Lakselusinfestasjon på vill laksefisk langs Norskekysten i 2020
—
Sluttrapport til Mattilsynet
Forfatter(e):
Rune Nilsen
, Rosa Maria Serra-Llinares
, Anne Dagrun Sandvik
, Ingrid Askeland Johnsen
, Agnes Marie Mohn
, Ørjan Karlsen
(HI), Gunnar Bekke Lehmann (NORCE), Ina Bakke Birkeland (NORCE), Elisabeth Stöger (NORCE), Robert Lennox (NORCE), Ingebrigt Uglem (NINA) og Maruis Berg (NINA)
Salmon lice infestation on wild salmonids in Norway in 2020
Final report
The surveillance program for salmon lice on wild salmonids (NALO) was carried out in 2020 on behalf of the Norwegian Food Safety Authority (MT) and the Norwegian Ministry of Trade, Industry and Fisheries (NFD). As in previous years, a hydrodynamic dispersal model that calculates the density of infectious salmon lice in the water was run weekly for the entire Norwegian coast. Efforts to monitor migrating post-smolt salmon have been kept at the same level as in 2019. For sea trout, surveillance efforts have been differentiated between traditional situation confirmation and an extended surveillance in six focus areas along the coast in 2020. As a result, fewer stations were sampled in 2020 than in previous years, while monitoring in the focus areas has been intensified. In 2020, sentinel cages were only used in the Hardangerfjord system. In addition, attempts were made to use specially built fyke nets to catch migrating salmon at two localities. Investigations were carried out using one or more of the above methods in all 13 production areas along the coast. The fieldwork in NALO started on 27 April in southern Norway and ended on 26 July in eastern Finnmark.
Results are presented with maps, tables and figures for each of the 13 production areas from south to north. In addition, more detailed results are given in tables in a separate appendix. The established threshold for the set off for negative physiological effect from salmon lice is 0.1 lice per gram of body weight and this is illustrated in most figures. In the summary, a comprehensive assessment has been made of the lice situations on wild salmonids along the entire coast both in 2020 and in a slightly longer perspective. An assessment of the risk of wild salmonids has not been made in this report. The terms small, moderate and high are used to illustrate differences in time and space and are therefore not defined quantitatively. The results are shown for each of the 13 production areas, while the summary is more general. In addition, a short presentation is given on the development of an effect indicator for salmon lice on sea trout and a status update on data collection in connection with the evaluation of national salmon fjords.
Sammendrag
Overvåkingsprogrammet for lakselus på vill laksefisk (NALO) er i 2020 gjennomført på oppdrag fra Mattilsynet (MT) og Nærings- og Fiskeridepartementet (NFD). En hydrodynamisk spredningsmodell som beregner tetthet av infektive lakseluskopepoditter i vannmassene ble som tidligere år kjørt ukentlig for hele Norskekysten. Innsatsen på overvåking av utvandrende postsmolt laks er holdt på samme nivå som i 2019. På sjøørret er innsatsen i overvåkingen i 2020 differensiert mellom tradisjonell tilstandsbekreftelse og utvidet overvåking i seks fokusområder langs kysten. Som en konsekvens av dette er det undersøkt færre stasjoner i 2020 enn tidligere år, mens overvåkingen i fokusområdene er intensivert. Vaktbur ble i 2020 kun benyttet i Hardangerfjordsystemet. I tillegg ble det forsøkt å benytte spesialbyggede ruser til fangst av utvandrende laks ved to lokaliteter. Det ble gjort undersøkelser med en eller flere av ovennevnte metoder i samtlige 13 produksjonsområder langs kysten. Feltarbeidet i NALO startet 27. april i Sør-Norge og ble avsluttet 26 juli i Øst-Finnmark.
Resultatene er presentert med kart, tabeller og figurer for hvert av de 13 produksjonsområdene fra sør til nord. I tillegg er mer detaljerte resultater oppgitt i tabeller i et eget appendiks til rapporten. Den etablerte grensen for begynnende negativ fysiologisk effekt fra lakselus er på 0,1 lus per gram kroppsvekt, og er illustrert i de fleste figurene. I oppsummeringen er det gjort en helhetlig vurdering av lusesituasjonene på vill laksefisk langs hele kysten både i 2020 og i et litt lengre perspektiv. Vurdering av risiko for vill laksefisk er ikke gjort i denne rapporten. Begrepene lite, moderat og mye benyttes for å illustrere forskjeller i tid og rom og er derfor ikke definert kvantitativt. Resultatene er vist for hvert av de 13 produksjonsområdene, mens oppsummeringen er mer generell. I tillegg blir det gitt en kort presentasjon om utvikling av effektindikator for lakselus på sjøørret og en statusoppdatering på datainnsamling i forbindelse med evaluering av nasjonale laksefjorder.
1 - Mål
Havforskningsinstituttet (HI) har på oppdrag fra Mattilsynet (MT) og Nærings- og fiskeridepartementet (NFD) ansvaret for å koordinere overvåking, forskning og rådgivning vedrørende lakselusinfestasjon på vill laksefisk langs norskekysten. MTs OK-program 56827 «Lakselusovervåking» har som mål at lakselus skal overvåkes og kartlegges med hensyn til påvirkning og effekt av lakselus på ville bestander av laksefisk (laks, sjøørret og sjørøye). Overvåkingen inngår i et større NFD prosjekt som til sammen skal dekke produksjonsområdene langs Norskekysten generelt, i nasjonale laksefjorder spesielt og i den enkelte elv. Til sammen skal lakselusovervåkingen ved HI skaffe datagrunnlag til rådgivning i forbindelse med vurdering av bærekraft for havbruksnæringen (produksjonssoneforskriften), for å evaluere effekten av forvaltningstiltak som nasjonale laksefjorder og andre relevante problemstillinger i forbindelse med lakselus på vill laksefisk. Overvåkingsprogrammet for lakselus på vill laksefisk 2020 følger opp anbefalingene i rapporten «Forslag til førstegenerasjons målemetoder for miljøeffekt (effektindikatorer) med hensyn til genetisk påvirkning fra oppdrettslaks til villaks, og påvirkning av lakselus fra oppdrett på viltlevende laksefiskbestander» (Taranger mfl., 2012a).
2 - Innledning
Siden 2012 har det nasjonale overvåkingsprogrammet for lakselus på vill laksefisk (NALO) vært under kontinuerlig utvikling basert på anbefalingene i «indikatorrapporten» (Taranger mfl., 2012a), samt andre relevante forsknings- og rådgivningsoppgaver. Feltinnsatsen har i denne perioden blitt betydelig styrket, og det har blitt lagt mer vekt på økt systemforståelse (hydrografi og oppdrettsdata m.m.). Infestasjonsdata fra villfisk har i stadig større grad blitt koblet opp mot hydrodynamiske spredningsmodeller for lakselus (Taranger mfl., 2012b; 2013; 2014; 2015; Nilsen mfl., 2014; 2016; Svåsand mfl., 2015; 2016). Kombinasjonen av overvåkning med tradisjonelle observasjoner og ulike modellprodukt gir oss bedre innsikt i problemstillingen samt øker kvaliteten og reduserer usikkerheten i leveransene.
Spredningsmodellen, som benytter rapporterte luseverdier og biomassetall fra oppdrett som kildedata, gir informasjon om risikoen for smitte av lakselus på vill laksefisk. Dette muliggjør en risikobasert adaptiv overvåking i tråd med Lindenmayer & Likens (2009), og vil imøtekomme noen av utfordringene vi ser med en tradisjonell fysisk overvåking av hele norskekysten.
I 2014 ble systemet med risikobasert overvåking testet i ett av områdene i NALO-programmet. Dette ble gjort ved at mengden infektive kopepoditter beregnet med spredningsmodellen for lakselus ble lagt til grunn for valg av hvilke lokaliteter som skulle undersøkes. Tilstandsbekreftelsen fra de undersøkte lokalitetene viste samsvar med forventningene fra spredningsmodellen (Nilsen mfl., 2014). Systemet med risikobasert overvåking ble derfor videreført som en fullskala test i 2015 hvorpå resultater fra alle undersøkte stasjoner i NALO-programmet ble vurdert i lys av modellert tetthet av kopepoditter i tiden like før (Nilsen mfl. 2016). De siste årene har modellen i stor grad vært benyttet som et verktøy for å varsle om tilfeller med spesielt høyt smittepress i kritiske perioder for villfisk (Nilsen mfl., 2017; 2018; 2019).
I løpet av de siste årene har det blitt gjort betydelige fremskritt i arbeidet med å koble modellresultater med reelle smittetall på vill laksefisk (Asplin mfl., 2014; Johnsen mfl., 2014, 2016, 2020a; Sandvik mfl., 2016, 2020 og Myksvoll mfl. 2018). Metodikken med tradisjonell fysisk overvåking bør opprettholdes parallelt med modellbasert overvåking. Samtidig er det hensiktsmessig å bruke feltinnsatsen i NALO-programmet til ytterligere å studere sammenhengen mellom modell og empiri på det store antallet stasjoner som undersøkes langs kysten. I 2020 ble ingen stasjoner undersøkt som følge av resultater fra spredningsmodellen.
I 2020 var tidsperiodene for datainnsamling på postsmolt laks omtrent uendret fra 2018 og 2019. Det ble ikke forsøkt å dekke flere områder som i 2019 da en ønsket mest mulig sammenhengende dataserie fra de utvalgte seks fjordsystemene. For sjøørret og sjørøye ble antall undersøkte stasjoner redusert i forhold til de siste årene. Delvis på grunn av endringer i budsjett, men også på grunn av omlegging til fokusområder med større innsats over et lengre tidsrom. I 2020 ble det gjennomført overvåking i totalt seks fokusområder fra Hardangerfjorden i sør til Altafjorden i nord. I tillegg ble det undersøkt minst en stasjon i hvert av de resterende produksjonsområdene. Feltinnsatsen i fokusområdene ble lagt til tidsrommet like etter forventet smoltutvandring fra elvene i området. I de resterende områdene for tilstandsbekreftelse på sjøørret og sjørøye ble innsatsen lagt til tidsrommet hvor tidligere års data har vist gode fangster. For de aller fleste områdene blir dette noen uker etter forventet smoltutvandring fra elvene. Undersøkelser med vaktbur ble opprettholdt i ett fjordsystem, Hardangerfjorden, hvor vi har de lengste tidsseriene for denne metodikken. Det ble gjennomført 3 runder med vaktbur på 14 dager, og med tilsyn hos fisken etter 7 dager.
