppdrettsproduksjon av laksefisk i sjø i Boknafjordsystemet, mens Sandsfjorden og området sørvest for Stavanger er helt uten oppdrettsvirksomhet (Nasjonale laksefjorder). I perioden for overvåkingen i 2019 var det 38 lokaliteter i drift i PO 2. Samlet produksjon av luseegg fra oppdrettsanlegg var flere ganger høyere enn i PO 1, med en månedsproduksjon på mer enn 3 milliarder egg i juni 2019 som videre økte til mer enn 9 milliarder i juli samme år (figur 6).
Figur 6. Produksjon av klekte luseegg fra oppdrettsanlegg i produksjonsområde 2. april-juli i perioden 2012-2019
I 2019 ble det gjennomført postsmolttråling etter laks i 4 uker samt to uker med lakseruse innenfor samme tidsrom. Deretter ble det gjort undersøkelser på ruse/garnfanget sjøørret over en tidsperiode på tre uker. I tillegg ble det gjennomført en periode med vaktbur i dette produksjonsområdet (figur 7).
Figur 7. Områder for overvåking i produksjonsområde 2. Røde og blå sirkler angir posisjoner for undersøkelser med ruser og garn og hvite sirkler angir posisjoner for vaktbur. Skravert felt viser omtrentlig område for postsmolttråling og grønne områder viser nasjonale laksefjorder.
4.2.2 - Tråling
Tråling etter utvandrende postsmolt av laks ble hovedsakelig gjennomført i ytre deler av Boknafjordsystemet. Det ble i tillegg gjort noen forsøk på å tråle i mer åpent farvann vest og sør for Stavanger. Disse forsøkene gav ingen laksefisk, og er derfor ikke visualisert i kart, eller inkludert i tabeller og figurer. I tillegg til postsmolt laks ble det også fanget noe sjøørret i trålen. Data fra trålfanget sjøørret er oppsummert i en tabell som et appendiks til rapporten. All kultivert og merket laks, samt laks over 100 gram er ekskludert fra datamaterialet i 2019. Trålingen ble gjennomført fra uke 18 til og med uke 21.
Tabell 2. Infestasjon av lakselus på trålfanget postsmolt laks i Boknafjorden. n angir antall undersøkte fisk i hver uke. Prevalens viser hvor stor andel av de undersøkte fiskene som ble funnet med en eller flere lakselus og oppgis i prosent. 95 % konfidensintervall er oppgitt i klammer bak. Intensitet angir gjennomsnittlig antall lakselus på den andelen av materialet som ble funnet med lus med 95 % konfidensintervall i klammer bak. % > 0,1 lus/ g viser andelen av det undersøkte materialet hvor infestasjonen var høyere enn 0,1 lus per gram kroppsvekt. 95 % konfidensintervall er oppgitt i klammer bak.
Fjordsystem
Uke
n
Prevalens
Intensitet
% > 0,1 lus/g
[95%KI]
[95%KI]
[95%KI]
Boknafjorden
18
57
12 [6-23]
1 [1-1]
0 [0-6]
19
121
36 [28-44]
2 [2-4]
12 [8-19]
20
169
3 [1-7]
2 [1-2]
1 [0-3]
21
216
15 [11-20]
1 [1-1]
0 [0-2]
Figur 8. Antall lakselus (A) og relativt antall lus (antall lus/gram kroppsvekt) (B) fra postsmolt laks i uke 18-21 i Boknafjorden i Rogaland.
4.2.3 - Lakseruse
En spesialbygget ruse til fangst av utvandrende postsmolt av laks ble testet ut under smoltutvandringen i 2019. I Rogaland ble denne rusen plassert på nordsiden av Boknafjorden i en periode på omtrent to uker. Rusen fanget kun et fåtall laks, men adskillig mer sjøørret. Begge artene er tatt med i denne rapporten. Undersøkelser med laskeruse i Rogaland ble gjennomført i uke 19 og 20.
Tabell 3. Infestasjon av lakselus på laks og ørret fanget med lakseruse i Boknafjorden. n angir antall undersøkte fisk i hver uke. Prevalens viser hvor stor andel av de undersøkte fiskene som ble funnet med en eller flere lakselus og oppgis i prosent. 95 % konfidensintervall er oppgitt i klammer bak. Intensitet angir gjennomsnittlig antall lakselus på den andelen av materialet som ble funnet med lus med 95 % konfidensintervall i klammer bak. % > 0,1 lus/ g viser andelen av det undersøkte materialet hvor infestasjonen var høyere enn 0,1 lus per gram kroppsvekt. 95 % konfidensintervall er oppgitt i klammer bak.
Art
Uke
n
Prevalens
Intensitet
% > 0,1 lus/g
[95%KI]
[95%KI]
[95%KI]
Laks
19
2
0 [0-66]
-
0 [0-66]
Ørret
19
27
89 [72-96]
33 [20-54]
37 [22-56]
20
125
92 [86-96]
13 [10-16]
29 [22-37]
Figur 9. Antall lakselus (A), antall lakselus fordelt på fastsittende og bevegelige stadier (B) og relativt antall lus (antall lus/gram kroppsvekt) (C) fra sjøørret fanget i lakseruse i Rogaland.
4.2.4 - Ruse og garn
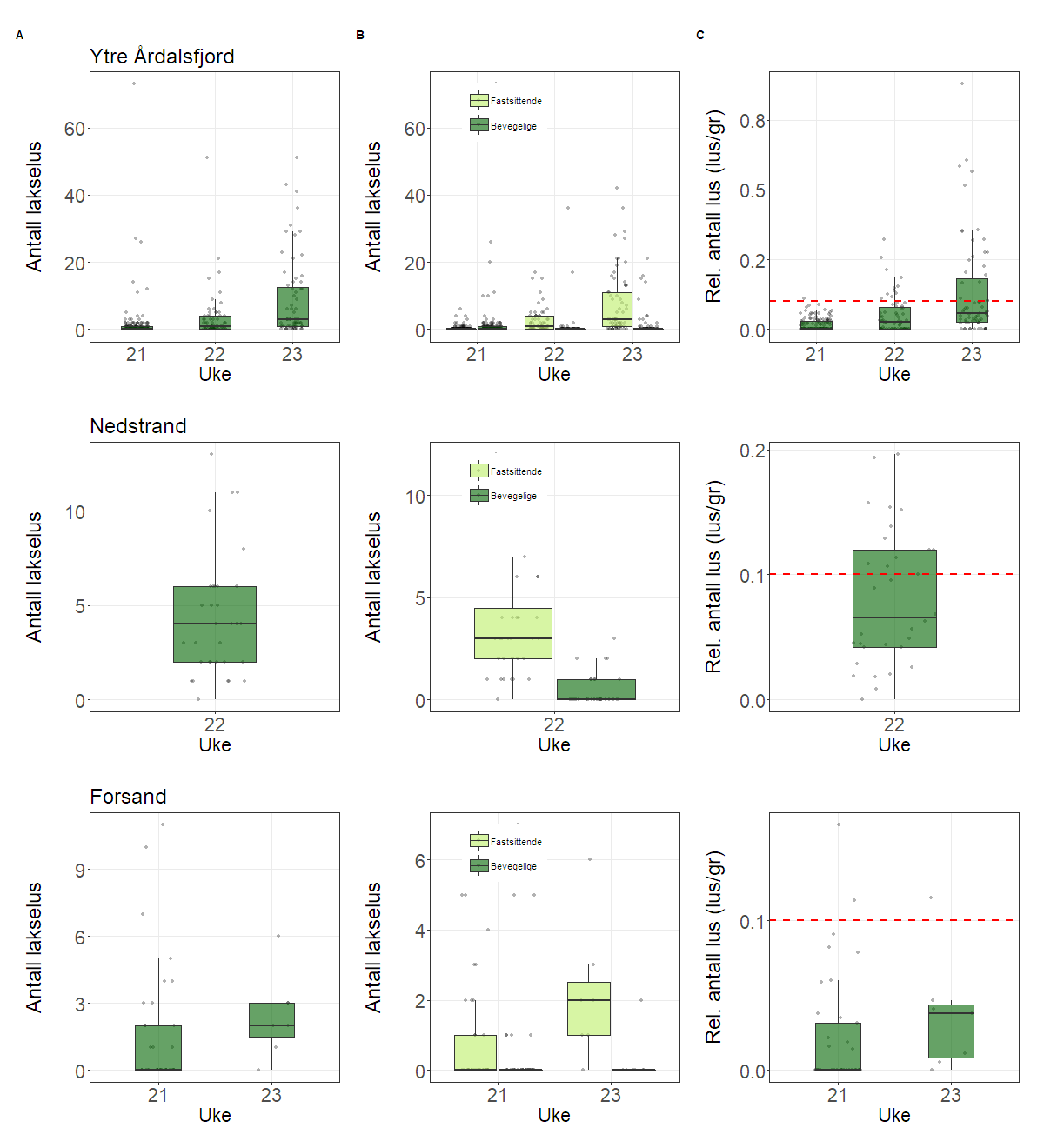
Ytre Årdalsfjord ble valgt som fast stasjon for sjøørret i produksjonsområde 2, og ble undersøkt med ruse over en periode på tre uker. I tillegg ble det gjort kortere undersøkelser både i Nedstrand og ved Forsand innenfor samme tidsrom. Undersøkelser med ruser i Rogaland ble i 2019 gjennomført fra og med uke 21 til og med uke 23.
Tabell 4. Infestasjon av lakselus på sjøørret i PO 2. n angir antall undersøkte fisk i hver uke. Prevalens viser hvor stor andel av de undersøkte fiskene som ble funnet med en eller flere lakselus og oppgis i prosent. 95 % konfidensintervall er oppgitt i klammer bak. Intensitet angir gjennomsnittlig antall lakselus på den andelen av materialet som ble funnet med lus med 95 % konfidensintervall i klammer bak. % > 0,1 lus/ g viser andelen av det undersøkte materialet hvor infestasjonen var høyere enn 0,1 lus per gram kroppsvekt. 95 % konfidensintervall er oppgitt i klammer bak.
Stasjon
Uke
n
Prevalens
Intensitet
% > 0,1 lus/g
[95%KI]
[95%KI]
[95%KI]
Ytre Årdalsfjord
21
135
41 [34-50]
4 [3-9]
1 [0-4]
22
64
61 [49-72]
6 [4-10]
17 [10-28]
23
67
82 [71-89]
11 [8-15]
31 [22-43]
Nedstrand
22
32
97 [84-100]
5 [4-6]
38 [23-55]
Forsand
21
37
38 [24-54]
4 [3-6]
5 [1-18]
23
7
86 [49-99]
3 [2-4]
14 [1-51]
Figur 10. Antall lakselus (A), antall lakselus fordelt på fastsittende og bevegelige stadier (B) og relativt antall lus (antall lus/gram kroppsvekt) (C) fra sjøørret på stasjonene Ytre Årdalsfjord (øverst), Nedstrand (midten) og Forsand (nederst).
4.2.5 - Vaktbur
Det ble plassert ut 17 vaktbur i sentrale deler av produksjonsområdet i 2019. Et av burene gikk tapt under forsøket. Det blir derfor kun rapportert data fra 16 bur i dette området. Det ble satt ut fisk i burene i perioder på inntil 14 dager. Lusepåslag er illustrert med fargekoder i kart (figur 11). Forsøkene med vaktbur i Boknafjorden ble gjennomført i uke 22 og 23 (28 mai – 10 juni).
Figur 11. Plassering og gjennomsnittlig påslag av lakselus på fisk fra vaktbur i PO 2. Fargene indikerer gjennomsnittlig påslag av lakselus over en standardisert periode på 14 dager. Grønn = 0-1 lus, gul = 1-5 lus, Orange = 5-10 lus og rød = mer enn 10 lus. Vaktburene sto ute i uke 22 og 23 (28 mai – 11 juni).
4.3 - Hardanger (PO 3, Karmøy – Sotra)
4.3.1 - Området
Produksjonsområde 3 strekker seg fra Karmøy ved Haugesund til Sotra utenfor Bergen. Store deler av produksjonsområdet utgjøres av Hardangerfjorden med tilstøtende fjorder. Det er registrert 12 lakseførende vassdrag i dette området, hvor av et har status som nasjonalt laksevassdrag (Etnevassdraget). Samlet gytebestansdmål (GBM) for disse vassdragene er i overkant av 3,8 tonn hunnlaks som gir en teoretisk årlig produksjon på mer enn 185 000 smolt (Nilsen mfl. 2017). Sjøørret benytter store deler av produksjonsområdet og reproduserer i mindre vassdrag i tillegg til de nevnte lakseelvene. Det er høy oppdrettsproduksjon av laksefisk i sjø i Hardangerfjorden og områdene rundt. I 2019 var det 107 lokaliteter i drift under overvåkingsperioden. Samlet produksjon av luseegg fra oppdrettsanlegg i dette området er derfor høy. Månedsproduksjon var på mer enn 10 milliarder egg i juli 2019, og en fordobling av dette i juli samme år (figur 12).
Figur 12. Produksjon av klekte luseegg fra oppdrettsanlegg i produksjonsområde 3. april-juli i perioden 2012-2019
I 2019 ble det gjennomført postsmolttråling etter laks i 4 uker og undersøkelser på ruse/garnfanget sjøørret over en tidsperiode på tre uker. I tillegg ble det gjennomført to runder med vaktbur i dette produksjonsområdet (figur 13).
Figur 13. Områder for overvåking i produksjonsområde 3. Røde sirkler angir posisjoner for undersøkelser med ruser og garn og hvite sirkler angir posisjoner for vaktbur. Skravert felt viser omtrentlig område for postsmolttråling og grønne områder viser nasjonale laksefjorder.
4.3.2 - Tråling
Tråling etter utvandrende postsmolt av laks ble hovedsakelig gjennomført i ytre deler av Hardangerfjordsystemet. I et forsøk på å fange opp eventuell postsmolt indre elver som kan ha andre utvandringsruter ble det også gjort noen forsøk på å tråle litt lengre inn i fjorden. Dette resulterte hovedsakelig i fangst av sjøørret, men også noe laks som er inkludert i resultatene under. Data fra trålfanget sjøørret er oppsummert i en tabell som et appendiks til rapporten. Hovedområdene for tråling og arter er adskilt i resultatene. All kultivert og merket laks, samt laks over 100 gram er ekskludert fra datamaterialet i 2019. Trålingen ble gjennomført fra og med uke 19 til og med uke 22.
Tabell 5. Infestasjon av lakselus på trålfanget postsmolt laks i midtre og ytre del av Hardangerfjorden. n angir antall undersøkte fisk i hver uke. Prevalens viser hvor stor andel av de undersøkte fiskene som ble funnet med en eller flere lakselus og oppgis i prosent. 95 % konfidensintervall er oppgitt i klammer bak. Intensitet angir gjennomsnittlig antall lakselus på den andelen av materialet som ble funnet med lus med 95 % konfidensintervall i klammer bak. % > 0,1 lus/ g viser andelen av det undersøkte materialet hvor infestasjonen var høyere enn 0,1 lus per gram kroppsvekt. 95 % konfidensintervall er oppgitt i klammer bak.
Fjordsystem
Uke
n
Prevalens
Intensitet
% > 0,1 lus/g
[95%KI]
[95%KI]
[95%KI]
Midtre
20
8
12 [1-47]
7 [7-7]
12 [1-47]
Hardanger
21
22
73 [52-87]
5 [2-12]
27 [13-48]
22
5
100 [57-100]
4 [2-7]
60 [23-88]
Ytre
19
55
44 [31-57]
2 [2-4]
11 [5-22]
20
121
29 [22-38]
3 [3-5]
13 [8-20]
Hardanger
21
64
17 [10-28]
2 [1-3]
2 [0-8]
22
27
41 [25-59]
5 [3-7]
19 [8-37]
Figur 14. Antall lakselus (A) og relativt antall lus (B) på trålfanget postsmolt laks i uke 19-22 i midtre Hardangerfjord.
Figur 15. Antall lakselus (A) og relativt antall lus (B) på trålfanget postsmolt laks i uke 19-22 i ytre Hardangerfjord.
4.3.3 - Ruse og garn
Etnefjorden ble valgt som fast stasjon for sjøørret i produksjonsområde 3, samt som stasjon for utvidet overvåking på sjøørret gjennom hele året. I tillegg ble det gjort kortere undersøkelser på stasjonene Rosendal, Holmefjord og Ålvik. Den største feltinnsatsen i dette området ble gjennomført i uke 21 til uke 23. Andre aktuelle uker for stasjonen i Etne er merket i tabell og figurer.
Tabell 6. Infestasjon av lakselus på sjøørret i PO 3. n angir antall undersøkte fisk i hver uke. Prevalens viser hvor stor andel av de undersøkte fiskene som ble funnet med en eller flere lakselus og oppgis i prosent. 95 % konfidensintervall er oppgitt i klammer bak. Intensitet angir gjennomsnittlig antall lakselus på den andelen av materialet som ble funnet med lus med 95 % konfidensintervall i klammer bak. % > 0,1 lus/ g viser andelen av det undersøkte materialet hvor infestasjonen var høyere enn 0,1 lus per gram kroppsvekt. 95 % konfidensintervall er oppgitt i klammer bak.
Stasjon
Uke
n
Prevalens
Intensitet
% > 0,1 lus/g
[95%KI]
[95%KI]
[95%KI]
Etne
6-7
8
100 [68-100]
34 [20-59]
38 [14-69]
14-15
11
100 [74-100]
26 [15-41]
0 [0-26]
21
179
90 [85-94]
7 [5-8]
28 [22-36]
23
60
98 [91-100]
13 [10-19]
45 [33-58]
27
10
100 [72-100]
132 [63-335]
80 [49-94]
28
33
100 [90-100]
39 [28-58]
27 [15-44]
Rosendal
22
53
87 [75-93]
19 [15-25]
34 [23-47]
23
11
100 [74-100]
9 [6-13]
36 [15-65]
Holmefjord
22-23
23
96 [79-100]
33 [22-60]
65 [45-81]
Ålvik
23
54
87 [76-94]
20 [16-26]
37 [25-50]
Figur 16. Antall lakselus (A), antall lakselus fordelt på fastsittende og bevegelige stadier (B) og relativt antall lus (antall lus/gram kroppsvekt) (C) fra sjøørret på stasjonene Etne (øverst), Rosendal, Holmefjord og Ålvik (nederst).
4.3.4 - Vaktbur
Det ble plassert ut 18 vaktbur i hele Hardangerfjordsystemet i 2019. I burene ble det satt ut fisk i to perioder på inntil 14 dager. Lusepåslag er illustrert med fargekoder i kart (figur 17). Forsøkene med vaktbur i Hardangerfjorden ble gjennomført i uke 21 og 22 (19 mai – 31 mai) og i uke 23 og 24 (1 juni – 13 juni).
Figur 17. Plassering og gjennomsnittlig påslag av lakselus på fisk fra vaktbur i PO 3. Fargene indikerer gjennomsnittlig påslag av lakselus over en standardisert periode på 14 dager. Grønn = 0-1 lus, gul = 1-5 lus, Orange = 5-10 lus og rød = mer enn 10 lus. Vaktburene sto ute i uke 21-22 (19 mai – 31 juni) og uke 23-24 (31 mai – 13 juni).
4.4 - Sogn og Fjordane (PO 4, Nordhordland – Stadt)
4.4.1 - Området
Produksjonsområde 4 strekker seg fra Bergen til Stadt og inkluderer blant annet de store fjordsystemene Sognefjorden og Nordfjord. Det er registrert 40 lakseførende vassdrag i dette området, hvorav elleve har status som nasjonale laksevassdrag. Samlet gytebestansdmål (GBM) for disse vassdragene er i overkant av 21 tonn hunnlaks som gir en teoretisk årlig produksjon på nesten 750 000 smolt (Nilsen mfl. 2017). Sjøørret benytter også store deler av produksjonsområdet og reproduserer i mindre vassdrag i tillegg til de nevnte lakseelvene. Det er generelt høy oppdrettsproduksjon av laksefisk i sjø langs kysten i produksjonsområdet. Flere av fjordene er uten oppdrett av laksefisk, blant annet indre del av Sognefjorden, Dalsfjorden, Førdefjorden og deler av Nordfjord som alle er nasjonale laksefjorder. I 2018 var det 102 lokaliteter i drift i tidsrommet for overvåkingen. Samlet produksjon av luseegg fra oppdrettsanlegg i dette området er høy. Månedsproduksjon var på rundt 15 milliarder egg i juli de fire siste årene (figur 18).
Figur 18. Produksjon av klekte luseegg fra oppdrettsanlegg i produksjonsområde 4. april-juli i perioden 2012-2019
I 2019 ble det gjennomført postsmolttråling etter laks i 4 uker, hovedsakelig i ytre Sognefjord, men også noe i ytre deler av Nordfjord. Det ble gjennomført 2 uker med lakseruse ved Måløy og ytterligere tre uker med sjøørretruse/garn på flere stasjoner i hele produksjonsområdet. I tillegg ble det gjennomført to perioder med vaktbur i ytre deler av Sognefjorden (figur 19).
Figur 19. Områder for overvåking i produksjonsområde 4. Røde og blå sirkler angir posisjoner for undersøkelser med ruser og garn og hvite sirkler angir posisjoner for vaktbur. Skravert felt viser omtrentlig område for postsmolttråling og grønne områder viser nasjonale laksefjorder.
4.4.2 - Tråling
Tråling etter utvandrende postsmolt av laks ble hovedsakelig gjennomført i ytre deler av Sognefjorden. I et forsøk på å fange opp eventuell postsmolt fra elver lengre nord i området ble det i tillegg gjort noen forsøk på å tråle litt i ytre deler av Nordfjord. Fangster fra de ulike fjordsystemene er holdt adskilt i framstillingen av resultatene under. Data fra trålfanget sjøørret er oppsummert i en tabell som et appendiks til rapporten. All kultivert og merket laks, samt laks over 100 gram er ekskludert fra datamaterialet i 2019. Trålingen ble gjennomført fra og med uke 19 til og med uke 22.
Tabell 7. Infestasjon av lakselus på trålfanget postsmolt laks i ytre del av Sognefjord og Nordfjord. n angir antall undersøkte fisk i hver uke. Prevalens viser hvor stor andel av de undersøkte fiskene som ble funnet med en eller flere lakselus og oppgis i prosent. 95 % konfidensintervall er oppgitt i klammer bak. Intensitet angir gjennomsnittlig antall lakselus på den andelen av materialet som ble funnet med lus med 95 % konfidensintervall i klammer bak. % > 0,1 lus/ g viser andelen av det undersøkte materialet hvor infestasjonen var høyere enn 0,1 lus per gram kroppsvekt. 95 % konfidensintervall er oppgitt i klammer bak.
Fjordsystem
Uke
n
Prevalens
Intensitet
% > 0,1 lus/g
[95%KI]
[95%KI]
[95%KI]
Sognefjord
19
90
98 [92-99]
22 [19-24]
94 [88-98]
20
48
94 [83-98]
29 [22-38]
85 [73-93]
21
20
60 [39-78]
6 [2-15]
30 [15-52]
22
171
100 [98-100]
28 [26-31]
98 [95-99]
Nordfjord
21
67
33 [23-45]
3 [2-6]
6 [2-14]
22
4
25 [1-70]
2 [2-2]
0 [0-49]
Figur 20. Antall lakselus (A) og relativt antall lus (B) på trålfanget postsmolt laks fra ytre Sognefjorden i uke 19-22.
Figur 21. Antall lakselus (A) og relativt antall lus (B) på trålfanget postsmolt laks fra ytre Nordfjord i uke 21 og 22.
4.4.3 - Lakseruse
Spesialbygde ruser til fangst av utvandrende postsmolt av laks ble testet ut under smoltutvandringen i 2019. I PO 4 ble den ene driftet av NORCE ved Herdlafjorden sør i produksjonsområdet. Denne rusen har også levert data på sjøørret, så kun laks fra denne rusen blir inkludert i resultatene under. En annen lakseruse ble driftet ved Måløy helt nord i produksjonsområdet i en periode på omtrent to uker. Denne rusen fanget kun et fåtall laks, men adskillig mer sjøørret. Begge artene er tatt med i tabellen under, men kun ørret fra Måløy er illustrert med figurer. Undersøkelser med laskeruse i PO 4 ble gjennomført i uke 20 - 23.
Tabell 8. Infestasjon av lakselus på laks og ørret fanget med lakseruse i Herdlafjorden og Måløy. n angir antall undersøkte fisk i hver uke. Prevalens viser hvor stor andel av de undersøkte fiskene som ble funnet med en eller flere lakselus og oppgis i prosent. 95 % konfidensintervall er oppgitt i klammer bak. Intensitet angir gjennomsnittlig antall lakselus på den andelen av materialet som ble funnet med lus med 95 % konfidensintervall i klammer bak. % > 0,1 lus/ g viser andelen av det undersøkte materialet hvor infestasjonen var høyere enn 0,1 lus per gram kroppsvekt. 95 % konfidensintervall er oppgitt i klammer bak.
Område
Art
Uke
n
Prevalens
Intensitet
% > 0,1 lus/g
[95%KI]
[95%KI]
[95%KI]
Herdla
Laks
22
1
100 [5-100]
6 [6-6]
100 [5-100]
23
3
67 [21-98]
2 [2-2]
0 [0-56]
Måløy
Laks
20
4
100 [51-100]
8 [2-20]
50 [15-85]
21
7
71 [36-92]
4 [1-9]
17 [1-56]
Ørret
20
63
98 [92-100]
36 [28-46]
84 [73-91]
21
90
100 [96-100]
24 [19-29]
81 [72-88]
Figur 22. Antall lakselus (A), antall lakselus fordelt på fastsittende og bevegelige stadier (B) og relativt antall lus (antall lus/gram kroppsvekt) (C) fra sjøørret fanget i lakserusen ved Måløy.
4.4.4 - Ruse og garn
Herdlafjorden og Herøyosen er faste stasjoner sør i produksjonsområdet og driftes av våre samarbeidspartnere i NORCE. Rusene på de ovennevnte stasjonene var i drift i tidsrommet fra og med uke 21 til og med uke 23. Bjordal i Sogn ble også valgt som fast stasjon for sjøørret i produksjonsområde 4, samt som stasjon for utvidet overvåking på sjøørret gjennom hele året. I tillegg ble stasjonene Balestrand og Maurstadvika undersøkt med ruser og garn innenfor tidsrommet fra og med uke 22 til og med uke 24. I tillegg ble det fanget sjøørret i Risnefjorden i forbindelse med helårsovervåkingen i området både før og etter selve NALO perioden. Data fra Risnefjorden er inkludert i tabellen under.
Tabell 9. Infestasjon av lakselus på sjøørret i PO 4. n angir antall undersøkte fisk i hver uke. Prevalens viser hvor stor andel av de undersøkte fiskene som ble funnet med en eller flere lakselus og oppgis i prosent. 95 % konfidensintervall er oppgitt i klammer bak. Intensitet angir gjennomsnittlig antall lakselus på den andelen av materialet som ble funnet med lus med 95 % konfidensintervall i klammer bak. % > 0,1 lus/ g viser andelen av det undersøkte materialet hvor infestasjonen var høyere enn 0,1 lus per gram kroppsvekt. 95 % konfidensintervall er oppgitt i klammer bak.
Stasjon
Uke
n
Prevalens
Intensitet
% > 0,1 lus/g
[95%KI]
[95%KI]
[95%KI]
Herdlafjorden
21
38
100 [91-100]
76 [59-95]
58 [42-72]
22
29
100 [88-100]
52 [40-66]
79 [62-90]
23
55
100 [93-100]
50 [38-65]
75 [62-84]
Herøyosen
21
83
100 [96-100]
61 [51-76]
96 [90-99]
22
79
100 [95-100]
73 [61-86]
99 [93-100]
23
66
100 [94-100]
88 [76-101]
95 [87-98]
Balestrand
22
63
100 [94-100]
32 [27-39]
89 [79-95]
23-24
32
94 [80-98]
40 [26-78]
66 [48-80]
Bjordal
22
58
100 [94-100]
31 [23-43]
69 [56-79]
23
65
100 [94-100]
50 [40-68]
92 [83-97]
27-28
18
83 [61-94]
21 [13-30]
50 [29-71]
Maurstadvika
22
14
93 [69-100]
14 [7-25]
57 [33-79]
23
54
100 [93-100]
20 [16-25]
81 [69-90]
24
30
93 [79-98]
17 [12-27]
47 [30-64]
Risnefjorden
14-15
19
95 [75-100]
59 [40-90]
26 [12-49]
27-28
28
96 [82-100]
49 [32-75]
57 [39-73]
Figur 23. Antall lakselus (A), antall lakselus fordelt på fastsittende og bevegelige stadier (B) og relativt antall lus (antall lus/gram kroppsvekt) (C) fra sjøørret på stasjonene Ytre Årdalsfjord (øverst), Nedstrand (midten) og Forsand (nederst).
4.4.5 - Vaktbur
Det ble plassert ut 17 vaktbur i ytre del av Sognefjorden i 2019. I burene ble det satt ut fisk i to perioder på inntil 14 dager. Lusepåslag er illustrert med fargekoder i kart (figur 24). I siste periode var to av burene tapt. Det presenteres derfor kun data fra 15 bur i denne perioden. Forsøkene med vaktbur i Sognefjorden ble gjennomført i uke 21 og 22 (21 mai – 05 juni) og i uke 23 og 24 (5 juni – 17 juni).
Figur 24. Plassering og gjennomsnittlig påslag av lakselus på fisk fra vaktbur i PO 4. Fargene indikerer gjennomsnittlig påslag av lakselus over en standardisert periode på 14 dager. Grønn = 0-1 lus, gul = 1-5 lus, Orange = 5-10 lus og rød = mer enn 10 lus. Vaktburene sto ute i uke 21-22 (21 mai – 05 juni) og uke 23-24 (5 juni – 16 juni).
4.5 - Møre og Romsdal (PO 5, Stadt – Hustadvika)
4.5.1 - Området
Produksjonsområde 5 dekker Nord-Vestlandet fra Stadt til Hustadvika nord for Molde. Voldsfjorden, Storfjorden og Romsdalssystemet er de største fjordene i dette området som har 44 registrerte laksevassdrag hvor av to nasjonale laksevassdrag. Samlet gytebestansdmål (GBM) for laksevassdragene i produksjonsområdet er på vel 18 tonn hunnlaks og teoretisk årlig produksjon på nesten 530 000 smolt (Nilsen mfl 2017). Sjøørret finnes også i store deler av produksjonsområdet og reproduserer i mindre vassdrag i tillegg til de nevnte lakseelvene. Det er generelt høy oppdrettsproduksjon av laksefisk i sjø langs kysten og i ytre deler av fjordene i produksjonsområdet. Indre del av Romsdalsfjorden (Isfjord) og Ørstafjorden er nasjonale laksefjorden helt uten oppdrett. I 2019 var det 37 lokaliteter i drift i tidsrommet for lakselusovervåkingen. Samlet produksjon av luseegg fra oppdrettsanlegg i varierer mellom år og tid på året. Opp mot 4 milliard luseegg ble sluppet ut i mai og økte til over tolv milliarder i juli 2019 (figur 25).
Figur 25. Produksjon av klekte luseegg fra oppdrettsanlegg i produksjonsområde 5. april-juli i perioden 2012-2019
I 2019 ble det gjennomført postsmolttråling etter laks i 4 uker samt undersøkelser av sjøørret på flere stasjoner gjennom en periode på mer enn 3 uker. Det ble ikke benyttet vaktbur i dette området i 2019 (figur 26).
Figur 26. Områder for overvåking i produksjonsområde 5. Røde sirkler angir posisjoner for undersøkelser med ruser og garn. Skravert felt viser omtrentlig område for postsmolttråling og grønne områder viser nasjonale laksefjorder.
4.5.2 - Tråling
Tråling etter utvandrende postsmolt av laks ble hovedsakelig gjennomført i ytre deler av Romsdalsfjorden. I et forsøk på å fange opp eventuell postsmolt fra elver lengre sør i området ble det i tillegg gjort noen forsøk på å tråle litt i ytre deler av Storfjord. Dette resulterte i fangst av kun en laks, og blir derfor ikke inkludert i resultatene under. Data fra eventuell trålfanget sjøørret er oppsummert i en tabell som et appendiks til rapporten. All kultivert og merket laks, samt laks over 100 gram er ekskludert fra datamaterialet i 2019. Trålingen ble gjennomført fra og med uke 20 til og med uke 23, men fangstene var dårlige i siste del av perioden. Det ble ikke fanget laks den siste uken.