Ekspertgruppen for Trafikklyssystemet har i løpet av høsten 2020 levere en generell vurdering av bærekraften i de ulike produksjonsområdene. Data fra NALO-programmet er viktige bidrag i denne prosessen. På grunn av dette vil vi i mindre grad enn tidligere år komme med vurderinger av forventet effekt fra lakselus på vill laksefisk i denne rapporten. Resultatene blir presentert med mindre tekst og beskrivelser på samme måte som for i 2019 (Nilsen mfl. 2020). Det blir likevel gjort en generell oppsummering i siste del av rapporten hvor resultatene sees i et større perspektiv og hvor en forsøker å belyse eventuelle trender i observasjonene. Prosessen med å koble modellresultater og påslag av lakselus hos villfisk er under rask utvikling. Det blir derfor heller ikke bli gjort foreløpige vurderinger av samsvar mellom modell og empiri slik det har vært presentert i enkelte tidligere rapporter. En slik vurdering blir gjort som egne vitenskapelige arbeider hvor blant annet data fra overvåkingsprogrammet blir inkludert. Det er likevel mulig å vurdere data som presenteres her med data fra spredningsmodell for samtlige områder og perioder på nettsiden lakselus.no. Analyser og beregninger av dose (smittepress) og respons (infeksjonsbelastning) på villfisk blir presentert i Havforskningsinstituttets risikovurdering av norsk fiskeoppdrett og i mer spesifikke vitenskapelige artikler i tiden fremover (Sandvik mfl., 2016, 2020a og Myksvoll mfl., 2018, Johnsen mfl., 2020a).
Overvåkingen ble i 2019 gjennomført i samarbeid med Norsk institutt for naturforskning (NINA) og NORCE Norwegian Research Centre AS. Feltarbeidet i overvåkingsprogrammet ble utført fra slutten av april til midten av august.
Data fra de ulike metodene i NALO-programmet blir presentert kronologisk for hvert produksjonsområde (1-13) fra sør til nord langs kysten. Resultatene for lakseluspåslag illustreres i figurer og tabeller. Kartene for hvert produksjonsområde viser omtrentlig område for postsmolttråling, vaktbur og undersøkte stasjoner for ruse/garnfangst av sjøørret og sjørøye. Tabeller og figurer i teksten oppsummerer, antall fisk, antall lus, fordeling mellom fastsittende og bevegelige stadier og relativ infestasjonsgrad for hver undersøkt stasjon. Tabellene i appendiks viser mer detaljerte data på fangst (lokalitet, uke, antall fisk og vekt), infestasjonsdata (prevalens, gjennomsnitt intensitet og median intensitet samt minimums- og maksimumsverdier) og i tillegget også beregninger på relativt antall lus (median, minimums- og maksimumsverdier og andel fisk med mer enn 0,1 lus per gram fiskevekt). Eksperimentelle forsøk tyder på at ca. 0,1 lus per gram fiskevekt kan påføre laksefisk begynnende fysiologiske problemer (Bjørn mfl., 2011). Vi har derfor valgt å illustrere denne grensen i figurene.
Figur 1 . Områder og omtrentlige posisjoner for de ulike metodene i overvåkingsprogrammet for lakselus på vill laksefisk i 2020
3 - Metoder
3.1 - Operasjonell modellovervåking
Spredningsmodellen for lakselus kjøres ukentlig gjennom hele året, og er tilgjengelig for alle på HIs nettsider (lakselus.no). Utviklingen i modellert tetthet av infektive kopepoditter følges tett i forkant av, under og etter gjennomført feltarbeid. Modellen er nyttig verktøy da den gir en god generell oversikt over lusesituasjonen langs kysten også på steder og tidspunkter som ikke blir fysisk overvåket.
Spredningsmodellen for frittlevende stadier av lakselus kombinerer data om utslipp av nauplielarver fra oppdrettsanlegg (antall voksne hunnlus, antall fisk og sjøtemperatur) med hydrodynamiske modeller som beskriver vannstrømmer, temperatur og saltholdighet. I tillegg benyttes informasjon om luselarvenes utviklingstid, vertikale adferd og forventet dødelighet. Modellen oppdateres fortløpende når ny relevant kunnskap blir tilgjengelig (Sandvik mfl., 2020a, Johnsen mfl., 2020b).
Resultatet fra spredningsmodellen er timesverdier av posisjonen og alder til alle lakselus produsert ved operative oppdrettsanlegg. Videre er tettheten av smittsomme kopepoditter per kvadratmeter summer til daglige verdier. Lakselusene har gjerne fulgt strømmen i 5–10 dager før de når det infektive stadiet (avhenger av vanntemperaturen), og kan i løpet av denne tiden potensielt ha blitt transportert mange km bort fra den opprinnelige utslippsposisjonen (Asplin mfl., 2014). Hvor lang denne transporten er avhenger av de hydrografiske forholdene og den temperaturstyrte utviklingen lakselusa har hatt til det infektive kopepodittstadiet. Typisk vil lakselus i nord og om våren oppleve lavere temperatur enn i sør og om sommeren, og dermed bruke lenger tid på å utvikle seg til smittsom kopepoditt. Denne tidsdifferansen i utvikling medfører potensielt en lengre transport bort fra utslippspunktet, men også større dødelighet før den når det infektive kopepodittstadiet.
For å gi et mer gjennomsnittlig bilde av lusepresset er timesverdiene fra modellen summert over 10 dager før de publiseres på lakselus.no Når modellen kjøres ukentlig med oppdatert informasjon om utslipp vil den kunne indikere områder med høy tetthet av kopepoditter (figur 2).
Figur 2. Resultater fra den hydrodynamiske spredningsmodellen for lakselus. Figuren viser tetthet av kopepoditter på en skala fra 0-1 (antall per kvadratmeter), summert over perioden som står i tittelen. Fargene kan ikke direkte overføres til effekt på vill laksefisk.
Tidligere år (2015-2017) ble modellen brukt mer direkte til valg av stasjoner for overvåking av lusepåslag på villfisk. Fra 2018 ble dette noe redusert til fordel for mer forhåndsbestemte stasjoner, men nettutgaven av modellen gjorde det fremdeles mulig for alle involverte i overvåkingsprogrammet å følge med i utviklingen. Dette kunne blant annet benyttes når prioriteringer i de aktuelle områder og tidsperioder måtte gjøres i felt.
3.2 - Feltarbeid
Både under forberedelser og gjennomføring av feltarbeid ved overvåkingsprogrammet er det lagt stor vekt på å ivareta kvalitet, og metodene i NALO-programmet har blitt betydelig forbedret i løpet av de siste årene. For å kunne dokumentere høy kvalitet på lusetellinger på villfisk er det innført krav om bestått kurs i identifikasjon av lakselus (og forvekslingsarter) for alle aktuelle deltakere. Kurset har både praktisk og teoretisk eksamen. I tillegg er det gjennomført flere feltkurs og runder med opplæring for å sikre standardisering av feltmetodikk (valg av fiskeplass, fangst, håndtering, lusetelling og andre registreringer).
Som tidligere år utgjør lusetellinger på ruse- og garnfanget ørret og røye fremdeles hovedtyngden av feltinnsamlingen i NALO-programmet. Vi har som mål at all fisk som undersøkes skal settes levende tilbake i sjøen etter endt lusetelling. For å imøtekomme dette brukes sjøørretruser ved hver stasjon, da de er det foreløpig beste redskapet vi disponerer til levendefangst. Ved behov suppleres likevel fangstene med tradisjonelle flytegarn. Lusetelling på garnfanget fisk gjøres umiddelbart etter fangst for å forhindre tap av lus.
Alle feltteam ble i 2020 utstyrt med sjøørretruser med pelagisk ledegarn som ble satt på aktuelle fiskeplasser ved stasjonene. Rusene fanger all fisk levende i et fangstkammer ca. 30-50 meter fra strandlinjen og på ca. 1-2 meters dyp. Rusene blir sjekket minimum en gang i døgnet, ved store fangster oftere. Eventuell laksefisk blir skånsomt løftet ut av fangstkammer og over i et oppbevaringskar i båten ved hjelp av en finmasket håv. Deretter blir fisken bedøvd med Benzokain (200 mg/ml) hvorpå lusetelling og annen registrering gjennomføres før fisken legges til oppvåkning i et annet kar. Lusetellingene foregår i en hvit plastbakke med vann i og under kraftig lys. All fisk settes tilbake ved strandsonen på fiskeplassen etter registrering. Tidligere merkeforsøk viser at andel gjenfangst i rusene normalt ligger på under 5 prosent (Arechavala-Lopez mfl., 2016). Dette betyr at vi risikerer å registrere enkelte fisk mer enn en gang i løpet av perioden. Dette kunne imidlertid vært unngått hvis hver fisk ble merket ved rusefangst. Vi har likevel valgt å utelukkende merke fisk i fokusområdene. Eventuelle feilvurderinger på grunn av lusetellinger av samme individ to eller flere ganger på de andre stasjonene blir vurdert som ubetydelig i denne sammenhengen.
Ved garnfiske blir et antall flytegarn (16-26 millimeter maskevidde) satt fra strandsonen og ca. 30 meter ut i fjorden i det aktuelle fiskeområdet. Garnene blir kontinuerlig røktet gjennom hele fiskeperioden for å redusere sannsynligheten for at fisk dør i garnene og lus faller/hopper av. All garnfangst av sjøørret/røye blir skånsomt klippet løs, avlivet og overført til en hvit plastbakke med vann for lusetelling. Etter lusetelling blir garnfanget fisk oppbevart i separate merkede plastposer for videre prøvetaking etter endt fiske.
Oppdatert feltinstruks for minimum antall undersøkt fisk per lokalitet ble utarbeidet på bakgrunn av analyser av tidligere års overvåkingsdata. Analysene viste hvor mange fisk som bør undersøkes på hver lokalitet for at de skulle representere situasjonen hos villfisk med tilstrekkelig høy sannsynlighet. I 2020 ble det anbefalt å undersøke minst 40 fisk per runde per stasjon. Stor variasjon i tetthet av ørret i det aktuelle området resulterer likevel i perioder med lav fangst.
Utvandrende postsmolt av laks ble i 2020 hovedsakelig fanget med pelagisk trål i ytre deler av flere større fjordsystemer. I tillegg ble det også forsøkt å fange noe laks med spesialtilpassede ruser på to stasjoner. Fangst av laks i ruser ble behandlet på samme måte som garnfanget fisk som ble avlivet før prøvetakning og lusetelling. I trålen ble postsmolten fanget levende med en spesialbygget pelagisk trål (fish-lift, Holst & McDonald, 2000), og lusepåslag og andre parametere ble registrert umiddelbart etter fangst og med samme metode som for garn- og rusefanget fisk. All trålfanget laksesmolt ble avlivet og frosset ned for ytterligere prøvetakning ved laboratorier etter endt feltarbeid.