Tabell 10. Infestasjon av lakselus på trålfanget postsmolt laks i Romsdalsfjorden. n angir antall undersøkte fisk i hver uke. Prevalens viser hvor stor andel av de undersøkte fiskene som ble funnet med en eller flere lakselus og oppgis i prosent. 95 % konfidensintervall er oppgitt i klammer bak. Intensitet angir gjennomsnittlig antall lakselus på den andelen av materialet som ble funnet med lus med 95 % konfidensintervall i klammer bak. % > 0,1 lus/ g viser andelen av det undersøkte materialet hvor infestasjonen var høyere enn 0,1 lus per gram kroppsvekt. 95 % konfidensintervall er oppgitt i klammer bak.
Fjordsystem
Uke
n
Prevalens
Intensitet
% > 0,1 lus/g
[95%KI]
[95%KI]
[95%KI]
Romsdal
20
26
88 [71-96]
19 [13-29]
77 [58-89]
21
73
84 [73-90]
8 [4-22]
56 [45-67]
22
6
67 [30-90]
13 [4-25]
67 [30-90]
Figur 27. Antall lakselus (A) og relativt antall lus (B) på trålfanget postsmolt laks fra Romsdalsfjorden i uke 20-22.
4.5.3 - Ruse og garn
Vatnefjorden og Frænfjord er faste stasjoner nord i produksjonsområdet og driftes av våre samarbeidspartnere i NINA. Rusene på de ovennevnte stasjonene var i drift i tidsrommet fra og med uke 21 til og med uke 26. Ørsta er fast stasjon for sjøørret lengre sør i produksjonsområdet og ble undersøkt i tidsrommet fra og med uke 22 til og med uke 24. I tillegg ble Sykkylven undersøkt i kortere perioder innenfor samme tidsrom.
Tabell 11. Infestasjon av lakselus på sjøørret i PO 5. n angir antall undersøkte fisk i hver uke. Prevalens viser hvor stor andel av de undersøkte fiskene som ble funnet med en eller flere lakselus og oppgis i prosent. 95 % konfidensintervall er oppgitt i klammer bak. Intensitet angir gjennomsnittlig antall lakselus på den andelen av materialet som ble funnet med lus med 95 % konfidensintervall i klammer bak. % > 0,1 lus/ g viser andelen av det undersøkte materialet hvor infestasjonen var høyere enn 0,1 lus per gram kroppsvekt. 95 % konfidensintervall er oppgitt i klammer bak.
Stasjon
Uke
n
Prevalens
Intensitet
% > 0,1 lus/g
[95%KI]
[95%KI]
[95%KI]
Ørsta
22
70
100 [95-100]
32 [25-42]
91 [83-96]
23
106
99 [95-100]
60 [50-76]
87 [79-92]
24
14
100 [78-100]
85 [65-112]
93 [69-100]
Sykkylven
22-23
48
88 [75-94]
26 [16-42]
69 [55-80]
24
95
80 [71-87]
50 [35-72]
45 [36-55]
Vatnefjorden
21
80
70 [59-79]
20 [13-32]
38 [28-48]
22
57
79 [67-88]
35 [25-47]
65 [52-76]
25
27
100 [88-100]
58 [46-71]
100 [88-100]
26
34
100 [90-100]
68 [53-88]
94 [81-98]
Frænfjord
23
217
98 [95-99]
30 [26-35]
92 [87-95]
24
119
100 [97-100]
49 [45-56]
98 [94-100]
Figur 28. Antall lakselus (A), antall lakselus fordelt på fastsittende og bevegelige stadier (B) og relativt antall lus (antall lus/gram kroppsvekt) (C) fra sjøørret på stasjonene Ørsta (øverst), Sykkylven, Vatnefjorden (midten) og Frænfjord (nederst).
4.6 - Sør-Trøndelag (PO 6 Nordmøre og Sør-Trøndelag)
4.6.1 - Området
Produksjonsområde 6 dekker kystområdet fra Hustadvika til Flatanger og inkluderer Trondheimsfjorden samt øyene Smøla, Hitra og Frøya. Det er 62 registrerte laksevassdrag i dette produksjonsområdet hvor av elleve er nasjonale laksevassdrag. Samlet gytebestansdmål (GBM) for laksevassdragene i produksjonsområdet er på vel 87 tonn hunnlaks og teoretisk årlig produksjon er på nesten 2,4 millioner smolt (Nilsen mfl. 2017). Sjøørret finnes også i store deler av produksjonsområdet og reproduserer i mindre vassdrag i tillegg til de nevnte lakseelvene. Det er generelt høy oppdrettsproduksjon av laksefisk i sjø langs kysten og rundt de større øyene. Indre deler av Tingvollfjorden og Halsafjorden, samt hele Åfjord og Trondheimsfjorden er nasjonale laksefjorden helt uten oppdrett. I tidsrommet for lakselusovervåkingen var det i 2019 89 lokaliteter i drift. Samlet produksjon av luseegg fra oppdrettsanlegg i varierer mellom år og tid på året. I overkant av en 3 milliarder luseegg ble sluppet ut mai 2019 og økte videre til nesten 10 milliarder i juli samme år (figur 29).
Figur 29. Produksjon av klekte luseegg fra oppdrettsanlegg i produksjonsområde 6. april-juli i perioden 2012-2019.
I 2018 ble det gjennomført postsmolttråling etter laks med to fartøyer i PO 6. Det ene fartøyet konsentrerte innsatsen rundt fjordene på Nordmøre, mens det andre fartøyet utelukkende trålte i ytre del av Trondheimsfjorden. Det ble i tillegg gjort undersøkelser av sjøørret på to stasjoner i en periode på mer enn 3 uker (figur 30).
Figur 30. Områder for overvåking i produksjonsområde 6. Røde sirkler angir posisjoner for undersøkelser med ruser og garn. Skravert felt viser omtrentlig område for postsmolttråling og grønne områder viser nasjonale laksefjorder.
4.6.2 - Tråling
Tråling etter utvandrende postsmolt av laks ble hovedsakelig gjennomført i ytre deler av fjordene på Nordmøre og i selve Trondheimsfjorden. På Nordmøre ble det trålet i en periode på omtrent tre uker, mens det i Trondheimsfjorden ble trålet sammenhengende i omtrent seks uker. Fangsten av postsmolt laks var varierende på Nordmøre, med kun 4 fisk fra uke 22. Data fra eventuell trålfanget sjøørret er oppsummert i en tabell som et appendiks til rapporten. All kultivert og merket laks, samt laks over 100 gram er ekskludert fra datamaterialet i 2019. Trålingen ble gjennomført fra og med uke 29 til og med uke 24.
Tabell 12. Infestasjon av lakselus på trålfanget postsmolt laks fra Nordmøre og Trondheimsfjorden. n angir antall undersøkte fisk i hver uke. Prevalens viser hvor stor andel av de undersøkte fiskene som ble funnet med en eller flere lakselus og oppgis i prosent. 95 % konfidensintervall er oppgitt i klammer bak. Intensitet angir gjennomsnittlig antall lakselus på den andelen av materialet som ble funnet med lus med 95 % konfidensintervall i klammer bak. % > 0,1 lus/ g viser andelen av det undersøkte materialet hvor infestasjonen var høyere enn 0,1 lus per gram kroppsvekt. 95 % konfidensintervall er oppgitt i klammer bak.
Fjordsystem
Uke
n
Prevalens
Intensitet
% > 0,1 lus/g
[95%KI]
[95%KI]
[95%KI]
Nordmøre
20
12
50 [25-75]
2 [1-2]
25 [9-53]
21
89
47 [37-57]
3 [2-4]
13 [8-22]
22
4
50 [15-85]
17 [14-17]
50 [15-85]
Trondheim
19
75
3 [1-9]
1 [1-1]
3 [1-9]
20
58
3 [1-12]
1 [1-1]
0 [0-6]
21
108
11 [6-18]
1 [1-1]
2 [1-7]
22
153
13 [9-19]
2 [1-2]
5 [3-10]
23
64
3 [1-11]
1 [1-1]
0 [0-6]
24
30
13 [5-30]
7 [1-16]
7 [2-21]
Figur 31. Antall lakselus (A) og relativt antall lus (B) på trålfanget postsmolt laks fra Nordmøre i uke 20-22.
Figur 32. Antall lakselus (A) og relativt antall lus (B) på trålfanget postsmolt laks fra Trondheimsfjorden i uke 19-24.
4.6.3 - Ruse og garn
Agdenes og Asserøy er faste stasjoner i produksjonsområdet og driftes av våre samarbeidspartnere i NINA. Rusene på de ovennevnte stasjonene var i drift i tidsrommet fra og med uke 21 til og med uke 26.
Tabell 13. Infestasjon av lakselus på sjøørret i PO 6. n angir antall undersøkte fisk i hver uke. Prevalens viser hvor stor andel av de undersøkte fiskene som ble funnet med en eller flere lakselus og oppgis i prosent. 95 % konfidensintervall er oppgitt i klammer bak. Intensitet angir gjennomsnittlig antall lakselus på den andelen av materialet som ble funnet med lus med 95 % konfidensintervall i klammer bak. % > 0,1 lus/ g viser andelen av det undersøkte materialet hvor infestasjonen var høyere enn 0,1 lus per gram kroppsvekt. 95 % konfidensintervall er oppgitt i klammer bak.
Stasjon
Uke
n
Prevalens
Intensitet
% > 0,1 lus/g
[95%KI]
[95%KI]
[95%KI]
Agdenes
23
14
79 [52-92]
9 [6-13]
29 [12-55]
24
33
100 [90-100]
57 [44-77]
85 [69-93]
25
36
100 [90-100]
22 [18-29]
61 [45-75]
Asserøy
23
35
89 [74-95]
26 [18-41]
37 [23-54]
25
5
60 [23-88]
6 [1-10]
20 [1-62]
Figur 33. Antall lakselus (A), antall lakselus fordelt på fastsittende og bevegelige stadier (B) og relativt antall lus (antall lus/gram kroppsvekt) (C) fra sjøørret på stasjonene Agdenes (øverst) og Asserøy (nederst).
4.7 - Nord Trøndelag (PO 7 Nord-Trøndelag med Bindal)
4.7.1 - Området
Produksjonsområde 7 dekker kystområdet fra Flatanger i sør til Bindalsfjorden i Nordland og inkluderer blant annet Namsenfjorden og øygruppen Vikna. Det er 22 registrerte laksevassdrag i dette produksjonsområdet hvor av to er nasjonale laksevassdrag. Samlet gytebestandsdmål (GBM) for laksevassdragene i produksjonsområdet er på vel 27 tonn hunnlaks og teoretisk årlig produksjon er på vel 0,9 millioner smolt (Nilsen mfl. 2017). Sjøørret finnes også i store deler av produksjonsområdet og reproduserer i mindre vassdrag i tillegg til de nevnte lakseelvene. Det er høy oppdrettsproduksjon av laksefisk i sjø langs kysten og rundt øygruppen Vikna. Namsenfjorden er nasjonal laksefjord helt uten oppdrett. I 2019 var det 44 lokaliteter i drift i tidsrommet for lakselusovervåkingen. Samlet produksjon av luseegg fra oppdrettsanlegg i varierer mellom år og tid på året. omtrent 2 milliarder luseegg ble sluppet ut mai 2019 og økte videre til mer enn 8 milliarder i juli samme år (figur 34).
Figur 34. Produksjon av klekte luseegg fra oppdrettsanlegg i produksjonsområde 7. april-juli i perioden 2012-2019.
I 2019 ble det gjennomført en tidsbegrenset innsats med postsmolttråling ytterst i Namsenfjorden. Det ble gjennomført overvåking på sjøørret med ruser på flere stasjoner i en periode på tre uke, og det ble gjennomført en runde med vaktbur i området på omtrent 14 dager. (figur 35).
Figur 35 Områder for overvåking i produksjonsområde 7. Røde sirkler angir posisjoner for undersøkelser med ruser og garn og hvite sirkler angir posisjoner for vaktbur. Skravert felt viser omtrentlig område for postsmolttråling og grønne områder viser nasjonale laksefjorder.
4.7.2 - Tråling
Tråling etter utvandrende postsmolt av laks ble forsøkt i en kortere periode i ytre deler av Namsenfjorden. Det ble fanget lite laks under trålingen, men samtidig mye sjøørret. Data fra trålfanget sjøørret er oppsummert i en tabell som et appendiks til rapporten. All kultivert og merket laks, samt laks over 100 gram er ekskludert fra datamaterialet i 2019. Trålingen ble gjennomført i uke 23 og 24.
Tabell 14. Infestasjon av lakselus på trålfanget postsmolt laks i ytre Namsenfjorden. n angir antall undersøkte fisk i hver uke. Prevalens viser hvor stor andel av de undersøkte fiskene som ble funnet med en eller flere lakselus og oppgis i prosent. 95 % konfidensintervall er oppgitt i klammer bak. Intensitet angir gjennomsnittlig antall lakselus på den andelen av materialet som ble funnet med lus med 95 % konfidensintervall i klammer bak. % > 0,1 lus/ g viser andelen av det undersøkte materialet hvor infestasjonen var høyere enn 0,1 lus per gram kroppsvekt. 95 % konfidensintervall er oppgitt i klammer bak.
Fjordsystem
Uke
n
Prevalens
Intensitet
% > 0,1 lus/g
[95%KI]
[95%KI]
[95%KI]
Namsen
23
22
14 [5-33]
1 [1-1]
0 [0-15]
24
5
20 [1-62]
1 [1-1]
0 [0-43]
Figur 36. Antall lakselus (A) og relativt antall lus (B) på trålfanget postsmolt laks fra ytre Namsenfjorden i uke 23 og 24.
4.7.3 - Ruse og garn
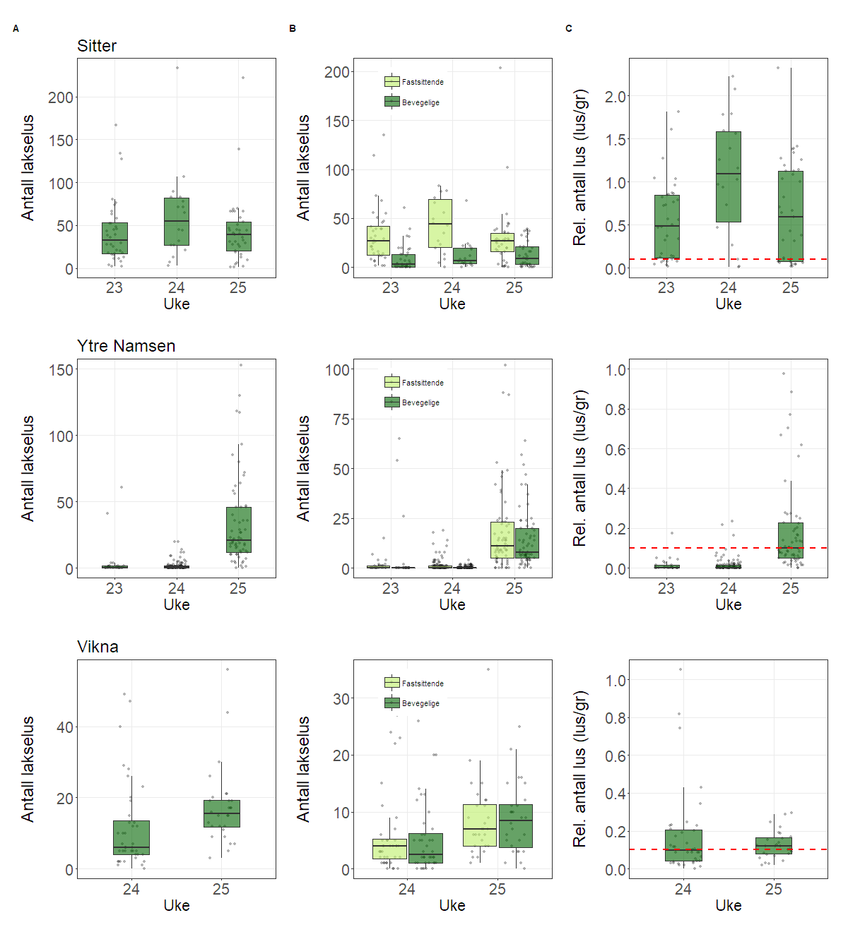
Sitter og ytre Namsenfjorden er faste stasjoner i produksjonsområde 7 og undersøkes sammenhengende i en periode på omtrent tre uker. I tillegg ble en stasjon på Vikna undersøkt i kortere perioder innenfor samme tidsrom. Undersøkelsene ble gjort fra og med uke 23 til og med uke 25.