Vaktbur med oppdrettsfisk ble i tillegg benyttet som en alternativ metode for å måle smittepress på spesifikke posisjoner i bestemte tidsperioder. I 2020 ble 18 vaktbur ble satt ut i Hardangerfjorden. I hvert bur ble det plassert 30 fisk i ca. 14 dager. Hvert bur er på ca. 1 kubikkmeter og består av to plastringer som er dekket med knuteløst 14 mm nett, og er plassert 1-2 meter under overflaten. Når burene tømmes blir lusetelling gjennomført umiddelbart etter avlivning. Det blir brukt samme metodikk som ved telling på vill laksefisk med kraftig lys og med fisken liggende i vann i et hvitt kar. Alle bur ble sjekket etter omtrent 7 dager hvor eventuelt skadede eller døde fisk ble plukket ut.
3.3 - Databehandling og presentasjon
I denne rapporten er alle infeksjonsparametere beregnet og beskrevet etter anbefalinger fra (Rozsa mfl., 2000) for presentasjon av kvantitative parasittologiske data.
Siden 2015 er standardavvik byttet ut med maks/min når fiskens vekt beskrives i tabeller. Dette gir en enklere oversikt over størrelsessammensetningen på undersøkte fisk fra hver lokalitet. Videre er alle infeksjonsparametere (prevalens, intensitet, median etc.) oppgitt med 95 % konfidensintervall. Konfidensintervall for prevalens (andel av fisken som har lus) er beregnet basert på binomisk fordeling (Bush mfl., 1997). Intensitet (gjennomsnittlig antall lus på fisken som har lus) med konfidensintervall er beregnet med BCa (bias-corrected and accelerated) bootstrap som anbefalt av Efron & Tibshirani (1993), mens median er oppgitt med distribusjonsfritt konfidensintervall.
Alle data i denne rapporten blir presentert med figurer og tabeller i påfølgende resultatkapittel. I tabellene blir antall fisk, prevalens, gjennomsnittlig intensitet og prosentandel med mer enn 0,1 lus per gram kroppsvekt presentert. Prevalens er definert som andelen av det undersøkte materialet som blir funnet med en eller flere lakselus og oppgis i prosent. Gjennomsnittlig intensitet er gjennomsnittlig antall lakselus på den andelen av materialet hvor lakselus ble registrert. Gjennomsnittlig intensitet oppgis som et desimaltall i tabellene. Konfidensintervall er oppgitt i klammer bak verdiene i tabellene. I figurene benyttes hovedsakelig boksplott som viser medianfordelingen av lakselus på de ulike stasjoner og uker. For å visualisere fordelingen av verdiene langs y-aksen er disse merket som mørke dotter. Figurene viser medianfordeling av alle lus, av fastsittende og bevegelige stadier og medianfordeling av relativ mengde lakselus (antall lus/gram). I tillegg blir flere detaljer presentert i en egen tabell som et appendiks bak i rapporten.
4 - Resultater
4.1 - Sørlandet (PO 1, Svenskegrensen – Jæren)
4.1.1 - Området
Produksjonsområde 1 strekker seg fra Svenskegrensen i øst til Jæren på Sør-Vestlandet. Det er registrert 38 lakseførende vassdrag i dette området, hvor av seks har status som nasjonale laksevassdrag. Samlet gytebestansdmål (GBM) for disse vassdragene er nesten 50 tonn hunnlaks som gir en teoretisk årlig produksjon på mer enn 2,1 millioner smolt (Nilsen mfl. 2017a). Sjøørret er tallrik i hele produksjonsområdet og reproduserer i en rekke mindre vassdrag i tillegg til de nevnte lakseelvene. Det er generelt lite oppdrett av laksefisk i sjø i dette produksjonsområdet. I 2020 var det 7 lokaliteter i drift under overvåkingsperioden, mens store områder er helt uten oppdrettsvirksomhet. Samlet produksjon av luseegg fra oppdrettsanlegg i dette området var lavt under hele våren og sommeren (figur 3).
Figur 3. Produksjon av klekte luseegg fra oppdrettsanlegg i produksjonsområde 1 i tidsrommet mars - september i 2019 og 2020. Grønt felt indikerer en periode på 70 døgn hvor en regner med at en stor andel sjøørret benytter det marine habitatet i produksjonsområdet. Figuren illustrerer også tidsrom for lavere lusegrense i oppdrettsanlegg og omtrentlig tidsrom for overvåking i dette produksjonsområdet (ruse 2020, t.v.). Kartet illustrerer modellert fordeling av kopepoditter i produksjonsområdet summert over den samme 70 døgns perioden. Grønn farge i kartet indikerer lav tetthet av kopepoditter og blå farge i kartet indikerer høyere tetthet med kopepoditter t.h. Perioden på 70 døgn er lagt 20 døgn før og 50 døgn etter teoretisk 50 prosent laksesmoltutvandring for produksjonsområdet.
I 2020 ble det gjennomført undersøkelser av lakselusinfestasjon på sjøørret over en periode på 3 uker i dette produksjonsområdet. Det ble ikke gjort undersøkelser på postsmolt laks, eller med vaktbur.
Figur 4. Områder for overvåking i produksjonsområde 1. Røde sirkler angir posisjoner for undersøkelser med ruser og garn. Grønne områder er nasjonale laksefjorder
4.1.2 - Ruse og garn
Sandnesfjord og Flekkefjord i Agder ble valgt som stasjoner for tilstandsbekreftelse på sjøørret i produksjonsområdet på Sørlandet. Sandnesfjord har tidligere vært undersøkt gjennom flere år i overvåkingsprogrammet som en sørlig referanse i et område uten nærliggende oppdrett av laksefisk. Flekkefjord har kun vært undersøkt i løpet av de siste årene (figur 4). Undersøkelsene ble gjort i tidsrommet fra uke 22 til uke 24.
Stasjon
Uke
n
Prevalens
Intensitet
% > 0,1 lus/g
[95%KI]
[95%KI]
[95%KI]
Sandnesfjorden
22
26
58 [39-74]
2 [1-2]
0 [0-13]
24
27
70 [52-84]
3 [2-3]
0 [0-12]
Flekkefjord
22
17
82 [59-94]
4 [3-7]
18 [6-41]
23
15
87 [62-96]
10 [5-21]
27 [11-52]
Tabell 1. Infestasjon av lakselus på sjøørret i PO 1. n angir antall undersøkte fisk i hver uke. Prevalens viser hvor stor andel av de undersøkte fiskene som ble funnet med en eller flere lakselus og oppgis i prosent. 95 % konfidensintervall er oppgitt i klammer bak. Intensitet angir gjennomsnittlig antall lakselus på den andelen av materialet som ble funnet med lus med 95 % konfidensintervall i klammer bak. % > 0,1 lus/ g viser andelen av det undersøkte materialet hvor infestasjonen var høyere enn 0,1 lus per gram kroppsvekt. 95 % konfidensintervall er oppgitt i klammer bak.
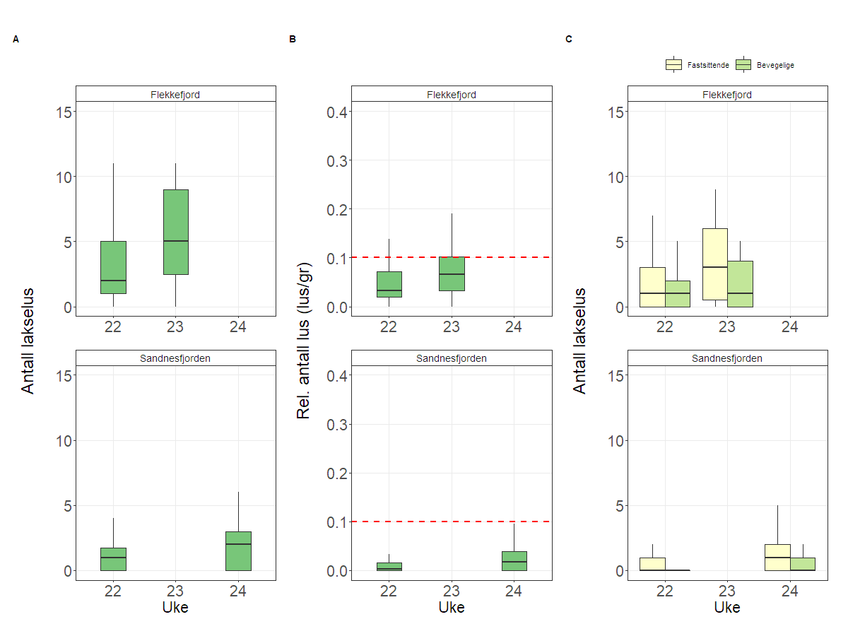
Figur 5. Antall lakselus (A), relativt antall lus (antall lus/gram kroppsvekt) (B) og antall lakselus fordelt på fastsittende og bevegelige stadier (C) fra sjøørret på stasjonene Flekkefjord (øverst) og Sandnesfjord (nederst).
4.2 - Rogaland (PO 2, Ryfylke)
4.2.1 - Området
Produksjonsområde 2 strekker seg fra Jæren til Haugesund på Sør-Vestlandet og dekker hovedsakelig Boknafjorden med tilstøtende fjordsystemer. Det er registrert 18 lakseførende vassdrag i dette området, hvorav to har status som nasjonale laksevassdrag. Samlet gytebestansdmål (GBM) for disse vassdragene er nesten 9 tonn hunnlaks som gir en teoretisk årlig produksjon på mer enn 437 000 smolt (Nilsen mfl. 2017a). Sjøørret er tallrik i store deler av produksjonsområdet og reproduserer i mindre vassdrag i tillegg til de nevnte lakseelvene. Det er generelt høy oppdrettsproduksjon av laksefisk i sjø i Boknafjordsystemet, mens Sandsfjorden og området sørvest for Stavanger er helt uten oppdrettsvirksomhet (Nasjonale laksefjorder). I perioden for overvåkingen i 2020 var det 46 lokaliteter i drift i PO 2. Samlet produksjon av luseegg fra oppdrettsanlegg var flere ganger høyere enn i PO 1, med en timesproduksjon på mer enn 5 millioner egg i siste del av mai, og som økte til nesten 20 millioner i løpet av juni. Modellresultatene viser en generell høy tetthet av kopepoditter i hele det sentrale området av Boknafjorden (figur 6).
Figur 6. Produksjon av klekte luseegg fra oppdrettsanlegg i produksjonsområde 2 i tidsrommet mars - september i 2019 og 2020. Grønt felt indikerer en periode på 70 døgn hvor en regner med at en stor andel sjøørret benytter det marine habitatet i produksjonsområdet. Figuren illustrerer også tidsrom for lavere lusegrense i oppdrettsanlegg og omtrentlig tidsrom for overvåking i dette produksjonsområdet (ruse og trål 2020, t.v.). Kartet illustrerer modellert fordeling av kopepoditter i produksjonsområdet summert over den samme 70 døgns perioden. Grønn farge i kartet indikerer lav tetthet av kopepoditter og blå farge i kartet indikerer høyere tetthet med kopepoditter t.h. Perioden på 70 døgn er lagt 20 døgn før og 50 døgn etter teoretisk 50 prosent laksesmoltutvandring for produksjonsområdet.
I 2020 ble det gjennomført postsmolttråling etter laks i 4 uker. I tillegg ble det gjort undersøkelser på ruse/garnfanget sjøørret over en tidsperiode på to uker. I 2020 ble det ikke gjennomført undersøkelser med vaktbur i dette produksjonsområdet (figur 7).
Figur 7. Områder for overvåking i produksjonsområde 2. Røde sirkler angir posisjoner for undersøkelser med ruser og garn. Skravert felt viser omtrentlig område for postsmolttråling og grønne områder viser nasjonale laksefjorder.
4.2.2 - Tråling
Tråling etter utvandrende postsmolt av laks ble hovedsakelig gjennomført i ytre deler av Boknafjordsystemet. Det ble i tillegg gjort noen forsøk på å tråle i mer åpent farvann vest og sør for Stavanger. All kultivert og merket laks, samt laks over 100 gram er ekskludert fra datamaterialet i 2020. Trålingen ble gjennomført fra uke 18 til og med uke 21.
Fjordsystem
Uke
n
Prevalens
Intensitet
% > 0,1 lus/g
[95%KI]
[95%KI]
[95%KI]
Rogaland
18
193
89 [83-92]
6 [5-7]
63 [56-69]
19
207
93 [88-96]
9 [8-11]
74 [68-80]
20
28
89 [73-96]
7 [4-19]
46 [30-64]
21
115
45 [36-54]
3 [2-3]
26 [19-35]
Tabell 2. Infestasjon av lakselus på trålfanget postsmolt laks i Boknafjorden. n angir antall undersøkte fisk i hver uke. Prevalens viser hvor stor andel av de undersøkte fiskene som ble funnet med en eller flere lakselus og oppgis i prosent. 95 % konfidensintervall er oppgitt i klammer bak. Intensitet angir gjennomsnittlig antall lakselus på den andelen av materialet som ble funnet med lus med 95 % konfidensintervall i klammer bak. % > 0,1 lus/ g viser andelen av det undersøkte materialet hvor infestasjonen var høyere enn 0,1 lus per gram kroppsvekt. 95 % konfidensintervall er oppgitt i klammer bak.
Figur 8. Antall lakselus (A) og relativt antall lus (antall lus/gram kroppsvekt) (B) fra postsmolt laks i uke 18-21 i Boknafjorden i Rogaland.
4.2.3 - Ruse og garn
Ytre Årdalsfjord og Forsand ble valgt som stasjoner for valgt som stasjoner for tilstandsbekreftelse på sjøørret i produksjonsområdet i produksjonsområde 2, og ble undersøkt med ruse og garn over en periode på to uker. Begge stasjonene har tidligere år blitt undersøkt i NALO-programmet. Undersøkelser med ruser i Rogaland ble i 2020 gjennomført i uke 23 og 24.
Stasjon
Uke
n
Prevalens
Intensitet
% > 0,1 lus/g
[95%KI]
[95%KI]
[95%KI]
Ytre Årdalsfjord
23
50
100 [93-100]
44 [35-54]
86 [74-93]
Nedstrand
23
16
100 [81-100]
24 [17-38]
50 [28-72]
24
11
100 [74-100]
41 [25-60]
82 [52-95]
Tabell 4. Infestasjon av lakselus på sjøørret i PO 2. n angir antall undersøkte fisk i hver uke. Prevalens viser hvor stor andel av de undersøkte fiskene som ble funnet med en eller flere lakselus og oppgis i prosent. 95 % konfidensintervall er oppgitt i klammer bak. Intensitet angir gjennomsnittlig antall lakselus på den andelen av materialet som ble funnet med lus med 95 % konfidensintervall i klammer bak. % > 0,1 lus/ g viser andelen av det undersøkte materialet hvor infestasjonen var høyere enn 0,1 lus per gram kroppsvekt. 95 % konfidensintervall er oppgitt i klammer bak.
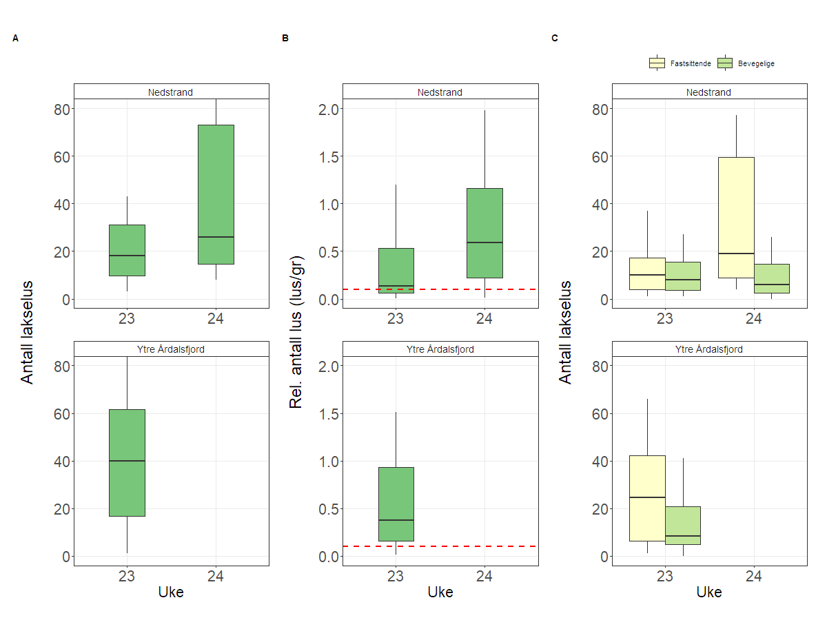
Figur 9. Antall lakselus (A), relativt antall lus (antall lus/gram kroppsvekt) (B) og antall lakselus fordelt på fastsittende og bevegelige stadier (C) fra sjøørret på stasjonene Nedstrand (øverst) og Ytre Årdalsfjord (nederst).
4.3 - Hardanger (PO 3, Karmøy – Sotra)
4.3.1 - Området
Produksjonsområde 3 strekker seg fra Karmøy ved Haugesund til Sotra utenfor Bergen. Store deler av produksjonsområdet utgjøres av Hardangerfjorden med tilstøtende fjorder. Det er registrert 12 lakseførende vassdrag i dette området, hvor av et har status som nasjonalt laksevassdrag (Etnevassdraget). Samlet gytebestansdmål (GBM) for disse vassdragene er i overkant av 3,8 tonn hunnlaks som gir en teoretisk årlig produksjon på mer enn 185 000 smolt (Nilsen mfl. 2017a). Sjøørret benytter store deler av produksjonsområdet og reproduserer i mindre vassdrag i tillegg til de nevnte lakseelvene. Det er høy oppdrettsproduksjon av laksefisk i sjø i Hardangerfjorden og områdene rundt. I 2020 var det 132 lokaliteter i drift under overvåkingsperioden. Samlet produksjon av luseegg fra oppdrettsanlegg i dette området er derfor høy. Fra første juni øker timesproduksjonen av klekte egg fra oppdrettsanlegg raskt, og passerer mer enn 45 millioner før første juli. Modellen viser høyest tetthet av kopepoditter i nord for Stord, samt i den sørlige delen av ytre Hardangerfjord (figur 10).
Figur 10. Produksjon av klekte luseegg fra oppdrettsanlegg i produksjonsområde 3 i tidsrommet mars - september i 2019 og 2020. Grønt felt indikerer en periode på 70 døgn hvor en regner med at en stor andel sjøørret benytter det marine habitatet i produksjonsområdet. Figuren illustrerer også tidsrom for lavere lusegrense i oppdrettsanlegg og omtrentlig tidsrom for overvåking i dette produksjonsområdet (ruse, trål og vaktbur 2020, t.v.). Kartet illustrerer modellert fordeling av kopepoditter i produksjonsområdet summert over den samme 70 døgns perioden. Grønn farge i kartet indikerer lav tetthet av kopepoditter og blå farge i kartet indikerer høyere tetthet med kopepoditter t.h. Perioden på 70 døgn er lagt 20 døgn før og 50 døgn etter teoretisk 50 prosent laksesmoltutvandring for produksjonsområdet.
I 2020 ble det gjennomført postsmolttråling etter laks i 4 uker. Sjøørret ble undersøkt ved flere stasjoner hvor av én av disse var et fokusområde med utvidet overvåking over en lengre tidsperiode. I tillegg ble det gjennomført tre runder med vaktbur i dette produksjonsområdet (figur 11).
Figur 11. Områder for overvåking i produksjonsområde 3. Røde sirkler angir posisjoner for undersøkelser med ruser og garn og sorte sirkler angir posisjoner for vaktbur. Skravert felt viser omtrentlig område for postsmolttråling og grønne områder viser nasjonale laksefjorder.
4.3.2 - Tråling
Tråling etter utvandrende postsmolt av laks ble hovedsakelig gjennomført i ytre deler av Hardangerfjordsystemet. I et forsøk på å fange opp eventuell postsmolt indre elver som kan ha andre utvandringsruter ble det også gjort regelmessige forsøk på å tråle litt lengre inn i fjorden. All kultivert og merket laks, samt laks over 100 gram er ekskludert fra datamaterialet i 2020. Trålingen ble gjennomført fra og med uke 19 til og med uke 22.