Tabell 15. Infestasjon av lakselus sjøørret fra PO 7. n angir antall undersøkte fisk i hver uke. Prevalens viser hvor stor andel av de undersøkte fiskene som ble funnet med en eller flere lakselus og oppgis i prosent. 95 % konfidensintervall er oppgitt i klammer bak. Intensitet angir gjennomsnittlig antall lakselus på den andelen av materialet som ble funnet med lus med 95 % konfidensintervall i klammer bak. % > 0,1 lus/ g viser andelen av det undersøkte materialet hvor infestasjonen var høyere enn 0,1 lus per gram kroppsvekt. 95 % konfidensintervall er oppgitt i klammer bak.
Stasjon
Uke
n
Prevalens
Intensitet
% > 0,1 lus/g
[95%KI]
[95%KI]
[95%KI]
Sitter
23
36
100 [90-100]
43 [32-57]
78 [62-88]
24
18
100 [82-100]
61 [43-95]
83 [61-94]
25
37
100 [91-100]
43 [34-62]
65 [49-78]
Ytre Namsen
23
28
46 [30-64]
22 [6-65]
4 [0-18]
24
102
50 [40-60]
4 [3-5]
3 [1-8]
25
65
97 [89-99]
37 [29-49]
49 [37-61]
Vikna
24
40
98 [87-100]
12 [9-17]
45 [31-60]
25
28
100 [88-100]
17 [14-23]
61 [42-76]
Figur 37. Antall lakselus (A), antall lakselus fordelt på fastsittende og bevegelige stadier (B) og relativt antall lus (antall lus/gram kroppsvekt) (C) fra sjøørret på stasjonene Sitter (øverst), ytre Namsen (midten) og Vikna (nederst).
4.7.4 - Vaktbur
Det ble plassert ut 18 vaktbur i produksjonsområde 7, hovedsakelig rundt Vikna, i Folda og i ytre del av Namsenfjorden. I burene ble det satt fisk i en periode på omtrent 14 dager. Lusepåslag er illustrert med fargekoder i kart (figur 38). Forsøkene med vaktbur i PO 7 ble gjennomført i uke 23 og 24 (2 – 16 juni).
Figur 38. Plassering og gjennomsnittlig påslag av lakselus på fisk fra vaktbur i PO 7. Fargene indikerer gjennomsnittlig påslag av lakselus over en standardisert periode på 14 dager. Grønn = 0-1 lus, gul = 1-5 lus, Orange = 5-10 lus og rød = mer enn 10 lus. Vaktburene sto ute i uke 23-24 (2 juni – 16 juni).
4.8 - Nordland sør (PO 8, Helgeland til Bodø)
4.8.1 - Området
Produksjonsområde 8 dekker kystområdet fra Bindalsfjorden på Helgeland i sør til Bodø i nord, og inkluderer i tillegg Skjerstadfjorden innenfor Saltstraumen. Det er 30 registrerte laksevassdrag i dette produksjonsområdet hvor av tre er nasjonale laksevassdrag. Samlet gytebestandsdmål (GBM) for laksevassdragene i produksjonsområdet er på vel 18 tonn hunnlaks og teoretisk årlig produksjon er på vel 364.000 smolt (Nilsen mfl. 2017). Sjøørret og sjørøye finnes også i store deler av produksjonsområdet og reproduserer i mindre vassdrag i tillegg til de nevnte lakseelvene. Det er høy oppdrettsproduksjon av laksefisk i sjø langs det meste av kysten samt noe produksjon også inne i selve Skjerstadfjorden. Vefsnfjorden, Ranfjorden og Beiarfjorden er nasjonale laksefjorder helt uten oppdrett. I 2019 var det 65 lokaliteter i drift i perioden 1. april – 1. september. Samlet produksjon av luseegg fra oppdrettsanlegg i varierer mellom år og tid på året. I overkant av 1 milliard luseegg ble sluppet ut mai 2019 og økte videre til nesten 4 milliarder i juli samme år (figur 39).
Figur 39. Produksjon av klekte luseegg fra oppdrettsanlegg i produksjonsområde 8. april-juli i perioden 2012-2019.
I 2019 ble det gjennomført en periode på omtrent 3 uker med undersøkelser av lakselusinfestasjon på sjøørret/sjørøye i dette produksjonsområdet (figur 40).
Figur 40. Områder for overvåking i produksjonsområde 8. Røde sirkler angir posisjoner for undersøkelser med ruser og garn. Grønne områder viser nasjonale laksefjorder.
4.8.2 - Ruse og garn
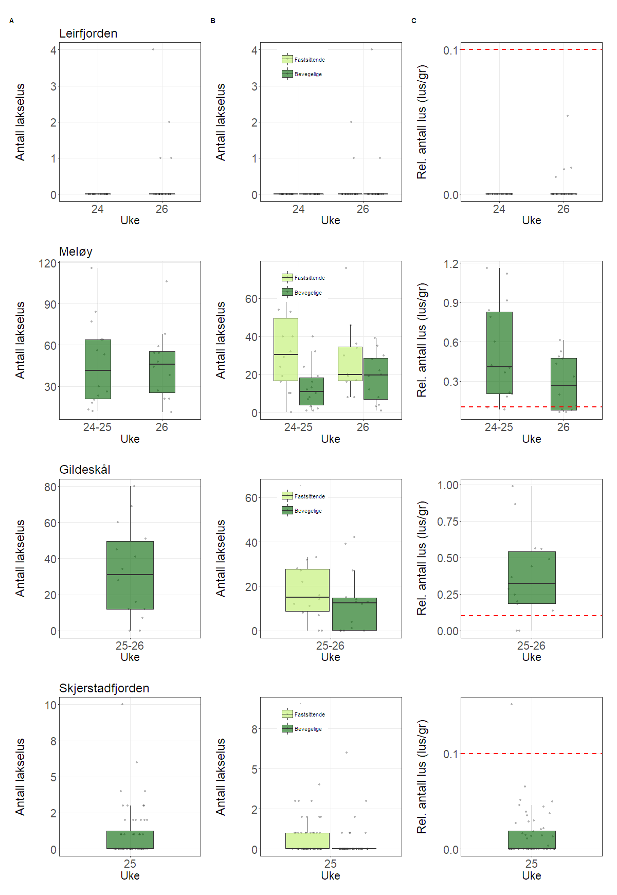
Leirfjord på Helgeland ble valgt som fast stasjon i dette produksjonsområdet og ble undersøkt i to perioder. I tillegg ble det gjort en rekke forsøk på å finne andre representative stasjoner for fangst av sjøørret i Salten. Både Gildeskål og Meløy på kysten ble forsøkt undersøkt samtidig med et rusefiske inne i selve Skjerstadfjorden (figur 40). Undersøkelsene ble gjort fra og med uke 24 til og med uke 26.
Tabell 16. Infestasjon av lakselus sjøørret fra PO 8. n angir antall undersøkte fisk i hver uke. Prevalens viser hvor stor andel av de undersøkte fiskene som ble funnet med en eller flere lakselus og oppgis i prosent. 95 % konfidensintervall er oppgitt i klammer bak. Intensitet angir gjennomsnittlig antall lakselus på den andelen av materialet som ble funnet med lus med 95 % konfidensintervall i klammer bak. % > 0,1 lus/ g viser andelen av det undersøkte materialet hvor infestasjonen var høyere enn 0,1 lus per gram kroppsvekt. 95 % konfidensintervall er oppgitt i klammer bak.
Stasjon
Uke
n
Prevalens
Intensitet
% > 0,1 lus/g
[95%KI]
[95%KI]
[95%KI]
Leirfjorden
24
29
0 [0-12]
NA
0 [0-12]
26
32
12 [5-28]
2 [1-3]
0 [0-11]
Meløy
24-25
14
100 [78-100]
47 [33-65]
86 [60-96]
26
12
100 [76-100]
46 [34-63]
67 [39-86]
Gildeskål
25-26
14
86 [60-96]
38 [26-52]
86 [60-96]
Skjerstadfjorden
25
56
39 [28-52]
3 [2-4]
2 [0-9]
Figur 41. Antall lakselus (A), antall lakselus fordelt på fastsittende og bevegelige stadier (B) og relativt antall lus (antall lus/gram kroppsvekt) (C) fra sjøørret på stasjonene Leirfjord (øverst), Meløy og Gildeskål (midten), og Skjerstadfjorden (nederst).
4.9 - Nordland nord (PO 9, Vestfjorden og Vesterålen)
4.9.1 - Området
Produksjonsområde 9 dekker kystområdet fra Bodø til Andøya lengst nord i Nordland og inkluderer hele Vestfjorden samt øygruppene Lofoten og Vesterålen. Det er 58 registrerte laksevassdrag i dette produksjonsområdet, men ingen av disse har status som nasjonale laksevassdrag. Samlet gytebestandsdmål (GBM) for laksevassdragene i produksjonsområdet er på vel 6,7 tonn hunnlaks med en teoretisk årlig produksjon på vel 193.000 smolt (Nilsen mfl. 2017). Sjøørret og sjørøye finnes også i store deler av produksjonsområdet og reproduserer i mindre vassdrag i tillegg til de nevnte lakseelvene. Det er høy oppdrettsproduksjon av laksefisk i sjø langs det meste av kysten og rundt øyene i Lofoten og Vesterålen. I fjordene på fastlandssiden er produksjonen mer spredt. I PO 9 var det 58 lokaliteter i drift i perioden for lakselusovervåkingen i 2019. Samlet produksjon av luseegg fra oppdrettsanlegg i varierer mellom år og tid på året. Vel 1 milliard luseegg ble sluppet ut i mai 2019 og økte videre til nesten 3 milliarder i juli samme år (figur 42).
Figur 42. Produksjon av klekte luseegg fra oppdrettsanlegg i produksjonsområde 9. april-juli i perioden 2012-2019.
I 2019 ble det gjennomført en periode på omtrent tre uker sammenhengende med undersøkelser av lakselusinfestasjon på sjøørret/sjørøye i dette produksjonsområdet (figur 43).
Figur 43. Områder for overvåking i produksjonsområde 9. Røde sirkler angir posisjoner for undersøkelser med ruser og garn. Det er ingen nasjonale laksefjorder i PO 9.
4.9.2 - Ruse og garn
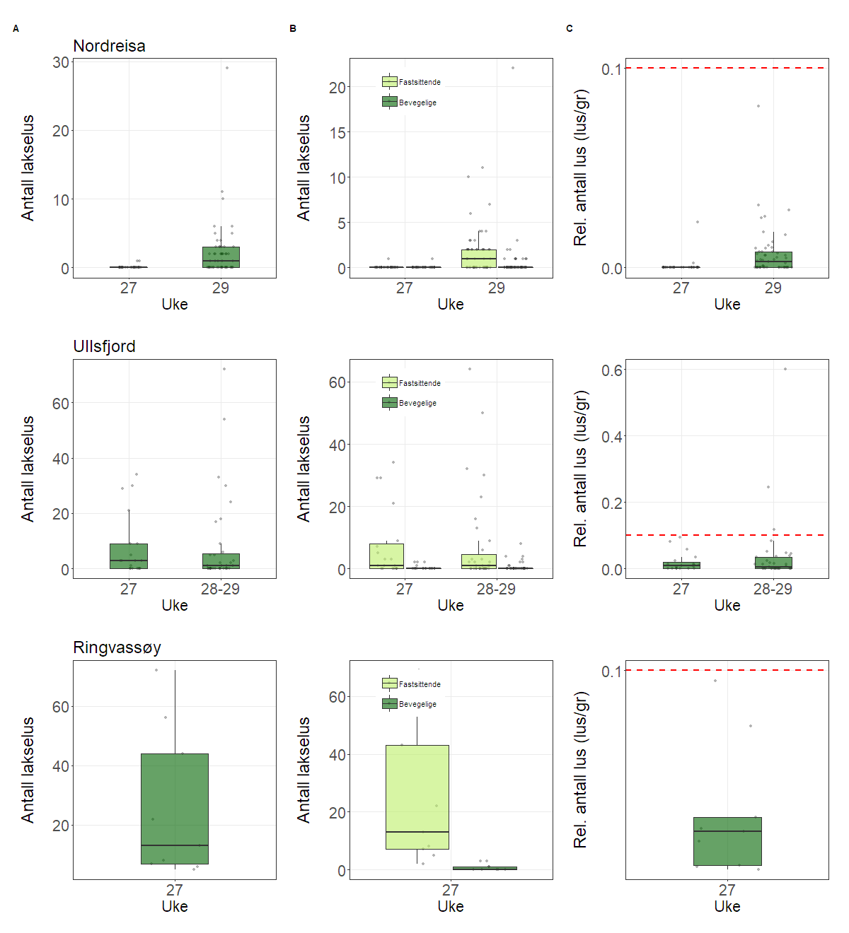
Steigen ble valgt som fast stasjon i dette produksjonsområdet og ble undersøkt i to adskilte perioder. I tillegg ble det gjort kortere undersøkelser lengre vest i produksjonsområdet hvor både Vik ved Stokmarknes og Øksfjord sør på Hinnøya ble undersøkt innenfor det samme tidsrom (figur x). Undersøkelsene ble i 2019 gjort fra og med uke 24 til og med uke 27.
Tabell 17. Infestasjon av lakselus sjøørret fra PO 8. n angir antall undersøkte fisk i hver uke. Prevalens viser hvor stor andel av de undersøkte fiskene som ble funnet med en eller flere lakselus og oppgis i prosent. 95 % konfidensintervall er oppgitt i klammer bak. Intensitet angir gjennomsnittlig antall lakselus på den andelen av materialet som ble funnet med lus med 95 % konfidensintervall i klammer bak. % > 0,1 lus/ g viser andelen av det undersøkte materialet hvor infestasjonen var høyere enn 0,1 lus per gram kroppsvekt. 95 % konfidensintervall er oppgitt i klammer bak.
Stasjon
Uke
n
Prevalens
Intensitet
% > 0,1 lus/g
[95%KI]
[95%KI]
[95%KI]
Steigen
25
27
56 [37-72]
7 [4-11]
19 [8-37]
26
35
100 [90-100]
24 [18-34]
71 [55-84]
Vik i Vesterålen
24-25
31
45 [29-62]
7 [5-14]
10 [3-25]
27
36
94 [82-98]
14 [11-18]
22 [12-38]
Øksfjord
26
22
77 [57-90]
16 [11-21]
41 [23-61]
Figur 44. Antall lakselus (A), antall lakselus fordelt på fastsittende og bevegelige stadier (B) og relativt antall lus (antall lus/gram kroppsvekt) (C) fra sjøørret på stasjonene Steigen (øverst), Vik i Vesterålen (midten), og Øksfjord (nederst).
4.10 - Troms sør (PO 10, Andøya til Senja)
4.10.1 - Området
Produksjonsområde 10 dekker kystområdet fra Andøya lengst nord i Nordland og strekker seg nordøstover til Malangen nord for Senja. I området er også Vågsfjorden ved Harstad samt flere fjorder på fastlandet i Sør-Troms inkludert. Det er 24 registrerte laksevassdrag i dette produksjonsområdet hvor av to har status som nasjonale laksevassdrag. Samlet gytebestandsdmål (GBM) for laksevassdragene i produksjonsområdet er på vel 12 tonn hunnlaks med en teoretisk årlig produksjon på vel 328.000 smolt (Nilsen mfl. 2017). Sjøørret og sjørøye finnes også i store deler av produksjonsområdet og reproduserer i mindre vassdrag i tillegg til de nevnte lakseelvene. Det er høy produksjon av laksefisk i sjø i flere deler av produksjonsområdet, spesielt nordover fra Harstad og i området rundt Senja. Malangen er nasjonal laksefjord og derfor helt uten oppdrettsproduksjon. I PO 10 var det 45 lokaliteter i drift i perioden for lakselusovervåkingen i 2019. Samlet produksjon av luseegg fra oppdrettsanlegg i varierer mellom år og tid på året. Nesten 2 milliarder luseegg ble sluppet ut i mai 2019 og økte videre til vel 3 milliarder i juli samme år (figur 45).