Fjordsystem
Uke
n
Prevalens
Intensitet
% > 0,1 lus/g
[95%KI]
[95%KI]
[95%KI]
Hardanger
19
28
50 [33-67]
7 [4-13]
29 [15-47]
20
51
63 [49-75]
4 [3-6]
35 [24-49]
21
57
70 [57-80]
9 [7-11]
60 [47-71]
22
86
95 [89-98]
10 [8-13]
80 [71-87]
23
3
100 [44-100]
8 [2-12]
100 [44-100]
Tabell 5. Infestasjon av lakselus på trålfanget postsmolt laks i Hardangerfjorden. n angir antall undersøkte fisk i hver uke. Prevalens viser hvor stor andel av de undersøkte fiskene som ble funnet med én eller flere lakselus, og oppgis i prosent. 95 % konfidensintervall er oppgitt i klammer bak. Intensitet angir gjennomsnittlig antall lakselus på den andelen av materialet som ble funnet med lus med 95 % konfidensintervall i klammer bak. % > 0,1 lus/ g viser andelen av det undersøkte materialet hvor infestasjonen var høyere enn 0,1 lus per gram kroppsvekt. 95 % konfidensintervall er oppgitt i klammer bak.
Figur 12. Antall lakselus (A) og relativt antall lus (B) på trålfanget postsmolt laks i uke 19-22 i midtre Hardangerfjord.
4.3.3 - Ruse og garn
Etnefjorden ble valgt som et fokusområdene med utvidet overvåking på sjøørret i produksjonsområde 3. Ved denne stasjonen ble sjøørret overvåket sammenhengende over en tidsperiode på 6 uker fra og med uke 21. På grunn av lav fangst siste uken er data fra uke 25 og 26 slått sammen i denne rapporten.
I tillegg ble det gjort kortere undersøkelser på stasjonene Rosendal og Ålvik i tidsrommet fra uke 22 til og med uke 26.
Stasjon
Uke
n
Prevalens
Intensitet
% > 0,1 lus/g
[95%KI]
[95%KI]
[95%KI]
Ålvik
22
28
29 [15-47]
3 [1-6]
0 [0-12]
23
50
50 [37-63]
9 [5-22]
20 [11-33]
Rosendal
22
100
79 [70-86]
7 [4-15]
39 [30-49]
26
40
98 [87-100]
31 [25-37]
90 [77-96]
Etne
21
34
74 [57-85]
25 [16-37]
29 [17-46]
22
58
81 [69-89]
20 [13-32]
26 [16-38]
23
25
100 [87-100]
63 [42-94]
84 [65-94]
24
196
100 [98-100]
68 [60-79]
92 [88-95]
25
128
99 [96-100]
47 [38-58]
84 [76-89]
Tabell 6. Infestasjon av lakselus på sjøørret i PO 3. n angir antall undersøkte fisk i hver uke. Prevalens viser hvor stor andel av de undersøkte fiskene som ble funnet med en eller flere lakselus og oppgis i prosent. 95 % konfidensintervall er oppgitt i klammer bak. Intensitet angir gjennomsnittlig antall lakselus på den andelen av materialet som ble funnet med lus med 95 % konfidensintervall i klammer bak. % > 0,1 lus/ g viser andelen av det undersøkte materialet hvor infestasjonen var høyere enn 0,1 lus per gram kroppsvekt. 95 % konfidensintervall er oppgitt i klammer bak.
Figur 13. Antall lakselus (A), relativt antall lus (antall lus/gram kroppsvekt) (B) og antall lakselus fordelt på fastsittende og bevegelige stadier (C) fra sjøørret på stasjonene Etne (øverst), Rosendal og Ålvik (nederst).
4.3.4 - Vaktbur
Det ble plassert ut 18 vaktbur i hele Hardangerfjordsystemet i 2020. I burene ble det satt ut fisk i tre perioder på inntil 14 dager, med tilsyn av burene etter de første 7 dager. Lusepåslag er illustrert med fargekoder i kart (figur 14). Forsøkene med vaktbur i Hardangerfjorden ble gjennomført i perioden fra uke 21 til 27 med fisk i burene 20. mai – 3. juni, 3. juni – 18 juni og 18 juni – 30 juni.
Figur 14. Plassering og gjennomsnittlig påslag av lakselus på fisk fra vaktbur i PO 3. Fargene indikerer gjennomsnittlig påslag av lakselus over en standardisert periode på 14 dager. Grønn = 0-1 lus, gul = 1-5 lus, Orange = 5-10 lus og rød = mer enn 10 lus. Blå farge indikerer manglende data. Periode 1= 20. mai – 3. juni , periode 2 = 3. juni – 18. juni og periode 3 = 18. juni – 30. juni.
4.4 - Sogn og Fjordane (PO 4, Nordhordland – Stadt)
4.4.1 - Området
Produksjonsområde 4 strekker seg fra Bergen til Stadt og inkluderer blant annet de store fjordsystemene Sognefjorden og Nordfjord. Det er registrert 40 lakseførende vassdrag i dette området, hvorav elleve har status som nasjonale laksevassdrag. Samlet gytebestansdmål (GBM) for disse vassdragene er i overkant av 21 tonn hunnlaks som gir en teoretisk årlig produksjon på nesten 750 000 smolt (Nilsen mfl. 2017a). Sjøørret benytter også store deler av produksjonsområdet og reproduserer i mindre vassdrag i tillegg til de nevnte lakseelvene. Det er generelt høy oppdrettsproduksjon av laksefisk i sjø langs kysten i produksjonsområdet. Flere av fjordene er uten oppdrett av laksefisk, blant annet indre del av Sognefjorden, Dalsfjorden, Førdefjorden og deler av Nordfjord som alle er nasjonale laksefjorder. I 2020 var det 122 lokaliteter i drift i tidsrommet for overvåkingen. Samlet produksjon av luseegg fra oppdrettsanlegg i dette området er høy. Timesproduksjonen fra anlegg lå på rundt 5 millioner egg i begynnelsen av mai og økte til mer enn 25 millioner i løpet av juni. Modellen viser høyest tetthet av kopepoditter langs ytre kyst i PO 4, spesielt i den sørlige delen ( figur 15 ).
Figur 15. Produksjon av klekte luseegg fra oppdrettsanlegg i produksjonsområde 4 i tidsrommet mars - september i 2019 og 2020. Grønt felt indikerer en periode på 70 døgn hvor en regner med at en stor andel sjøørret benytter det marine habitatet i produksjonsområdet. Figuren illustrerer også tidsrom for lavere lusegrense i oppdrettsanlegg og omtrentlig tidsrom for overvåking i dette produksjonsområdet (ruse og trål 2020, t.v.). Kartet illustrerer modellert fordeling av kopepoditter i produksjonsområdet summert over den samme 70 døgns perioden. Grønn farge i kartet indikerer lav tetthet av kopepoditter og blå farge i kartet indikerer høyere tetthet med kopepoditter t.h. Perioden på 70 døgn er lagt 20 døgn før og 50 døgn etter teoretisk 50 prosent laksesmoltutvandring for produksjonsområdet.
I 2020 ble det gjennomført postsmolttråling etter laks i 4 uker i ytre Sognefjorden. I tillegg ble en spesiallaget ruse for fangst av laksesmolt benyttet både i Nordhordland og i ytre del av Nordfjord. Sjøørret ble overvåket på flere stasjoner i produksjonsområdet, deriblant i to fokusområder med utvidet overvåking over en lengre tidsperiode. Det ble ikke gjennomført undersøkelser med vaktbur i PO 4 i 2020. (figur 16).
Figur 16. Områder for overvåking i produksjonsområde 4. Røde sirkler angir posisjoner for undersøkelser med ruser og garn. Skravert felt viser omtrentlig område for postsmolttråling, og grønne områder viser nasjonale laksefjorder.
4.4.2 - Tråling
Tråling etter utvandrende postsmolt av laks ble hovedsakelig gjennomført i ytre deler av Sognefjorden. All kultivert og merket laks, samt laks over 100 gram er ekskludert fra datamaterialet i 2020. Trålingen ble gjennomført fra og med uke 19 til og med uke 22. I begynnelsen av trålingen var fangstene svært lave, noe som trolig skyldes uvanlig sen utvandring fra de viktigste elvene i Sognefjorden.
Fjordsystem
Uke
n
Prevalens
Intensitet
% > 0,1 lus/g
[95%KI]
[95%KI]
[95%KI]
Sognefjorden
19
1
100 [5-100]
13 [13-13]
100 [5-100]
20
9
89 [57-99]
3 [2-4]
44 [19-73]
21
34
65 [48-79]
4 [3-6]
41 [26-58]
22
199
80 [74-85]
2 [2-3]
42 [35-49]
Tabell 7. Infestasjon av lakselus på trålfanget postsmolt laks i ytre del av Sognefjorden. n angir antall undersøkte fisk i hver uke. Prevalens viser hvor stor andel av de undersøkte fiskene som ble funnet med en eller flere lakselus og oppgis i prosent. 95 % konfidensintervall er oppgitt i klammer bak. Intensitet angir gjennomsnittlig antall lakselus på den andelen av materialet som ble funnet med lus med 95 % konfidensintervall i klammer bak. % > 0,1 lus/ g viser andelen av det undersøkte materialet hvor infestasjonen var høyere enn 0,1 lus per gram kroppsvekt. 95 % konfidensintervall er oppgitt i klammer bak.
Figur 17. Antall lakselus (A) og relativt antall lus (B) på trålfanget postsmolt laks fra ytre Sognefjorden i uke 19-22.
4.4.3 - Lakseruse
Spesialbygde ruser til fangst av utvandrende postsmolt av laks ble benyttet til overvåking ved to stasjoner i 2020, begge i PO 4. Den ene lakserusen ble driftet av NORCE ved Herdlafjorden sør i produksjonsområdet. Denne rusen har i en årrekke vært benyttet til formålet. I tillegg ble en ny ruse utplassert i ytre del av Nordfjorden og driftet av HI parallelt med undersøkelser på sjøørret i samme området. Kun data fra laks fanget på de respektive rusene blir inkludert i resultatene under. Eventuell sjøørret fra de samme rusene blir inkludert i neste avsnitt.
Fjordsystem
Uke
n
Prevalens
Intensitet
% > 0,1 lus/g
[95%KI]
[95%KI]
[95%KI]
Nordfjord
20
3
33 [2-79]
-
0 [0-56]
21
24
33 [18-53]
2 [2-3]
12 [4-31]
22
20
85 [64-95]
3 [3-4]
60 [39-78]
23
2
50 [3-97]
-
50 [3-97]
24
9
100 [70-100]
8 [4-13]
78 [45-94]
25
1
100 [5-100]
-
100 [5-100]
Tabell 8. Infestasjon av lakselus på laks fanget med lakseruse i ytre del av Nordfjord. n angir antall undersøkte fisk i hver uke. Prevalens viser hvor stor andel av de undersøkte fiskene som ble funnet med en eller flere lakselus og oppgis i prosent. 95 % konfidensintervall er oppgitt i klammer bak. Intensitet angir gjennomsnittlig antall lakselus på den andelen av materialet som ble funnet med lus med 95 % konfidensintervall i klammer bak. % > 0,1 lus/ g viser andelen av det undersøkte materialet hvor infestasjonen var høyere enn 0,1 lus per gram kroppsvekt. 95 % konfidensintervall er oppgitt i klammer bak.
Figur 18. Antall lakselus (A) og relativt antall lus (antall lus/gram kroppsvekt) (B) fra utvandrende postsmolt laks fanget i lakserusen ved Nordfjord.
Laksesmolten som ble fanget i rusen i Herdlafjorden bestod både av settesmolt og villsmolt. Til sammen ble det fanget og registrert lus på 29 laksesmolt, hvor av 14 av disse var villsmolt. Blant villsmolten var to fisk PIT-merket, og kom fra henholdsvis Daleelva og Ekso. Videre i rapporten presenters kun data fra villsmolt.
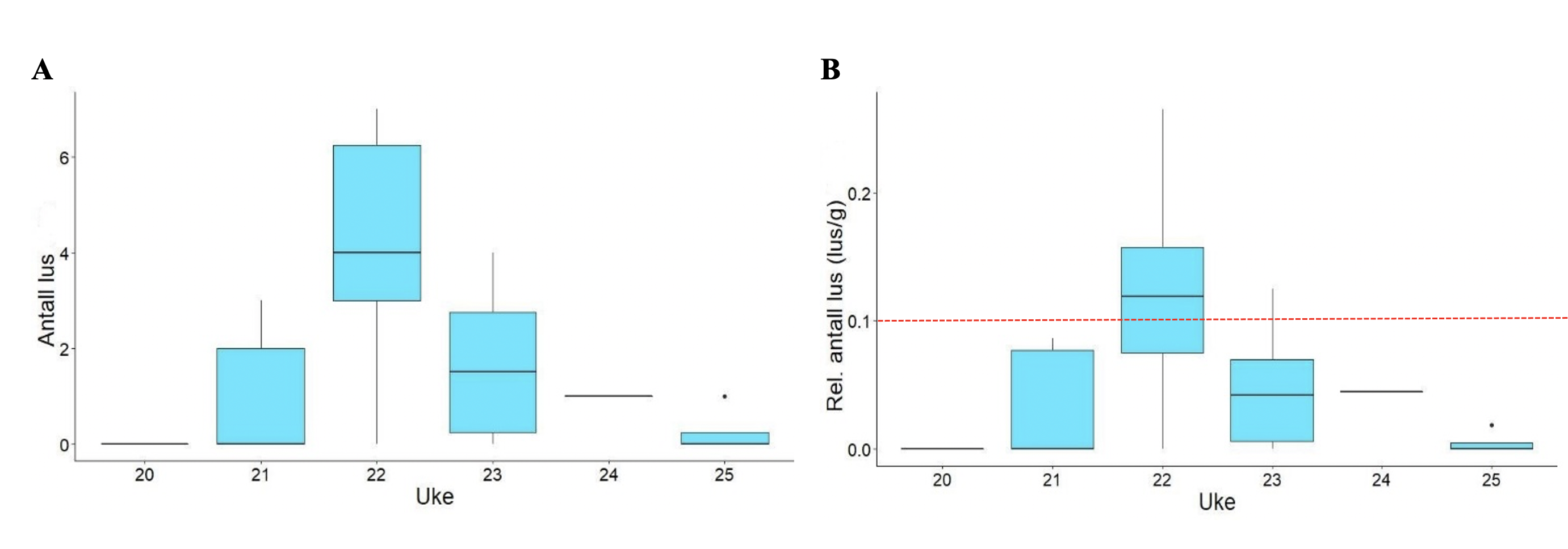
Fangstdataene for vill laksesmolt i Herdlafjorden viser at det i 2 av 6 uker ikke ble fanget laksesmolt. I de resterende ukene ble det observert lakselus på smolten i uke 21, 22 og 23. Prevalensen varierer fra 0 til 80 % (tabell 9). Intensiteten er kun mulig å beregne i 2 av ukene (22 og 23). Andelen fisk med mer enn 0,1 lus per gram varierer fra 0 til 80 %. Figur 19 viser antall lus/uke og relativt antall lus/uke for det villsmolt fanget i Herdlafjorden.
Fjordsystem
Uke
n
Prevalens [95 %KI]
Intensitet [SD]
% > 0,1 lus/g [95 % KI]
Herdlafjorden
20
0
-
-
-
21
2
50 [3-97]
-
0 [0-66]
22
5
80 [38-99]
4 [2]
80 [38-99]
23
4
75 [30-99]
2 [1]
50 [15-85]
24
0
-
-
-
25
3
0 [0-56]
-
0 [0-56]
Tabell 9. Infestasjon av lakselus på vill laksesmolt fanget med lakseruse i Herdlafjorden . n angir antall undersøkte fisk i hver uke. Prevalens viser hvor stor andel av de undersøkte fiskene som ble funnet med en eller flere lakselus og oppgis i prosent. 95 % konfidensintervall er oppgitt i klammer bak. Intensitet angir gjennomsnittlig antall lakselus på den andelen av materialet som ble funnet med lus med standardavvik i klammer bak. % > 0,1 lus/ g viser andelen av det undersøkte materialet hvor infestasjonen var høyere enn 0,1 lus per gram kroppsvekt. 95 % konfidensintervall er oppgitt i klammer bak.
Figur 19. Antall lakselus (A) og relativt antall lus (antall lus/gram kroppsvekt) (B) fra utvandrende vill postsmolt laks fanget i lakserusen i Herdlafjorden. Det ble ikke fanget villsmolt i uke 20 og 24.
4.4.4 - Ruse og garn
Herøyosen og Nordfjord ble valgt som fokusområder for utvidet undersøkelse av sjøørret i PO 4. Ved disse stasjonene ble det overvåket sammenhengende over et tidsrom på 6 uker. Fokusområdet ved Herøyosen ble driftet av NORCE. I tillegg ble det gjort kortere undersøkelser på stasjonene Herdlafjord, Bjordal og Balestrand i uke 22-24. Alle stasjonene er tidligere undersøkt i forbindelse med NALO.
Stasjon
Uke
n
Prevalens
Intensitet
% > 0,1 lus/g
[95%KI]
[95%KI]
[95%KI]
Herøyosen
21
88
100 [96-100]
48 [39-64]
78 [69-86]
22
62
97 [89-99]
42 [32-60]
71 [59-81]
23
68
100 [95-100]
65 [54-80]
88 [78-94]
24
137
100 [97-100]
57 [51-64]
98 [94-99]
25
97
100 [96-100]
57 [51-66]
97 [91-99]
26
34
100 [90-100]
40 [30-53]
82 [66-92]
Herdlafjord
22
37
95 [82-99]
68 [54-86]
65 [49-78]
Balestrand
22
17
59 [36-78]
2 [1-2]
0 [0-18]
23
36
58 [42-73]
3 [2-4]
3 [0-14]
24
122
26 [19-35]
4 [3-5]
8 [5-14]
Bjordal
22
47
96 [86-99]
6 [5-8]
57 [43-70]
24
37
97 [86-100]
28 [22-34]
81 [66-91]
Nordfjord
20
57
86 [75-93]
20 [12-34]
28 [18-41]
21
93
51 [41-60]
28 [19-44]
23 [15-32]
22
156
79 [72-85]
16 [13-20]
50 [42-58]
23
160
96 [92-98]
24 [20-29]
73 [66-79]
24
235
99 [96-100]
23 [20-26]
81 [75-85]
25
71
92 [83-96]
28 [23-36]
70 [59-80]
Tabell 10. Infestasjon av lakselus på sjøørret i PO 4. n angir antall undersøkte fisk i hver uke. Prevalens viser hvor stor andel av de undersøkte fiskene som ble funnet med en eller flere lakselus og oppgis i prosent. 95 % konfidensintervall er oppgitt i klammer bak. Intensitet angir gjennomsnittlig antall lakselus på den andelen av materialet som ble funnet med lus med 95 % konfidensintervall i klammer bak. % > 0,1 lus/ g viser andelen av det undersøkte materialet hvor infestasjonen var høyere enn 0,1 lus per gram kroppsvekt. 95 % konfidensintervall er oppgitt i klammer bak.
Figur 20. Antall lakselus (A), relativt antall lus (antall lus/gram kroppsvekt) (B) og antall lakselus fordelt på fastsittende og bevegelige stadier (C) fra sjøørret på stasjonene Balestrand (øverst), Bjordal, Herdlafjord, Herøyosen og Nordfjord (nederst).
4.5 - Møre og Romsdal (PO 5, Stadt – Hustadvika)
4.5.1 - Området
Produksjonsområde 5 dekker Nord-Vestlandet fra Stadt til Hustadvika nord for Molde. Voldsfjorden, Storfjorden og Romsdalssystemet er de største fjordene i dette området som har 44 registrerte laksevassdrag hvor av to nasjonale laksevassdrag. Samlet gytebestansdmål (GBM) for laksevassdragene i produksjonsområdet er på vel 18 tonn hunnlaks og teoretisk årlig produksjon på nesten 530 000 smolt (Nilsen mfl 2017a). Sjøørret finnes også i store deler av produksjonsområdet og reproduserer i mindre vassdrag i tillegg til de nevnte lakseelvene. Det er generelt høy oppdrettsproduksjon av laksefisk i sjø langs kysten og i ytre deler av fjordene i produksjonsområdet. Indre del av Romsdalsfjorden (Isfjord) og Ørstafjorden er nasjonale laksefjorden helt uten oppdrett. I 2020 var det 36 lokaliteter i drift i tidsrommet for lakselusovervåkingen. Samlet produksjon av luseegg fra oppdrettsanlegg i varierer mellom år og tid på året. Timesproduksjonen av luseegg fra oppdrettsanlegg lå under 5 millioner gjennom hele mai og juni, og var lavere enn i 2019. Modellen indikerer høyest tetthet av kopepoditter i Storfjorden på Sunnmøre (figur 21).