Figur 45. Produksjon av klekte luseegg fra oppdrettsanlegg i produksjonsområde 10. april-juli i perioden 2012-2019
I 2019 ble det gjennomført undersøkelser av lakselusinfestasjon på sjøørret/sjørøye på flere stasjoner i produksjonsområdet i en sammenhengende periode på omtrent tre uker. I tillegg blir det gjennomført utvidet overvåking på en av stasjonene, både tidligere å senere enn den opprinnelige NALO-gjennomføringen (figur 46).
Figur 46. Områder for overvåking i produksjonsområde 10. Røde sirkler angir posisjoner for undersøkelser med ruser og garn. Grønt områder viser nasjonal laksefjord.
4.10.2 - Ruse og garn
Malangen ble valgt som fast stasjon for overvåking av lakselus på sjøørret/sjørøye i PO 10 i 2019. Denne stasjonen blir også benyttet i helårsovervåkingen som i tillegg også dekker kortere perioder på vinter og høst. Helårsovervåkingen fortsetter ut 2019. I tillegg ble det gjort flere undersøkelser på stasjonene Finnsnes og Løksebotn i Salangen (figur 46). Sistnevnte en stasjon som har vært fulgt gjennom mange år i NALO programmet. I 2019 ble undersøkelsene gjennomført fra og med uke 27 til og med uke 29.
Tabell 18. Infestasjon av lakselus sjøørret fra PO 10. n angir antall undersøkte fisk i hver uke. Prevalens viser hvor stor andel av de undersøkte fiskene som ble funnet med en eller flere lakselus og oppgis i prosent. 95 % konfidensintervall er oppgitt i klammer bak. Intensitet angir gjennomsnittlig antall lakselus på den andelen av materialet som ble funnet med lus med 95 % konfidensintervall i klammer bak. % > 0,1 lus/ g viser andelen av det undersøkte materialet hvor infestasjonen var høyere enn 0,1 lus per gram kroppsvekt. 95 % konfidensintervall er oppgitt i klammer bak.
Stasjon
Uke
n
Prevalens
Intensitet
% > 0,1 lus/g
[95%KI]
[95%KI]
[95%KI]
Malangen
27
24
8 [2-26]
1 [1-2]
0 [0-14]
28
17
12 [3-34]
1 [1-2]
0 [0-18]
29
39
18 [9-33]
2 [1-2]
0 [0-9]
32
84
82 [73-89]
10 [7-15]
5 [2-12]
Finnsnes
27
50
84 [71-92]
31 [20-53]
52 [39-65]
28
141
85 [78-90]
37 [28-49]
50 [42-58]
Løksebotn
28
75
99 [93-100]
18 [15-24]
71 [60-80]
Figur 47. Antall lakselus (A), antall lakselus fordelt på fastsittende og bevegelige stadier (B) og relativt antall lus (antall lus/gram kroppsvekt) (C) fra sjøørret på stasjonene Malangen (øverst), Finnsnes (midten) og Løksebotn (nederst).
4.11 - Troms nord (PO 11, Kvaløya til Loppa)
4.11.1 - Området
Produksjonsområde 11 dekker kystområdet fra Kvaløya vest for Tromsø til og med Kvænangen på fylkesgrensa mellom Troms og Finnmark. Området inkluderer også de større fjordene på begge sider av Lyngenhalvøya. Det er 17 registrerte laksevassdrag i dette produksjonsområdet hvor av to har status som nasjonale laksevassdrag. Samlet gytebestandsdmål (GBM) for laksevassdragene i produksjonsområdet er på vel 8,5 tonn hunnlaks med en teoretisk årlig produksjon på vel 141.000 smolt (Nilsen mfl. 2017). Sjøørret og sjørøye finnes også i store deler av produksjonsområdet og reproduserer i mindre vassdrag i tillegg til de nevnte lakseelvene. Det er produksjon av laksefisk i sjø i flere deler av produksjonsområdet, spesielt på kysten rundt de større øyene. Reisafjorden og indre deler av Kvænangen er nasjonale laksefjorder og derfor helt uten oppdrettsproduksjon. I PO 11 var det 20 lokaliteter i drift i tidsrommet for lakselusovervåkingen i 2019. Samlet produksjon av luseegg fra oppdrettsanlegg i varierer mellom år og tid på året. Vel 700 millioner luseegg ble sluppet ut i mai 2019. Dette økte til over 900 millioner fram mot juli samme år (figur 48).
Figur 48. Produksjon av klekte luseegg fra oppdrettsanlegg i produksjonsområde 11. april-juli i perioden 2012-2019.
I 2019 ble det gjennomført en periode på omtrent tre uker sammenhengende med undersøkelser av lakselusinfestasjon på sjøørret/sjørøye i dette produksjonsområdet (figur 49).
Figur 49. Områder for overvåking i produksjonsområde 11. Røde sirkler angir posisjoner for undersøkelser med ruser og garn. Grønne områder viser nasjonale laksefjorder.
4.11.2 - Ruse og garn
Nordreisa og Ullsfjord ble valgt som faste stasjon i dette produksjonsområdet og ble undersøkt i to omganger innenfor en tidsperiode på omtrent tre uker. I tillegg ble det gjort en kortere undersøkelser på østsiden av Ringvassøya utenfor Tromsø. Her ble det kun fanget et fåtall større fisk. innenfor de samme periodene. I 2019 ble undersøkelsene gjennomført fra og med uke 27 til og med uke 29.
Tabell 19. Infestasjon av lakselus sjøørret fra PO 11. n angir antall undersøkte fisk i hver uke. Prevalens viser hvor stor andel av de undersøkte fiskene som ble funnet med en eller flere lakselus og oppgis i prosent. 95 % konfidensintervall er oppgitt i klammer bak. Intensitet angir gjennomsnittlig antall lakselus på den andelen av materialet som ble funnet med lus med 95 % konfidensintervall i klammer bak. % > 0,1 lus/ g viser andelen av det undersøkte materialet hvor infestasjonen var høyere enn 0,1 lus per gram kroppsvekt. 95 % konfidensintervall er oppgitt i klammer bak.
Stasjon
Uke
n
Prevalens
Intensitet
% > 0,1 lus/g
[95%KI]
[95%KI]
[95%KI]
Nordreisa
27
30
7 [2-21]
1 [1-1]
0 [0-11]
29
52
58 [44-70]
4 [3-7]
0 [0-7]
Ullsfjord
27
19
63 [41-81]
12 [7-20]
0 [0-17]
28-29
35
51 [36-67]
16 [9-28]
9 [3-22]
Ringvassøy
27
9
100 [70-100]
26 [13-45]
0 [0-30]
Figur 50. Antall lakselus (A), antall lakselus fordelt på fastsittende og bevegelige stadier (B) og relativt antall lus (antall lus/gram kroppsvekt) (C) fra sjøørret på stasjonene Nordreisa (øverst), Ullsfjord (midten) og Ringvassøy (nederst).
4.12 - Finnmark vest (PO 12, Vest-Finnmark)
4.12.1 - Området
Produksjonsområde 12 dekker kystområdet fra Loppa i vest til nordspissen av Nordkinnhalvøya og inkluderer de store fjordsystemene Alta, Porsanger og Laksefjord. Det er 18 registrerte laksevassdrag i dette produksjonsområdet hvor av fem er nasjonale laksevassdrag. Samlet gytebestandsdmål (GBM) for laksevassdragene i produksjonsområdet er på mer enn 26 tonn hunnlaks og med en teoretisk årlig produksjon på vel 580.000 smolt (Nilsen mfl. 2017). Sjøørret og sjørøye finnes også i store deler av produksjonsområdet og reproduserer i mindre vassdrag i tillegg til de nevnte lakseelvene. Det er generelt høy oppdrettsproduksjon av laksefisk i sjø i den vestligste delen av produksjonsområdet, mens det fra Hammerfest og østover er store områder uten oppdrett. Indre del av Altafjorden og Porsangerfjorden er nasjonale laksefjorder og derfor helt uten oppdrett. I PO 12 var det 39 lokaliteter i drift i tidsrommet for lakselusovervåkingen i 2019. Samlet produksjon av luseegg fra oppdrettsanlegg i varierer mellom år og tid på året. I overkant av 1 milliarder luseegg ble sluppet ut juni 2019 og avtok noe utover i juli samme år (figur 51).
Figur 51. Produksjon av klekte luseegg fra oppdrettsanlegg i produksjonsområde 12. april-juli i perioden 2012-2019
I 2019 ble det gjennomført postsmolttråling etter laks i 4 uker samt test av lakseruse i to uker innenfor samme tidsrom. Det ble i tillegg gjort undersøkelser av sjøørret/sjørøye på flere stasjoner i en periode på 3 uker (figur 52).
Figur 52. Områder for overvåking i produksjonsområde 12. Røde og blå sirkler angir posisjoner for undersøkelser med ruser og garn og skravert felt viser omtrentlig område for postsmolttråling. Grønne områder viser nasjonale laksefjorder.
4.12.2 - Tråling
Tråling etter utvandrende postsmolt av laks ble hovedsakelig gjennomført i ytre deler av Altafjorden og sundene mellom fastland og Stjernøya og Seiland. Det ble fanget mye laks i begynnelsen av perioden for tråling. Ingen sjøørret eller sjørøye ble tatt på trål i dette området. All kultivert og merket laks, samt laks over 100 gram er ekskludert fra datamaterialet i 2019. Trålingen ble gjennomført fra og med uke 20 til og med uke 23.
Tabell 20. Infestasjon av lakselus på trålfanget postsmolt laks fra ytre del av Altafjorden. n angir antall undersøkte fisk i hver uke. Prevalens viser hvor stor andel av de undersøkte fiskene som ble funnet med en eller flere lakselus og oppgis i prosent. 95 % konfidensintervall er oppgitt i klammer bak. Intensitet angir gjennomsnittlig antall lakselus på den andelen av materialet som ble funnet med lus med 95 % konfidensintervall i klammer bak. % > 0,1 lus/ g viser andelen av det undersøkte materialet hvor infestasjonen var høyere enn 0,1 lus per gram kroppsvekt. 95 % konfidensintervall er oppgitt i klammer bak.
Fjordsystem
Uke
n
Prevalens
Intensitet
% > 0,1 lus/g
[95%KI]
[95%KI]
[95%KI]
Alta
26
365
13 [10-17]
1 [1-1]
1 [0-2]
27
72
6 [2-13]
2 [1-3]
1 [0-7]
28
44
9 [4-21]
2 [1-2]
2 [0-12]
29
13
23 [8-50]
2 [1-2]
0 [0-23]
Figur 53. Antall lakselus (A) og relativt antall lus (B) på trålfanget postsmolt laks fra Alta i uke 26-30.
4.12.3 - Lakseruse
En spesialbygget ruse til fangst av utvandrende postsmolt av laks ble testet ut under smoltutvandringen i 2019. I PO 12 ble denne rusen plassert i Stjernsundet helt ytterst i Altafjorden i en periode på omtrent to uker. Rusen fanget ingen laks, men et mindre antall sjøørret og sjørøye. Begge artene er tatt med i denne rapporten. Undersøkelser med laskeruse i Alta ble gjennomført i uke 28 og 29.
Tabell 21. Infestasjon av lakselus på sjøørret og sjørøye fanget med lakseruse i ytre Altafjorden. n angir antall undersøkte fisk i hver uke. Prevalens viser hvor stor andel av de undersøkte fiskene som ble funnet med en eller flere lakselus og oppgis i prosent. 95 % konfidensintervall er oppgitt i klammer bak. Intensitet angir gjennomsnittlig antall lakselus på den andelen av materialet som ble funnet med lus med 95 % konfidensintervall i klammer bak. % > 0,1 lus/ g viser andelen av det undersøkte materialet hvor infestasjonen var høyere enn 0,1 lus per gram kroppsvekt. 95 % konfidensintervall er oppgitt i klammer bak.
Art
Uke
n
Prevalens
Intensitet
% > 0,1 lus/g
[95%KI]
[95%KI]
[95%KI]
Ørret/Røye
28
12
100 [76-100]
48 [28-78]
17 [5-45]
29
16
100 [81-100]
75 [48-145]
50 [28-72]
Figur 54. Antall lakselus (A), antall lakselus fordelt på fastsittende og bevegelige stadier (B) og relativt antall lus (antall lus/gram kroppsvekt) (C) fra sjøørret/sjørøye fanget med lakseruse i ytre Altafjord.
4.12.4 - Ruse og garn
Talvik ble valgt som fast stasjon i dette produksjonsområdet og ble undersøkt kontinuerlig over en periode på tre uker. I tillegg ble det gjort kortere undersøkelser i både Skillefjord lengre ut i Altafjorden og ved Handelsbukt i Porsangerfjorden. Det ble også gjort et forsøk i Lerresfjord, men gav noe lavt antall fisk (figur 52). I 2019 ble undersøkelsene gjort fra og med uke 20 til og med uke 30.
Tabell 22. Infestasjon av lakselus sjøørret og sjørøye fra PO 12. n angir antall undersøkte fisk i hver uke. Prevalens viser hvor stor andel av de undersøkte fiskene som ble funnet med en eller flere lakselus og oppgis i prosent. 95 % konfidensintervall er oppgitt i klammer bak. Intensitet angir gjennomsnittlig antall lakselus på den andelen av materialet som ble funnet med lus med 95 % konfidensintervall i klammer bak. % > 0,1 lus/ g viser andelen av det undersøkte materialet hvor infestasjonen var høyere enn 0,1 lus per gram kroppsvekt. 95 % konfidensintervall er oppgitt i klammer bak.
Stasjon
Uke
n
Prevalens
Intensitet
% > 0,1 lus/g
[95%KI]
[95%KI]
[95%KI]
Talvik
28
27
59 [41-75]
6 [4-9]
15 [6-32]
29
44
82 [68-90]
15 [10-20]
18 [10-32]
30
14
100 [78-100]
33 [24-44]
57 [33-79]
Skillefjord
28
16
94 [72-100]
11 [7-18]
50 [28-72]
29
52
90 [79-96]
13 [10-17]
8 [3-18]
Lerresfjord
28
9
67 [35-88]
12 [6-22]
0 [0-30]
Handelsbukt
29
25
44 [27-63]
12 [6-21]
16 [6-35]
30
58
69 [56-79]
4 [3-5]
2 [0-9]
Figur 55. Antall lakselus (A), antall lakselus fordelt på fastsittende og bevegelige stadier (B) og relativt antall lus (antall lus/gram kroppsvekt) (C) fra sjøørret på stasjonene Talvik (øverst), Skillefjord og Lerresfjord (midten), og Handelsbukt (nederst).
4.13 - Finnmark øst (PO 13, Øst-Finnmark)
4.13.1 - Området
Produksjonsområde 13 dekker kystområdet fra Nordkinnhalvøya i vest til riksgrensen mot Russland i øst. Tanafjorden og Varangerfjorden er de to største fjordsystemene i dette produksjonsområdet. Det er 18 registrerte laksevassdrag i dette produksjonsområdet hvor av seks har status som nasjonale laksevassdrag. Samlet gytebestandsdmål (GBM) for laksevassdragene i produksjonsområdet er på vel 75 tonn hunnlaks med en teoretisk årlig produksjon på vel 1,1 millioner smolt (Nilsen mfl. 2017). Sjøørret og sjørøye finnes også i store deler av produksjonsområdet og reproduserer i mindre vassdrag i tillegg til de nevnte lakseelvene. Det er generelt liten produksjon av laksefisk i sjø i området. Hele Tanafjorden, Kongsfjorden og Neidenfjorden/Bøkfjorden er nasjonale laksefjorder og derfor helt uten oppdrettsproduksjon. I 2019 var det 3 lokaliteter i drift i tidsrommet for lakselusovervåkingen. Samlet produksjon av luseegg fra oppdrettsanlegg i varierer mye mellom år og tid på året. Det ble ikke registrert lakselus på noen av anleggene i perioden april – juli i 2019 (figur 56).