Figur 21. Produksjon av klekte luseegg fra oppdrettsanlegg i produksjonsområde 5 i tidsrommet mars - september i 2019 og 2020. Grønt felt indikerer en periode på 70 døgn hvor en regner med at en stor andel sjøørret benytter det marine habitatet i produksjonsområdet. Figuren illustrerer også tidsrom for lavere lusegrense i oppdrettsanlegg og omtrentlig tidsrom for overvåking i dette produksjonsområdet (ruse og trål 2020, t.v.). Kartet illustrerer modellert fordeling av kopepoditter i produksjonsområdet summert over den samme 70 døgns perioden. Grønn farge i kartet indikerer lav tetthet av kopepoditter og blå farge i kartet indikerer høyere tetthet med kopepoditter t.h. Perioden på 70 døgn er lagt 20 døgn før og 50 døgn etter teoretisk 50 prosent laksesmoltutvandring for produksjonsområdet.
I 2020 ble det gjennomført postsmolttråling etter laks i 4 uker samt undersøkelser av sjøørret på flere stasjoner, deriblant én stasjon med utvidet overvåking sammenhengende over flere uker. Det ble ikke benyttet vaktbur i dette området i 2020 (figur 22).
Figur 22. Områder for overvåking i produksjonsområde 5. Røde sirkler angir posisjoner for undersøkelser med ruser og garn. Skravert felt viser omtrentlig område for postsmolttråling og grønne områder viser nasjonale laksefjorder.
4.5.2 - Tråling
Tråling etter utvandrende postsmolt av laks ble hovedsakelig gjennomført i ytre deler av Romsdalsfjorden. All kultivert og merket laks, samt laks over 100 gram er ekskludert fra datamaterialet i 2019. Trålingen ble gjennomført fra og med uke 20 til og med uke 23.
Fjordsystem
Uke
n
Prevalens
Intensitet
% > 0,1 lus/g
[95%KI]
[95%KI]
[95%KI]
Romsdal
20
20
20 [8-42]
1 [1-2]
5 [0-24]
21
71
15 [9-26]
2 [1-5]
3 [1-10]
22
106
10 [6-18]
1 [1-1]
0 [0-3]
23
93
11 [6-19]
1 [1-2]
1 [0-6]
Tabell 11. Infestasjon av lakselus på trålfanget postsmolt laks i Romsdalsfjorden. n angir antall undersøkte fisk i hver uke. Prevalens viser hvor stor andel av de undersøkte fiskene som ble funnet med en eller flere lakselus og oppgis i prosent. 95 % konfidensintervall er oppgitt i klammer bak. Intensitet angir gjennomsnittlig antall lakselus på den andelen av materialet som ble funnet med lus med 95 % konfidensintervall i klammer bak. % > 0,1 lus/ g viser andelen av det undersøkte materialet hvor infestasjonen var høyere enn 0,1 lus per gram kroppsvekt. 95 % konfidensintervall er oppgitt i klammer bak.
Figur 23. Antall lakselus (A) og relativt antall lus (B) på trålfanget postsmolt laks fra Romsdalsfjorden i uke 20-22.
4.5.3 - Ruse og garn
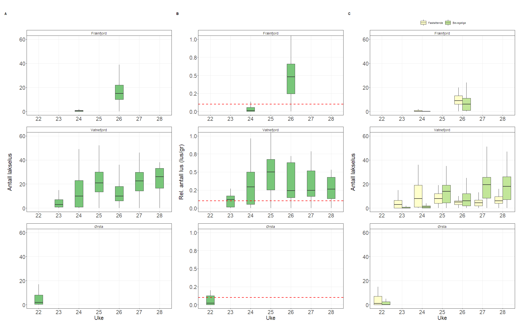
Vatnefjorden ble valgt som fokusområdene med utvidet overvåking på sjøørret i produksjonsområde 5. Ved denne stasjonen ble sjøørret overvåket sammenhengende over en tidsperiode på 6 uker fra og med uke 23.
I tillegg ble det gjort kortere undersøkelser på stasjonene Ørsta og Frænfjorden i tidsrommet fra uke 22 til og med uke 26.
Stasjon
Uke
n
Prevalens
Intensitet
% > 0,1 lus/g
[95%KI]
[95%KI]
[95%KI]
Ørsta
22
23
74 [54-87]
7 [5-12]
30 [16-51]
Vatnefjord
23
50
76 [63-86]
11 [7-17]
56 [42-69]
24
53
89 [77-95]
15 [12-21]
64 [51-76]
25
59
97 [88-99]
24 [20-29]
93 [84-97]
26
13
92 [67-100]
15 [10-22]
77 [50-92]
27
18
94 [74-100]
25 [20-33]
89 [67-97]
28
15
87 [62-96]
30 [23-42]
80 [55-93]
Frænfjord
24
44
50 [36-64]
2 [1-3]
5 [1-15]
26
57
98 [91-100]
17 [14-19]
82 [71-90]
Tabell 12. Infestasjon av lakselus på sjøørret i PO 5. n angir antall undersøkte fisk i hver uke. Prevalens viser hvor stor andel av de undersøkte fiskene som ble funnet med en eller flere lakselus og oppgis i prosent. 95 % konfidensintervall er oppgitt i klammer bak. Intensitet angir gjennomsnittlig antall lakselus på den andelen av materialet som ble funnet med lus med 95 % konfidensintervall i klammer bak. % > 0,1 lus/ g viser andelen av det undersøkte materialet hvor infestasjonen var høyere enn 0,1 lus per gram kroppsvekt. 95 % konfidensintervall er oppgitt i klammer bak.
Figur 24. Antall lakselus (A), relativt antall lus (antall lus/gram kroppsvekt) (B) og antall lakselus fordelt på fastsittende og bevegelige stadier (C) fra sjøørret på stasjonene Frænfjord (øverst), Vatnefjord og Ørsta (nederst).
4.6 - Sør-Trøndelag (PO 6 Nordmøre og Sør-Trøndelag)
4.6.1 - Området
Produksjonsområde 6 dekker kystområdet fra Hustadvika til Flatanger og inkluderer Trondheimsfjorden samt øyene Smøla, Hitra og Frøya. Det er 62 registrerte laksevassdrag i dette produksjonsområdet hvor av elleve er nasjonale laksevassdrag. Samlet gytebestansdmål (GBM) for laksevassdragene i produksjonsområdet er på vel 87 tonn hunnlaks og teoretisk årlig produksjon er på nesten 2,4 millioner smolt (Nilsen mfl. 2017a). Sjøørret finnes også i store deler av produksjonsområdet og reproduserer i mindre vassdrag i tillegg til de nevnte lakseelvene. Det er generelt høy oppdrettsproduksjon av laksefisk i sjø langs kysten og rundt de større øyene. Indre deler av Tingvollfjorden og Halsafjorden, samt hele Åfjord og Trondheimsfjorden er nasjonale laksefjorder helt uten oppdrett. I tidsrommet for lakselusovervåkingen var det i 2020 116 lokaliteter i drift. Samlet produksjon av luseegg fra oppdrettsanlegg i varierer mellom år og tid på året. Timesproduksjonen av luseegg fra anlegg øker gradvis fra 5 til 15 millioner i mai og juni. Produksjonen er noe høyere enn i 2019. Modellen indikerer høyest tetthet av kopepoditter rundt Hitra og Frøya (figur 25).
Figur 25. Produksjon av klekte luseegg fra oppdrettsanlegg i produksjonsområde 6 i tidsrommet mars - september i 2019 og 2020. Grønt felt indikerer en periode på 70 døgn hvor en regner med at en stor andel sjøørret benytter det marine habitatet i produksjonsområdet. Figuren illustrerer også tidsrom for lavere lusegrense i oppdrettsanlegg og omtrentlig tidsrom for overvåking i dette produksjonsområdet (ruse og trål 2020, t.v.). Kartet illustrerer modellert fordeling av kopepoditter i produksjonsområdet summert over den samme 70 døgns perioden. Grønn farge i kartet indikerer lav tetthet av kopepoditter og blå farge i kartet indikerer høyere tetthet med kopepoditter t.h. Perioden på 70 døgn er lagt 20 døgn før og 50 døgn etter teoretisk 50 prosent laksesmoltutvandring for produksjonsområdet.
I 2020 ble det gjennomført postsmolttråling etter laks i ytre del av Trondheimsfjorden og i Frohavet. Det ble i tillegg gjort undersøkelser av sjøørret på to stasjoner, hvor av den ene var en varslingsstasjon med utvidet overvåking (figur 26).
Figur 26. Områder for overvåking i produksjonsområde 6. Røde sirkler angir posisjoner for undersøkelser med ruser og garn. Skravert felt viser omtrentlig område for postsmolttråling og grønne områder viser nasjonale laksefjorder.
4.6.2 - Tråling
Tråling etter utvandrende postsmolt av laks ble hovedsakelig gjennomført i ytre deler av Trondheimsfjorden og i Frohavet mellom Hitra og Ørlandet. Det ble trålet sammenhengende over en periode på 4 uker. All kultivert og merket laks, samt laks over 100 gram er ekskludert fra datamaterialet i 2020. Trålingen ble gjennomført fra og med uke 20 til og med uke 23.
Fjordsystem
Uke
n
Prevalens
Intensitet
% > 0,1 lus/g
[95%KI]
[95%KI]
[95%KI]
Trondheim
20
37
8 [3-21]
1 [1-2]
0 [0-9]
21
126
6 [3-11]
1 [1-2]
0 [0-3]
22
261
10 [7-15]
2 [1-3]
3 [2-6]
23
290
19 [15-24]
1 [1-1]
3 [2-6]
Tabell 13. Infestasjon av lakselus på trålfanget postsmolt laks fra Trondheimsfjorden. n angir antall undersøkte fisk i hver uke. Prevalens viser hvor stor andel av de undersøkte fiskene som ble funnet med en eller flere lakselus og oppgis i prosent. 95 % konfidensintervall er oppgitt i klammer bak. Intensitet angir gjennomsnittlig antall lakselus på den andelen av materialet som ble funnet med lus med 95 % konfidensintervall i klammer bak. % > 0,1 lus/ g viser andelen av det undersøkte materialet hvor infestasjonen var høyere enn 0,1 lus per gram kroppsvekt. 95 % konfidensintervall er oppgitt i klammer bak.
Figur 27. Antall lakselus (A) og relativt antall lus (B) på trålfanget postsmolt laks fra Trondheimsfjorden i uke 20-23.