Figur 56. Produksjon av klekte luseegg fra oppdrettsanlegg i produksjonsområde 13. april-juli i perioden 2012-2019.
I 2019 ble det gjennomført en periode på omtrent tre uker sammenhengende med undersøkelser av lakselusinfestasjon på sjøørret/sjørøye i dette produksjonsområdet (figur 57).
Figur 57. Områder for overvåking i produksjonsområde 13. Røde angir posisjoner for undersøkelser med ruser og garn og grønne områder viser nasjonale laksefjorder.
4.13.2 - Ruse og garn
Tanafjord ble valgt som fast stasjon i dette produksjonsområdet og ble undersøkt minst to ganger gjennom perioden. I tillegg ble det gjort flere kortere undersøkelser i både Bugøyfjord og Jarfjord innenfor samme tidsrom (figur 57). I 2019 ble undersøkelsene gjort fra og med uke 29 til og med uke 31.
Tabell 23. Infestasjon av lakselus sjøørret fra PO 13. n angir antall undersøkte fisk i hver uke. Prevalens viser hvor stor andel av de undersøkte fiskene som ble funnet med en eller flere lakselus og oppgis i prosent. 95 % konfidensintervall er oppgitt i klammer bak. Intensitet angir gjennomsnittlig antall lakselus på den andelen av materialet som ble funnet med lus med 95 % konfidensintervall i klammer bak. % > 0,1 lus/ g viser andelen av det undersøkte materialet hvor infestasjonen var høyere enn 0,1 lus per gram kroppsvekt. 95 % konfidensintervall er oppgitt i klammer bak.
Stasjon
Uke
n
Prevalens
Intensitet
% > 0,1 lus/g
[95%KI]
[95%KI]
[95%KI]
Tanafjord
29
37
32 [20-49]
2 [1-2]
0 [0-9]
30
20
40 [22-61]
1 [1-2]
0 [0-16]
Bugøyfjord
29
48
96 [86-99]
7 [5-9]
23 [13-37]
31
53
87 [75-93]
6 [4-7]
15 [8-27]
Jarfjord
30
25
84 [65-94]
2 [2-2]
0 [0-13]
31
23
83 [63-93]
2 [2-3]
0 [0-14]
Figur 58. Antall lakselus (A), antall lakselus fordelt på fastsittende og bevegelige stadier (B) og relativt antall lus (antall lus/gram kroppsvekt) (C) fra sjøørret på stasjonene Tanafjord (øverst), Bugøyfjord (midten) og Jarfjord (nederst).
5 - Oppsummering av lakselusinfestasjon på vill laksefisk 2019
I 2019 ble det funnet store forskjeller i de observerte påslagene av lakselus på vill laksefisk i både tid og rom. De største påslagene ble observert i området fra Vestlandet til Trøndelag. På Sørlandet og i Nord-Norge var påslagene generelt mindre selv om det det også var en del lokal variasjon i disse områdene.
På Sørlandet er det lite lus med unntak av ett område ved Flekkefjord. Dette er i samsvar med tidligere års observasjoner. Oppover langs Vestlandet er det mer lus. Smittepresset observert fra vaktbur i både Boknafjorden og Hardangerfjorden under smoltutvandringen er lavere enn i 2018, og det ble funnet mindre lus på den trålfangede laksen. Også for sjøørret indikerer data at det er en nedgang i begge disse fjordsystemene. Infestasjonen øker utover sommeren. I Bjørnafjorden er det like mye lus som tidligere, og i Nordhordland og Sogn er det mye lus på sjøørreten. Dette også på stasjonen langt inne i Sognefjorden. Data fra vaktbur indikerer at smittepresset i slutten av mai er betydelig høyere enn i 2018, mer på linje med det høye smittepresset observert i 2017. Dette gjenspeiles i infestasjonen på den trålfangete laksen som hadde betydelig høyere infestasjon enn i 2018, minst på høyde med 2017. Både i Nordfjord, Storfjord og Romsdalsfjorden indikerer data fra sjøørret like høye eller høyere infestasjon enn i 2018. Vi har begrensede tråldata fra Nordfjord, men de indikerer relativt lite lus på laksen i midten av mai. I Romsdalsfjorden var det høyere infestasjon på trålfanget laks i forhold til 2018.
På Nordmøre og i Trøndelag viste postsmolttrålingen varierende påslag av lakselus. På Nordmøre ble om lag halvparten av fisken funnet med lus, men det var lite lus på fisken trålet i Trondheimsfjorden. Data fra sjøørret viste betydelig høyere smittepress enn observert på den trålfangete laksen, med infestasjoner sammenlignbart med 2018.
Lengre nord, i Namsen var det også lite lus på den trålfangede laksen, mens det det var høyt smittepress på sjøørreten i Namsenfjorden og sør for denne, mens det var mindre lus enn hva som tidligere er observert på sørsiden av Vikna. Smittepresset i området, vurdert fra vaktbur, var relativt lavt, lavere enn i 2018.
I Nordland og Troms er det bare rusedata, disse indikerer at det oftest er liten infestasjon tidlig i sesongen, men at denne øker utover våren og sommeren. Begge deler er i samsvar med tidligere år.
Fra Nord-Troms til Finnmark er det generelt lite lus på rusefanget sjøørret, unntaket er i Altafjorden. I denne fjorden er det lite lus tidlig i sesongen, men det øker utover sommeren. Resultatene er i samsvar med tidligere år. Trålfangsten i ytre deler av Altafjorden indikerer relativt lavt smittepress på den utvandrende laksen, men det er likevel en økning i forhold til andre år hvor vi har tilsvarende data tilgjengelig.
Datamaterialet fra overvåkingsprogrammet for lakselus på vill laksefisk indikerer høyest lusepåslag på Vestlandet og i Trøndelag. Dette stemmer også godt med resultatene fra spredningsmodellen for lakselus som indikerer høyest tetthet av smittsomme luselarver i fjordene og langs kysten av Vestlandet og Trøndelag (Figur 59)
Figur 59. Modellert tetthet av lakseluskopepoditter langs Norskekysten i uke 21, 24 og 27 i 2019. Grønn farge angir lav tetthet og blå farge angir høy tetthet.
Datamaterialet fra overvåkingsprogrammet i 2019 har mange likheter med tidligere års observasjoner på villfisk i de samme områdene (Bjørn mfl. 2012, 2013; Nilsen mfl. 2014, 2016, 2017, 2018 og 2019). Vestlandet og Trøndelag har gjentatte ganger vist seg som de områdene hvor lusepåslag på villfisk er høyest. Dette har resultert i økt fokus på overvåkingen i disse områdene, med blant annet mer tråling etter utvandrende laks og mer bruk av vaktbur. Dette øker sikkerheten i observasjonene fra overvåkingen, noe som vurderes som viktig der lakselus sannsynligvis er et problem for både villfisk og oppdrettsnæring. Det blir likevel også viktig å følge utviklingen fremover både på Sørlandet og nordover langs kysten da både klimaendringer og strukturelle endringen i oppdrettsnæringen kan forventes i tiden fremover.
6 - Takk
Overvåking av lakselus på vill laksefisk langs hele Norskekysten er en krevende oppgave. Det ligger mange timer med omfattende forberedelser, feltarbeid, tokt, prøvetakning og analyser bak det som presenteres i denne rapporten. Heldigvis gjøres denne jobben av en rekke dyktige og engasjerte mennesker. En stor takk rettes til alle bidragsytere i NALO-programmet. Takket være dere kan vi nok en gang levere overvåkingsdata av god kvalitet til våre oppdragsgivere.
Ved Havforskningsinstituttet:
Anders Geertsen, Anders Jelmert, Anders Thorsen, Agnes Marie Mohn, Astrid Marie Tonstad, Atle Børje Rolland, Arna Kazazic, Bjørnar Skjold, Børge Alfstad, Grethe Thorsheim, Gunn Heidi Teigen, Gunnar Didriksen, Hanna Ellerine Danielsen, Harald Næss, Håkon Berg Rolness, Ida Kristin Mellerud, Ingeborg Sætra, Ingrid Søbstad, Ingrid Askeland Johnsen, Irene Huse, Kaja Mathilde Strømsvåg, Kaja Andersen, Kristine Hovland Holm, Lene Kleppe, Lea Hellenbrecht, Malin Høstmark, Martin Kristiansen, Michal Rejmer, Ole Torrissen, Per Tommy Fjeldheim, Rasmus Skern, Rimas Petrauskas, Robert André Johansen, Roger Wold Thorkildsen, Samantha Bui, Sara Karolina Olausson, Stig Mæhle, Sofie Knutar, Sussie Dalvin, Therese Meyer, Thomas Bøhn, Trude Thangstad, Torstein Harboe, Vegard Seljestokken, Velemir Nola, William Aannø og skippere med mannskap på leieskipene Havsund, Fangst, Marilena, Meløypynt og Sandy.
Ved NINA:
Ane Vigdisdatter Nytrø, Arild Refsnes, Asgeir Handberg, Birk Rosvoll Finstad, Emil Naalsund, Eva Marita Ulvan, Julius Dahle, Peder Naalsund, Rolf Sivertsgård og Terje Viken.
Ved (LFI) hos NORCE:
Bjørn Torgeir Barlaup, Bjørnar Skår, Gunnar Bekke Lehmann, Ina Bakke Birkeland, Katharina Fraunbaum og Knut Wiik Vollset
7 - Referanser
Arechavala-Lopez, P., Uglem, I., Berg, M., Bjørn, P. A. & Finstad, B. (2016). Large-scale use of fish traps for monitoring sea trout (Salmo trutta) smolts and sea lice (Lepeophtheirus salmonis) infestations: efficiency and reliability. Marine Biology Research 12, 76-84.
Asplin, L., Johnsen, I. A., Sandvik, A. D., Albretsen, J., Sundfjord, V., Aure, J. & Boxaspen, K. K. (2014). Dispersion of salmon lice in the Hardangerfjord. Marine Biology Research 10, 216-225.
Bjørn, P. A., Finstad, B., Asplin, L., Skilbrei, O., Nilsen, R., Serra-Llinares, R. M. & Boxaspen, K. K. (2011). Metodeutvikling for overvåkning og telling av lakselus på viltlevende laksefisk. Rapport fra Havforskningen, nr. 8-2011. 58 s.
Bjørn, P. A., Nilsen, R., Serra-Llinares, R. M., Asplin, L og Boxaspen, K. K.
(Havforskningsinstituttet), Finstad, B., Uglem, I. og Berg, M. (NINA),
Kålås, S. (Rådgivende Biologer) og Barlaup, B. og Wiik-Vollset, K. (UNI-Miljø) (2012). Lakselusinfeksjonen på vill laksefisk langs Norskekysten i 2012. Sluttrapport til Mattilsynet. Rapport fra Havforskningen nr. 31-2012.
Bjørn, P. A., Nilsen, R., Serra-Llinares, R. M., Asplin, L., Johnsen, I. A., Karlsen, Ø. (Havforskningsinstituttet), Finstad, B., Berg, M., Uglem, I. (NINA), Barlaup, B., Wiik-Vollset, K. (UNI-Miljø) (2013). Lakselusinfeksjonen på vill laksefisk langs Norskekysten i 2013. Sluttrapport til Mattilsynet. Rapport fra Havforskningen. Nr. 32-2013.
Bush, A. O., Lafferty, K. D., Lotz, J. M. & Shostak, A. W. (1997). Parasitology meets ecology on its own terms: Margolis et al. revisited. Journal of Parasitology 83, 575-583.
Efron, B. & Tibshirani, R. (1993). An introduction to the bootstrap: Chapman & Hall, London, U.K.
Holst, J. C. & McDonald, A. (2000). FISH-LIFT: a device for sampling live fish with trawls. Fisheries Research 48, 87-91.
Johnsen, I. A., Asplin, L. C., Sandvik, A. D. & Serra-Llinares, R. M. (2016). Salmon lice dispersion in a northern Norwegian fjord system and the impact of vertical movements. Aquaculture Environment Interactions 8, 99-116.
Johnsen, I. A., Fiksen, Ø., Sandvik, A. D. & Asplin, L. (2014). Vertical salmon lice behaviour as a response to environmental conditions and its influence on regional dispersion in a fjord system. Aquaculture Environment Interactions 5, 127-141.
Lindenmayer, D. B. & Likens, G. E. (2009). Adaptive monitoring: a new paradigm for long-term research and monitoring. Trends in Ecology & Evolution 24, 482-486.
Myksvoll MS, Sandvik AD, Albretsen J, Asplin L, Johnsen IA, Karlsen Ø, et al. (2018) Evaluation of a national operational salmon lice monitoring system—From physics to fish. PLoS ONE 13(7): e0201338. https://doi.org/10.1371/journal.pone.0201338
Nilsen, F., Ellingsen, I., Finstad, B., Jansen, P.A., Karlsen, Ø., Kristoffersen, A., Sandvik, A.D., Sægrov, H., Ugedal, O., Vollset, K.W. & Myksvoll, M.S. 2017. Vurdering av lakselusindusert villfiskdødelighet per produksjonsområde i 2016 og 2017. Rapport fra ekspertgruppe for vurdering av lusepåvirkning. ISBN 978-82-8088-414-5.
Nilsen, R., Bjørn, P. A., Serra-Llinares, R. M., Asplin, L., Johnsen, I. A., Skulstad, O. F., Karlsen, Ø., Finstad, B., Berg, M., Uglem, I., Barlaup, B. & Vollset, K. W. (2014). Sluttrapport til Mattilsynet - Lakselusinfeksjonen på vill laksefisk langs norskekysten i 2014. Rapport fra Havforskningen, Nr. 36-2014.
Nilsen, R., Bjørn, P. A., Serra-Llinares, R. M., Asplin, L., Sandvik, A. D., Johnsen, I. A., Karlsen, Ø., Finstad, B., Berg, M., Uglem, I., Barlaup, B., Vollset, K. W. & Lehmann, G. B. (2016). Lakselusinfeksjonen på vill laksefisk langs norskekysten i 2015. En fullskala test av modellbasert varsling og tilstandsbekreftelse. Rapport fra Havforskningen, Nr. 2-2016.
Nilsen, R., Serra-Llinares, R. S., Sandvik, A. D., Schrøder-Elvik, K. M., Asplin, L., Bjørn, P. A., Johnsen, I. A. og Karlsen, Ø. (Havforskningsinstituttet), Finstad, B., Berg, M., Uglem, I. (Norsk institutt for naturforskning), Wiik-Vollset, K., Lehmann, G. B. (UNI Research – Miljø) (2017). Lakselusinfestasjon på vill laksefisk langs Norskekysten i 2016. Med vekt på modellbassert varsling og tilstandsbekreftelse. Rapport fra Havforskningen. Nr. 1-2017.
Nilsen, R., Schrøder-Elvik, K. M., Serra-Llinares, R. M., Sandvik, A. D., Asplin, L., Johnsen, I. A., Bjørn, P. A., Karlsen, Ø. (Havforskningsinstituttet), Finstad, B., Berg, M., Uglem, I (Norsk institutt for naturforskning), Lehmann, G. B. Og Wiik-Vollset, K. (UNI Research – Miljø)(2018). Lakselusinfestasjon på vill laksefisk langs Norskekysten i 2017. Rapport fra Havforskningen. Nr. 4-2018. ISSN 1893-4536 (online)
Nilsen, R., Schrøder-Elvik, K. M., Serra-Llinares, R. M., Sandvik, A. D., Kjær, R., Karlsen, Ø. (Havforskningsinstituttet), Finstad, B., Berg, M., (Norsk institutt for naturforskning), Lehmann, G. B. (NORCE)(2019). Lakselusinfestasjon på vill laksefisk langs Norskekysten i 2018. Sluttrapport til Mattilsynet. Rapport fra Havforskningen. Nr. 2019-22. ISSN 1893-4536.
Rozsa, L., Reiczigen, J. & Majoros, G. (2000). Quantifying parasites in samples of host. Journal of Parasitology 86, 228-232.
Sandvik, A. D., Bjørn, Pål A., Ådlandsvik, B., Asplin, L., Skarðhamar, J., Johnsen, I. A., Myksvoll, M. S. & Skogen, M. D. (2016). Toward a model-based prediction system for salmon lice infestation pressure. Aquaculture Environment Interactions 8, 527-542.
Schram, T. A., Knutsen, J. A., Heuch, P. A. & Mo, T. A. (1998). Seasonal occurrence of Lepeophtheirus salmonis and Caligus elongatus (Copepoda: Caligidae) on sea trout (Salmo trutta), off southern Norway. ICES Journal of Marine Science 55, 163-175.
Svåsand, T., Boxaspen, K. K., Karlsen, Ø., Kvamme, B. O., Stien, L. H. & Taranger, G. L. (2015). Risikovurdering norsk fiskeoppdrett 2014. Fisken og Havet, særnummer 2-2015, 172 s.
Svåsand, T., Karlsen, Ø., Kvamme, B. O., Stien, L. H., Taranger, G. L. & Boxaspen, K. K. (2016). Risikovurdering norsk fiskeoppdrett 2016. Fisken og Havet, særnummer 2-2016, 190 s.
Taranger, G. L., Karlsen, Ø., Bannister, R. J., Glover, K. A., Husa, V., Karlsbakk, E., Kvamme, B. O., Boxaspen, K. K., Bjørn, P. A., Finstad, B., Madhun, A. S., Morton, H. C. & Svåsand, T. (2015). Risk assessment of the environmental impact of Norwegian Atlantic salmon farming. ICES Journal of Marine Science 72, 997-1021.
Taranger, G. L., Svåsand, T., Bjørn, P. A., Jansen, P. A., Heuch, P. A., Grøntvedt, R. N., Asplin, L., Skilbrei, O. T., Glover, K. A., Skaala, Ø., Wennevik, V. & Boxaspen, K. K. (2012a). Forslag til førstegangs målemetode for miljøeffekt (effektindikatorer) med hensyn til genetisk påvirkning fra oppdrettslaks til villaks, og påvirkning av lakselus fra oppdrett på viltlevende laksefiskbestander. Fisken og Havet 13-2012, Veterinærinstituttets rapportserie Nr. 7-2012.
Taranger, G. L., Svåsand, T., Kvamme, B. O., Kristiansen, T. S. & Boxaspen, K. K. (2012b). Risikovurdering norsk fiskeoppdrett. Fisken og havet, Særnummer 2-2012. 131 s.
Taranger, G. L., Svåsand, T., Kvamme, B. O., Kristiansen, T. S. & Boxaspen, K. K. (2013). Risikovurdering norsk fiskeoppdrett 2012. Fisken og Havet, særnummer 2-2013, 164 s.
Taranger, G. L., Svåsand, T., Kvamme, B. O., Kristiansen, T. S. & Boxaspen, K. (2014). Risikovurdering norsk fiskeoppdrett 2013. Fisken og havet, Særnummer 2-2014.
8 - Appendiks
Appendikstabell 1. Fangst og infestasjonsdata for sjøørret/sjørøye fanget med ruse/garn. n angir antall undersøkte fisk på aktuelle stasjon og uke. Vekt er gjennomsnitt og oppgis i gram med største og minste verdi i parentes. Prevalens angir andel av materialet som ble funnet med lakselus og oppgis i prosent med 95% konfidensintervall i klammer bak. Intensitet omhandler kun den andelen av materialet som ble funnet med lakselus. Her er gjennomsnitt og medianverdi beregnet med 95 % konfidensintervall i klammer bak. Min og maks er laveste og høyeste observerte verdi på andelen med lus. IQR er interkvartil range og v/x er varians dividert med gjennomsnitt. Relativt antall lus er beregnet ut fra totalt antall lakselus per gram kroppsvekt hos fisken. Dette er oppgitt som medianverdi med 95 % konfidensintervall i klammer bak. Min og maks er laveste og høyeste verdi, og IQR er interkvartil range for relativt antall lus. Andelen med mer enn 0,1 lus per gram er oppgitt som prosent med 95 % konfidensintervall i klammer bak.
Intensitet
Relativt antall lus (lus/gr)
Stasjon
Uke
n
Vekt snitt (range)
Prev[95%KI]
snitt[95%KI]
median[95%KI]
min
maks
IQR
v/x
median[95%KI]
min
maks
IQR
%over 0.1[95% KI]
Flekkefjord
21
36
116(31-717)
89[75-96]
13[9-19]
8[6-10]
1
60
5.75
15.78
0.12[0.09-0.15]
0.01
0.43
0.08
53[37-68]
Sandnesfjord
20
50
205(28-882)
2[0-10]
1[1-1]
-
1
1
0
-
-
0
0
0
0[0-7]
22
43
106(23-922)
5[1-15]
1[1-1]
-
1
1
0
0
-
0
0
0
0[0-8]
Forsand
21
37
59(28-126)
38[24-54]
4[3-6]
3[1-7]
1
11
2.75
2.62
0.05[0.02-0.09]
0.01
0.16
0.06
5[1-18]
23
7
114(49-273)
86[49-99]
3[2-4]
2[1-6]
1
6
1
1.05
0.04[0.01-0.12]
0.01
0.12
0.03
14[1-51]
Nedstrand
22
32
65(31-238)
97[84-100]
5[4-6]
4[2-6]
1
13
4
2.35
0.07[0.04-0.11]
0.01
0.2
0.08
38[23-55]
YtreÅrdalsfjord
21
135
66(18-861)
41[34-50]
4[3-9]
2[1-2]
1
73
1
26.06
0.03[0.03-0.04]
0.01
0.11
0.03
1[0-4]
22
64
72(17-946)
61[49-72]
6[4-10]
3[2-5]
1
51
3.5
13.47
0.06[0.03-0.09]
0.01
0.32
0.08
17[10-28]
23
67
94(17-951)
82[71-89]
11[8-15]
5[3-12]
1
51
12.5
14.4
0.08[0.06-0.11]
0.02
0.88
0.2
31[22-43]
Holmefjord
22-23
23
293(22-2040)
96[79-100]
33[22-60]
20[8-36]
2
187
30.5
48.69
0.23[0.05-0.43]
0
1.82
0.49
65[45-81]
Ålvik
23
54
260(30-1590)
87[76-94]
20[16-26]
17[11-21]
1
74
17
13.12
0.08[0.06-0.14]
0.01
1.11
0.15
37[25-50]
Etne
21
179
93(18-844)
90[85-94]
7[5-8]
3[2-4]
1
53
6
10.12
0.06[0.05-0.07]
0.01
0.76
0.11
28[22-36]
23
60
252(30-2338)
98[91-100]
13[10-19]
7[5-9]
1
73
9.5
20.16
0.09[0.07-0.13]
0.01
0.53
0.09
45[33-58]
27
10
403(104-1294)
100[72-100]
132[63-335]
78[21-196]
17
640
65.25
263.37
0.42[0.03-1.17]
0.02
1.87
0.45
80[49-94]
28
33
588(61-1500)
100[90-100]
39[28-58]
22[17-43]
4
192
32
42.65
0.07[0.03-0.09]
0.01
0.64
0.07
27[15-44]
6-7
8
574(144-977)
100[68-100]
34[20-59]
-
6
93
15.25
22.13
-
0.01
0.22
0.09
38[14-69]
14-15
11
984(237-1938)
100[74-100]
26[15-41]
23[2-64]
1
65
27
19.98
0.02[0-0.04]
0
0.06
0.02
0[0-26]
Rosendal
22
53
317(15-1473)
87[75-93]
19[15-25]
14[7-22]
1
71
24.25
17.41
0.06[0.05-0.11]
0.01
0.79
0.08
34[23-47]
23
11
323(33-1450)
100[74-100]
9[6-13]
7[3-20]
2
21
7
4.81
0.09[0.01-0.21]
0
0.42
0.13
36[15-65]
Intensitet
Relativt antall lus (lus/gr)
Stasjon
Uke
n
Vekt snitt (range)
Prev[95%KI]
snitt[95%KI]
median[95%KI]
min
maks
IQR
v/x
median[95%KI]
min
maks
IQR
%over 0.1[95% KI]
Herdlafjorden
21
38
541(125-2745)
100[91-100]
76[59-95]
71[36-97]
1
203
87.25
44.3
0.14[0.08-0.22]
0
0.88
0.18
58[42-72]
22
29
252(32-690)
100[88-100]
52[40-66]
42[25-69]
5
129
49
25.6
0.22[0.16-0.38]
0.02
0.9
0.25
79[62-90]
23
55
331(25-3825)
100[93-100]
50[38-65]
37[24-57]
1
223
69
48.48
0.16[0.12-0.22]
0.01
1.85
0.23
75[62-84]
Herøyosen
21
83
114(18-1247)
100[96-100]
61[51-76]
48[30-62]
6
330
58
50.44
0.61[0.51-0.8]
0.06
2.81
0.55
96[90-99]
22
79
94(24-525)
100[95-100]
73[61-86]
55[33-91]
5
295
87
45.52
0.72[0.56-0.88]
0.09
3.16
0.94
99[93-100]
23
66
140(27-1245)
100[94-100]
88[76-101]
84[65-106]
1
195
82.75
29.86
0.99[0.7-1.42]
0.03
4.21
1.53
95[87-98]
Balestrand
22
63
84(14-581)
100[94-100]
32[27-39]
27[20-36]
2
134
32.5
18.61
0.59[0.4-0.78]
0.06
3.72
0.71
89[79-95]
23-24
32
130(14-1311)
94[80-98]
40[26-78]
24[13-32]
1
326
41.5
91.03
0.45[0.11-0.66]
0.02
6.27
0.68
66[48-80]
Bjordal
7
1
219(219-219)
0[0-95]
-
-
-
-
-
-
-
-
-
-
0[0-95]
14
1
360(360-360)
100[5-100]
4[4-4]
-
4
4
0
-
-
0.01
0.01
0
0[0-95]
15
1
64(64-64)
0[0-95]
-
-
-
-
-
-
-
-
-
-
0[0-95]
22
58
94(18-772)
100[94-100]
31[23-43]
16[12-28]
1
192
35.25
44.12
0.25[0.16-0.33]
0.03
2.72
0.51
69[56-79]
23
65
98(23-844)
100[94-100]
50[40-68]
33[26-40]
6
302
38
62.68
0.56[0.37-0.7]
0.04
6.43
0.68
92[83-97]
27-28
18
107(26-378)
83[61-94]
21[13-30]
16[2-38]
1
52
30
15.86
0.15[0.01-0.74]
0.01
1.07
0.5
50[29-71]
Maurstadvika
22
14
44(27-74)
93[69-100]
14[7-25]
10[1-23]
1
50
12
18.81
0.22[0.03-0.57]
0.02
1.32
0.45
57[33-79]
23
54
91(27-639)
100[93-100]
20[16-25]
14[11-21]
1
71
17.5
14.94
0.26[0.18-0.31]
0.01
0.9
0.3
81[69-90]
24
30
140(31-607)
93[79-98]
17[12-27]
8[5-20]
1
82
18.25
22.03
0.1[0.03-0.38]
0
1.21
0.39
47[30-64]
Risnefjorden
14-15
19
697(94-2200)
95[75-100]
59[40-90]
53[18-79]
4
211
57.25
46.75
0.06[0.04-0.11]
0.02
0.53
0.06
26[12-49]
27-28
28
211(34-1294)
96[82-100]
49[32-75]
27[3-75]
1
233
67
62.6
0.12[0.06-0.49]
0.01
2.89
0.36
57[39-73]
Intensitet
Relativt antall lus (lus/gr)
Stasjon
Uke
n
Vekt snitt (range)
Prev[95%KI]
snitt[95%KI]
median[95%KI]
min
maks
IQR
v/x
median[95%KI]
min
maks
IQR
%over 0.1[95% KI]
Frænfjord
23
217
32(11-182)
98[95-99]
30[26-35]
22[18-25]
1
231
29.25
34.59
0.74[0.66-0.88]
0.03
4.1
0.91
92[87-95]
24
119
42(14-454)
100[97-100]
49[45-56]
44[40-48]
3
261
28
20.03
1.51[1.25-1.64]
0.05
3.8
1.13
98[94-100]
Vatnefjorden
21
80
62(17-540)
70[59-79]
20[13-32]
3[2-8]
1
160
24.75
57.18
0.12[0.08-0.21]
0.02
2.82
0.23
38[28-48]
22
57
65(15-680)
79[67-88]
35[25-47]
22[13-34]
1
145
41
40.8
0.47[0.26-0.7]
0.02
3.04
0.71
65[52-76]
25
27
88(19-253)
100[88-100]
58[46-71]
47[37-83]
5
123
50
20.6
0.75[0.55-1.14]
0.11
3.28
0.83
100[88-100]
26
34
86(21-294.5)
100[90-100]
68[53-88]
59[39-85]
2
221
64
39.07
0.99[0.38-1.68]
0.04
3.62
1.39
94[81-98]
Sykkylven
24
95
80(14-644)
80[71-87]
50[35-72]
18[6-29]
1
346
58.75
130.04
0.28[0.09-0.62]
0
6.53
0.78
45[36-55]
22-23
48
172(13-4888)
88[75-94]
26[16-42]
8[6-18]
1
153
20.5
66.26
0.18[0.12-0.27]
0
3.34
0.23
69[55-80]
Voldsfjorden
22
2
29(26-32)
100[34-100]
32[28-32]
-
28
37
4.5
1.25
-
1.08
1.16
0.04
100[34-100]
Ørsta
22
70
126(24-3700)
100[95-100]
32[25-42]
21[15-26]
3
184
27.5
37.11
0.35[0.23-0.47]
0.04
4.46
0.53
91[83-96]
23
106
71(18-1266)
99[95-100]
60[50-76]
51[33-62]
2
451
65
74.42
0.86[0.61-1.15]
0.02
9.14
1.38
87[79-92]
24
14
104(26-488)
100[78-100]
85[65-112]
75[56-118]
9
197
41.75
24.12
1.36[0.95-2.65]
0.02
4.48
1.16
93[69-100]
Agdenes
23
14
161(40-398)
79[52-92]
9[6-13]
9[3-16]
2
20
10
3.79
0.05[0.02-0.22]
0.01
0.38
0.11
29[12-55]
24
33
157(17-1754)
100[90-100]
57[44-77]
47[25-65]
5
205
50
40.5
0.72[0.44-0.82]
0.02
1.39
0.47
85[69-93]
25
36
638(31-3148)
100[90-100]
22[18-29]
20[14-26]
1
78
19.5
13.53
0.22[0.02-0.39]
0
1.08
0.47
61[45-75]
Asserøy
23
35
296(25-1013)
89[74-95]
26[18-41]
18[8-25]
2
136
22
35.62
0.07[0.03-0.16]
0.01
0.41
0.14
37[23-54]
25
5
146(29-437)
60[23-88]
6[1-10]
-
1
12
5.5
5.17
-
0.01
0.31
0.15
20[1-62]
Sitter
23
36
217(24-1060)
100[90-100]
43[32-57]
32[18-48]
2
167
36.75
33.64
0.49[0.14-0.78]
0.02
1.81
0.73
78[62-88]
24
18
248(28-1515)
100[82-100]
61[43-95]
55[27-83]
3
233
54.75
46.09
1.09[0.46-1.59]
0
2.22
1.05
83[61-94]
25
37
242(20-1640)
100[91-100]
43[34-62]
39[28-45]
1
222
34
37.45
0.59[0.1-1.03]
0.02
2.32
1.05
65[49-78]
Vikna
24
40
98(32-595)
98[87-100]
12[9-17]
6[5-12]
1
49
10
12.9
0.1[0.06-0.17]
0.01
1.05
0.16
45[31-60]
25
28
179(69-630)
100[88-100]
17[14-23]
16[12-19]
3
56
7.5
7.15
0.12[0.08-0.15]
0.02
0.3
0.08
61[42-76]
YtreNamsen
23
28
302(38-1380)
46[30-64]
22[6-65]
2[1-41]
1
162
3
97.75
0.02[0-0.05]
0
0.18
0.04
4[0-18]
24
102
151(23-595)
50[40-60]
4[3-5]
2[1-3]
1
20
3.5
5.41
0.02[0.01-0.02]
0
0.24
0.03
3[1-8]
25
65
256(48-975)
97[89-99]
37[29-49]
22[18-29]
1
194
33
40.64
0.1[0.08-0.15]
0.01
2.55
0.18
49[37-61]
Intensitet
Relativt antall lus (lus/gr)
Stasjon
Uke
n
Vekt snitt (range)
Prev[95%KI]
snitt[95%KI]
median[95%KI]
min
maks
IQR
v/x
median[95%KI]
min
maks
IQR
%over 0.1[95% KI]
Gildeskål
25-26
14
102(27-380)
86[60-96]
38[26-52]
16[7-80]
7
80
38.25
15.22
0.29[0.14-0.99]
0.14
0.99
0.32
86[60-96]
Leirfjorden
24
29
70(37-412)
0[0-12]
-
-
-
-
-
-
-
-
-
-
0[0-12]
26
32
82(30-369)
12[5-28]
2[1-3]
-
1
4
1.5
1
-
0.01
0.05
0.01
0[0-11]
Meløy
26
12
335(33-880)
100[76-100]
46[34-63]
46[21-59]
11
106
29.75
14.43
0.27[0.08-0.49]
0.06
0.61
0.4
67[39-86]
24-25
14
180(33-844)
100[78-100]
47[33-65]
30[18-77]
12
116
43.25
21.31
0.42[0.1-0.91]
0.08
1.16
0.63
86[60-96]
Skjerstadfjorden
25
56
104(31-1884)
39[28-52]
3[2-4]
2[1-3]
1
10
2
1.75
0.03[0.01-0.04]
0
0.15
0.03
2[0-9]
Steigen
25
27
218(28-2280)
56[37-72]
7[4-11]
5[1-11]
1
23
9
7.46
0.03[0.02-0.12]
0
0.82
0.1
19[8-37]
26
35
80(42-173)
100[90-100]
24[18-34]
12[9-24]
3
104
37.5
24.14
0.17[0.11-0.41]
0.03
1.86
0.5
71[55-84]
Viki Vesterålen
27
36
315(36-1278)
94[82-98]
14[11-18]
11[8-19]
1
39
12.75
7.69
0.05[0.03-0.08]
0
0.51
0.07
22[12-38]
24-25
31
98(27-431)
45[29-62]
7[5-14]
6[1-11]
1
31
5.5
8.59
0.05[0.02-0.12]
0.01
0.29
0.05
10[3-25]
Øksfjord
26
22
103(40-251)
77[57-90]
16[11-21]
15[9-19]
1
37
10
6.59
0.11[0.08-0.21]
0.02
0.32
0.13
41[23-61]
Finnsnes
27
50
231(22-3000)
84[71-92]
31[20-53]
10[7-21]
1
270
29.5
83.82
0.11[0.06-0.22]
0.01
3.07
0.21
52[39-65]
28
141
115(4-1557)
85[78-90]
37[28-49]
7[6-11]
1
310
54.75
89.95
0.13[0.1-0.17]
0.01
6.07
0.24
50[42-58]
Løksebotn
28
75
127(35-1003)
99[93-100]
18[15-24]
13[10-16]
1
110
16.75
19.75
0.15[0.12-0.19]
0.02
1.25
0.12
71[60-80]
Malangen
27
24
65(27-193)
8[2-26]
1[1-2]
-
1
2
0.5
0.33
-
0.02
0.02
0
0[0-14]
28
17
374(35-1389)
12[3-34]
1[1-2]
-
1
2
0.5
0.33
-
0
0
0
0[0-18]
29
39
218(38-1265)
18[9-33]
2[1-2]
1[1-3]
1
3
1
0.39
0.01[0-0.04]
0
0.04
0.02
0[0-9]
32
84
352(32-1640)
82[73-89]
10[7-15]
3[2-6]
1
97
8
29.3
0.01[0.01-0.02]
0
0.53
0.02
5[2-12]
Nordreisa
27
30
101(23-536)
7[2-21]
1[1-1]
-
1
1
0
0
-
0
0.02
0.01
0[0-11]
29
52
384(45-2718)
58[44-70]
4[3-7]
2[2-3]
1
29
2
6.82
0.01[0.01-0.01]
0
0.08
0.01
0[0-7]
Ringvassøy
27
9
940(288-1883)
100[70-100]
26[13-45]
13[6-56]
5
72
37
24.39
0.02[0.01-0.07]
0
0.1
0.02
0[0-30]
Intensitet
Relativt antall lus (lus/gr)
Stasjon
Uke
n
Vekt snitt (range)
Prev[95%KI]
snitt[95%KI]
median[95%KI]
min
maks
IQR
v/x
median[95%KI]
min
maks
IQR
%over 0.1[95% KI]
Handelsbukt
29
25
127(51-349)
44[27-63]
12[6-21]
7[1-23]
1
41
17.5
13.85
0.05[0.01-0.27]
0
0.46
0.2
16[6-35]
30
58
293(37-1465)
69[56-79]
4[3-5]
3[2-4]
1
22
3
4.15
0.01[0.01-0.02]
0
0.12
0.02
2[0-9]
Lerresfjord
28
9
807(82-2480)
67[35-88]
12[6-22]
8[3-31]
3
31
11
10
0.01[0-0.03]
0
0.03
0.02
0[0-30]
Skillefjord
28
16
154(36-617)
94[72-100]
11[7-18]
7[3-14]
1
36
10.5
10.4
0.1[0.03-0.18]
0
0.26
0.14
50[28-72]
29
52
653(50-2836)
90[79-96]
13[10-17]
8[7-12]
1
57
14
11.73
0.02[0.01-0.04]
0
0.21
0.04
8[3-18]
Talvik
28
27
318(23-1820)
59[41-75]
6[4-9]
6[2-8]
1
17
5.25
3.43
0.04[0.01-0.13]
0
0.2
0.08
15[6-32]
29
44
407(27-1806)
82[68-90]
15[10-20]
7[5-13]
1
51
20.5
16.47
0.05[0.03-0.07]
0
0.27
0.08
18[10-32]
30
14
456(70-2020)
100[78-100]
33[24-44]
30[12-55]
5
71
28.25
12.5
0.14[0.03-0.45]
0.01
1
0.33
57[33-79]
Bugøyfjord
29
48
132(52-546)
96[86-99]
7[5-9]
5[4-8]
1
34
7.75
5.69
0.05[0.03-0.08]
0.01
0.21
0.08
23[13-37]
31
53
133(56-651)
87[75-93]
6[4-7]
4[2-6]
1
22
5.75
4.19
0.04[0.03-0.07]
0
0.21
0.07
15[8-27]
Jarfjord
30
25
82(54-155)
84[65-94]
2[2-2]
2[1-3]
1
4
2
0.43
0.02[0.02-0.03]
0.01
0.05
0.01
0[0-13]
31
23
275(46-1268)
83[63-93]
2[2-3]
2[1-4]
1
6
2.5
1.14
0.01[0.01-0.03]
0
0.05
0.02
0[0-14]
Tanafjord
29
37
174(55-835)
32[20-49]
2[1-2]
2[1-2]
1
3
1
0.28
0.01[0-0.03]
0
0.05
0.02
0[0-9]
30
20
179(80-490)
40[22-61]
1[1-2]
1[1-2]
1
2
0.25
0.17
0.01[0-0.02]
0
0.02
0.01
0[0-16]
Appendikstabell 2. Fangst og infestasjonsdata for trålfanget laks ogsjøørret. n angir antall undersøkte fisk på aktuelle stasjon og uke. Vekt er gjennomsnitt og oppgis i gram med største og minste verdi i parentes. Prevalens angir andel av materialet som ble funnet med lakselus og oppgis i prosent med 95 % konfidensintervall i klammer bak. Intensitet omhandler kun den andelen av materialet som ble funnet med lakselus og oppgis som gjennomsnitt med 95 % konfidensintervall i klammer bak. Min og maks er laveste og høyeste observerte verdi på andelen med lus. Andelen med mer enn 0,1 lus pergram er oppgitt som prosent med 95 % konfidensintervall i klammer bak.
Intensitet
Fjordsystem
Art
Uke
n
Vekt
Prev[95%CI]
snitt[95%CI]
min
maks
%>0.1 rel. antall lus
Boknafjord
Laks
18
57
23(11-50)
12[6-23]
1[1-1]
1
1
0[0-6]
19
121
24(13-39)
36[28-44]
2[2-4]
1
20
12[8-19]
20
169
26(11-64)
3[1-7]
2[1-2]
1
4
1[0-3]
21
216
24(7-91)
15[11-20]
1[1-1]
1
2
0[0-2]
Ørret
18
3
334(220-472)
100[44-100]
20[1-31]
1
35
33[2-79]
19
2
790(255-1324)
100[34-100]
48[43-48]
43
52
50[3-97]
21
2
553(545-561)
100[34-100]
19[9-19]
9
29
0[0-66]
Midtre Hardangerfjord
Laks
20
8
30(17-67)
12[1-47]
7[7-7]
7
7
12[1-47]
21
22
25(13-56)
73[52-87]
5[2-12]
1
32
27[13-48]
22
5
24(15-35)
100[57-100]
4[2-7]
1
9
60[23-88]
Ørret
20
12
45(28-78)
58[32-81]
4[2-7]
1
11
8[0-35]
21
53
38(18-106)
83[71-91]
5[4-7]
1
22
42[29-55]
22
77
37(6-91)
91[82-96]
8[7-11]
1
46
73[62-81]
YtreHardangerfjord
Laks
19
55
26(13-74)
44[31-57]
2[2-4]
1
10
11[5-22]
20
121
22(12-54)
29[22-38]
3[3-5]
1
15
13[8-20]
21
64
22(10-47)
17[10-28]
2[1-3]
1
5
2[0-8]
22
27
27(16-66)
41[25-59]
5[3-7]
1
11
19[8-37]
Ørret
19
3
277(178-333)
100[44-100]
78[25-124]
25
164
67[21-98]
20
4
162(31-253)
75[30-99]
32[31-33]
31
34
75[30-99]
21
3
39(26-51)
67[21-98]
29[9-30]
9
50
67[21-98]
22
2
55(52-58)
100[34-100]
24[22-24]
22
27
100[34-100]
YtreSognefjord
Laks
19
90
18(8-38)
98[92-99]
22[19-24]
1
62
94[88-98]
20
48
18(10-36)
94[83-98]
29[22-38]
1
115
85[73-93]
21
20
23(14-62)
60[39-78]
6[2-15]
1
33
30[15-52]
22
171
22(11-72)
100[98-100]
28[26-31]
3
90
98[95-99]
Ørret
19
1
18(18-18)
100[5-100]
39[39-39]
39
39
100[5-100]
20
1
32(32-32)
100[5-100]
10[10-10]
10
10
100[5-100]
21
5
22(17-32)
100[57-100]
5[1-10]
1
14
60[23-88]
22
6
104(21-398)
83[44-99]
53[15-67]
4
69
83[44-99]
Ytre Nordfjord
Laks
21
67
26(14-87)
33[23-45]
3[2-6]
1
21
6[2-14]
22
4
26(20-36)
25[1-70]
2[2-2]
2
2
0[0-49]
Ørret
21
22
158(24-308)
68[47-84]
13[6-25]
1
53
23[10-43]
22
2
90(48-132)
100[34-100]
3[1-4]
1
6
50[3-97]
Forts. Appendikstabell 2.
Intensitet
Fjordsystem
Art
Uke
n
Vekt
Prev[95%CI]
snitt[95%CI]
min
maks
%>0.1 rel. antall lus
Romsdalsfjord
Laks
20
26
17(10-49)
88[71-96]
19[13-29]
1
69
77[58-89]
21
73
21(14-38)
84[73-90]
8[4-22]
1
200
56[45-67]
22
6
23(20-32)
67[30-90]
13[4-25]
4
32
67[30-90]
Ørret
20
1
423(423-423)
100[5-100]
482[482-482]
482
482
100[5-100]
21
6
142(25-395)
100[61-100]
73[34-104]
16
124
100[61-100]
22
1
412(412-412)
100[5-100]
27[27-27]
27
27
0[0-95]
Nordmøre
Laks
20
12
18(11-28)
50[25-75]
2[1-2]
1
3
25[9-53]
21
89
22(9-83)
47[37-57]
3[2-4]
1
19
13[8-22]
22
4
33(21-60)
50[15-85]
17[14-17]
14
20
50[15-85]
Ørret
20
17
202(83-592)
100[82-100]
19[11-42]
1
117
24[10-47]
21
80
293(40-791)
99[93-100]
33[25-51]
2
374
35[25-46]
22
11
194(58-800)
91[62-100]
15[10-23]
1
39
36[15-65]
Trondheimsfjord
Laks
19
75
12(5-27)
3[1-9]
1[1-1]
1
1
3[1-9]
20
58
12(6-22)
3[1-12]
1[1-1]
1
1
0[0-6]
21
108
11(6-23)
11[6-18]
1[1-1]
1
2
2[1-7]
22
153
14(7-36)
13[9-19]
2[1-2]
1
5
5[3-10]
23
64
11(6-20.5)
3[1-11]
1[1-1]
1
1
0[0-6]
24
30
13(8-20.5)
13[5-30]
7[1-16]
1
21
7[2-21]
Namsenfjord
Laks
23
22
16(10-26)
14[5-33]
1[1-1]
1
1
0[0-15]
24
5
18(11-24)
20[1-62]
1[1-1]
1
1
0[0-43]
Ørret
23
294
258(23-722)
59[53-65]
11[9-14]
1
68
5[3-9]
24
96
341(89-731)
98[93-99]
27[22-34]
1
132
33[25-43]
Ytre Altafjord
Laks
26
365
26(11-62)
13[10-17]
1[1-1]
1
3
1[0-2]
27
72
26(17-41)
6[2-13]
2[1-3]
1
4
1[0-7]
28
44
25(14-37)
9[4-21]
2[1-2]
1
3
2[0-12]
29
13
31(20-57)
23[8-50]
2[1-2]
1
2
0[0-23]
Appendiks tabell 3. Fangst og infestasjonsdata for laks og sjøørret fanget på lakseruse. n angir antall undersøkte fisk på aktuelle stasjon og uke. Vekt er gjennomsnitt og oppgis i gram med største og minste verdi i parentes. Prevalens angir andel av materialet som ble funnet med lakselus og oppgis i prosent med 95 % konfidensintervall i klammer bak. Intensitet omhandler kun den andelen av materialet som ble funnet med lakselus og oppgis som gjennomsnitt med 95 % konfidensintervall i klammer bak. Min og maks er laveste og høyeste observerte verdi på andelen med lus. Andelen med mer enn 0,1 lus pergram er oppgitt som prosent med 95 % konfidensintervall i klammer bak.
Intensitet
Fjordsystem
Art
Uke
n
Vekt
Prev[95%CI]
snitt[95%CI]
min
maks
%>0.1 rel.int
Boknafjord
Laks
19
2
10(10-10)
0[0-66]
-
-
-
0[0-66]
Ørret
19
27
269(25-1528)
89[72-96]
33[20-54]
1
155
37[22-56]
20
125
160(16-1106)
92[86-96]
13[10-16]
1
84
29[22-37]
Herdlafjord
Laks
22
1
47(47-47)
100[5-100]
6[6-6]
6
6
100[5-100]
23
3
44(25-65)
67[21-98]
2[2-2]
2
2
0[0-56]
Måløy
Laks
20
4
31(20-37)
100[51-100]
8[2-20]
1
25
50[15-85]
21
7
30(17-37)
71[36-92]
4[1-9]
1
14
17[1-56]
Ørret
20
63
80(16-675)
98[92-100]
36[28-46]
1
140
84[73-91]
21
90
62(26-242)
100[96-100]
24[19-29]
1
92
81[72-88]
Altafjord
Ørret/Røye
28
12
930(360-1786)
100[76-100]
48[28-78]
2
143
17[5-45]
29
16
699(128-1660)
100[81-100]
75[48-145]
13
363
50[28-72]
Appendiksfigur 1. Plassering av vaktbur med nummerering i Boknafjord, Hardangerfjord, Sognefjord og Vikna.
Appendikstabell 3. Tidsperiode, burnummer (Bur #), antall fisk (n) og gjennomsnittlig antall lakselus på fisk i vaktbur i Boknafjord,Hardangerfjord, Sognefjord og Vikna.