4.6.3 - Ruse og garn
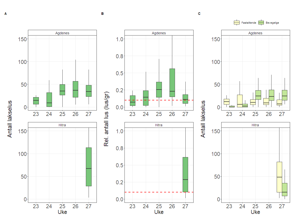
Agdenes ble valgt som fokusområdene med utvidet overvåking på sjøørret i produksjonsområde 6. Ved denne stasjonen ble sjøørret overvåket sammenhengende over en tidsperiode på 6 uker fra og med uke 23.
I tillegg ble det gjort kortere undersøkelser på stasjonen Hitra i uke 27.
Stasjon
Uke
n
Prevalens
Intensitet
% > 0,1 lus/g
[95%KI]
[95%KI]
[95%KI]
Agdenes
23
10
80 [49-94]
17 [12-22]
40 [17-69]
24
25
84 [65-94]
34 [19-61]
56 [37-73]
25
83
99 [93-100]
43 [38-51]
87 [78-92]
26
50
100 [93-100]
44 [36-53]
92 [81-97]
27
69
100 [95-100]
40 [35-46]
54 [42-65]
Hitra
27
50
100 [93-100]
76 [62-93]
76 [63-86]
Tabell 14. Infestasjon av lakselus på sjøørret i PO 6. n angir antall undersøkte fisk i hver uke. Prevalens viser hvor stor andel av de undersøkte fiskene som ble funnet med en eller flere lakselus og oppgis i prosent. 95 % konfidensintervall er oppgitt i klammer bak. Intensitet angir gjennomsnittlig antall lakselus på den andelen av materialet som ble funnet med lus med 95 % konfidensintervall i klammer bak. % > 0,1 lus/ g viser andelen av det undersøkte materialet hvor infestasjonen var høyere enn 0,1 lus per gram kroppsvekt. 95 % konfidensintervall er oppgitt i klammer bak.
Figur 28. Antall lakselus (A), relativt antall lus (antall lus/gram kroppsvekt) (B) og antall lakselus fordelt på fastsittende og bevegelige stadier (C) fra sjøørret på stasjonene Agdenes (øverst) og Hitra (nederst).
4.7 - Nord Trøndelag (PO 7 Nord-Trøndelag med Bindal)
4.7.1 - Området
Produksjonsområde 7 dekker kystområdet fra Flatanger i sør til Bindalsfjorden i Nordland og inkluderer blant annet Namsenfjorden og øygruppen Vikna. Det er 22 registrerte laksevassdrag i dette produksjonsområdet hvor av to er nasjonale laksevassdrag. Samlet gytebestandsdmål (GBM) for laksevassdragene i produksjonsområdet er på vel 27 tonn hunnlaks og teoretisk årlig produksjon er på vel 0,9 millioner smolt (Nilsen mfl. 2017a). Sjøørret finnes også i store deler av produksjonsområdet og reproduserer i mindre vassdrag i tillegg til de nevnte lakseelvene. Det er høy oppdrettsproduksjon av laksefisk i sjø langs kysten og rundt øygruppen Vikna. Namsenfjorden er nasjonal laksefjord helt uten oppdrett. I 2020 var det 59 lokaliteter i drift i tidsrommet for lakselusovervåkingen. Samlet produksjon av luseegg fra oppdrettsanlegg varierer mellom år og tid på året. Timesproduksjonen av luseegg fra anlegg var på under 5 millioner gjennom hele mai og økte noe utover juni. Modellen indikerer høyest tetthet av kopepoditter sør for Vikna, og ved Flatanger, helt sør i produksjonsområdet (figur 29).
Figur 29. Produksjon av klekte luseegg fra oppdrettsanlegg i produksjonsområde 7 i tidsrommet mars - september i 2019 og 2020. Grønt felt indikerer en periode på 70 døgn hvor en regner med at en stor andel sjøørret benytter det marine habitatet i produksjonsområdet. Figuren illustrerer også tidsrom for lavere lusegrense i oppdrettsanlegg og omtrentlig tidsrom for overvåking i dette produksjonsområdet (ruse 2020, t.v.). Kartet illustrerer modellert fordeling av kopepoditter i produksjonsområdet summert over den samme 70 døgns perioden. Grønn farge i kartet indikerer lav tetthet av kopepoditter og blå farge i kartet indikerer høyere tetthet med kopepoditter t.h. Perioden på 70 døgn er lagt 20 døgn før og 50 døgn etter teoretisk 50 prosent laksesmoltutvandring for produksjonsområdet.
I 2020 ble det gjennomført en begrenset innsats på overvåking på sjøørret med ruse stasjonen Sitter i Flatanger. Det ble ikke gjennomført postsmolttråling, eller undersøkelser med vaktbur i dette produksjonsområdet i 2020 (figur 30).
Figur 30. Områder for overvåking i produksjonsområde 7. Rød sirkel angir posisjon for undersøkelser med ruser og garn og grønne områder viser nasjonale laksefjorder.
4.7.2 - Ruse og garn
Sitter er i 2020 den eneste undersøkte stasjonen for sjøørret i PO 7. Det ble gjennomført to runder med rusefangst i henholdsvis uke 26 og 28.
Stasjon
Uke
n
Prevalens
Intensitet
% > 0,1 lus/g
[95%KI]
[95%KI]
[95%KI]
Sitter
26
41
100 [91-100]
40 [35-47]
95 [84-99]
28
25
100 [87-100]
43 [32-65]
76 [57-89]
Tabell 15. Infestasjon av lakselus sjøørret fra PO 7. n angir antall undersøkte fisk i hver uke. Prevalens viser hvor stor andel av de undersøkte fiskene som ble funnet med en eller flere lakselus og oppgis i prosent. 95 % konfidensintervall er oppgitt i klammer bak. Intensitet angir gjennomsnittlig antall lakselus på den andelen av materialet som ble funnet med lus med 95 % konfidensintervall i klammer bak. % > 0,1 lus/ g viser andelen av det undersøkte materialet hvor infestasjonen var høyere enn 0,1 lus per gram kroppsvekt. 95 % konfidensintervall er oppgitt i klammer bak.
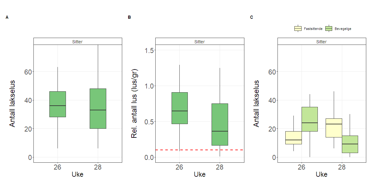
Figur 31. Antall lakselus (A), relativt antall lus (antall lus/gram kroppsvekt) (B) og antall lakselus fordelt på fastsittende og bevegelige stadier (C) fra sjøørret på stasjonen Sitter.
4.8 - Nordland sør (PO 8, Helgeland til Bodø)
4.8.1 - Området
Produksjonsområde 8 dekker kystområdet fra Bindalsfjorden på Helgeland i sør til Bodø i nord, og inkluderer i tillegg Skjerstadfjorden innenfor Saltstraumen. Det er 30 registrerte laksevassdrag i dette produksjonsområdet hvor av tre er nasjonale laksevassdrag. Samlet gytebestandsdmål (GBM) for laksevassdragene i produksjonsområdet er på vel 18 tonn hunnlaks og teoretisk årlig produksjon er på vel 364.000 smolt (Nilsen mfl. 2017a). Sjøørret og sjørøye finnes også i store deler av produksjonsområdet og reproduserer i mindre vassdrag i tillegg til de nevnte lakseelvene. Det er høy oppdrettsproduksjon av laksefisk i sjø langs det meste av kysten samt noe produksjon også inne i selve Skjerstadfjorden. Vefsnfjorden, Ranfjorden og Beiarfjorden er nasjonale laksefjorder helt uten oppdrett. I 2020 var det 82 lokaliteter i drift i perioden 1. april – 1. september. Samlet produksjon av luseegg fra oppdrettsanlegg i varierer mellom år og tid på året. Timesproduksjonen passerte 5 millioner luseegg i løpet av juni, og fortsatte å øke utover juli. Modellen indikerer høyest tetthet av kopepoditter rundt øyene på Helgeland (figur 32).
Figur 32. Produksjon av klekte luseegg fra oppdrettsanlegg i produksjonsområde 8 i tidsrommet mars - september i 2019 og 2020. Grønt felt indikerer en periode på 70 døgn hvor en regner med at en stor andel sjøørret benytter det marine habitatet i produksjonsområdet. Figuren illustrerer også tidsrom for lavere lusegrense i oppdrettsanlegg og omtrentlig tidsrom for overvåking i dette produksjonsområdet (ruse 2020, t.v.). Kartet illustrerer modellert fordeling av kopepoditter i produksjonsområdet summert over den samme 70 døgns perioden. Grønn farge i kartet indikerer lav tetthet av kopepoditter og blå farge i kartet indikerer høyere tetthet med kopepoditter t.h. Perioden på 70 døgn er lagt 20 døgn før og 50 døgn etter teoretisk 50 prosent laksesmoltutvandring for produksjonsområdet.
I 2020 ble det gjennomført kun én periode med undersøkelser av lakselusinfestasjon på sjøørret/sjørøye i dette produksjonsområdet. Det ble ikke gjennomført tråling etter postsmolt laks eller undersøkelser med vaktbur (figur 33).
Figur 33. Område for overvåking i produksjonsområde 8. Rød sirkel angir posisjon for undersøkelser med ruser og garn. Grønne områder viser nasjonale laksefjorder.
4.8.2 - Ruse og garn
Leirfjord på Helgeland ble valgt som stasjon for undersøkelser på sjøørret/sjørøye i dette produksjonsområdet og ble kun undersøkt i uke 27.
Stasjon
Uke
n
Prevalens
Intensitet
% > 0,1 lus/g
[95%KI]
[95%KI]
[95%KI]
Leirfjord
27
27
15 [6-32]
11 [1-22]
0 [0-12]
Tabell 16. Infestasjon av lakselus sjøørret fra PO 8. n angir antall undersøkte fisk i hver uke. Prevalens viser hvor stor andel av de undersøkte fiskene som ble funnet med en eller flere lakselus og oppgis i prosent. 95 % konfidensintervall er oppgitt i klammer bak. Intensitet angir gjennomsnittlig antall lakselus på den andelen av materialet som ble funnet med lus med 95 % konfidensintervall i klammer bak. % > 0,1 lus/ g viser andelen av det undersøkte materialet hvor infestasjonen var høyere enn 0,1 lus per gram kroppsvekt. 95 % konfidensintervall er oppgitt i klammer bak.
Figur 34. Antall lakselus (A), relativt antall lus (antall lus/gram kroppsvekt) (B) og antall lakselus fordelt på fastsittende og bevegelige stadier (C) fra sjøørret på stasjonen Leirfjord.
4.9 - Nordland nord (PO 9, Vestfjorden og Vesterålen)
4.9.1 - Området
Produksjonsområde 9 dekker kystområdet fra Bodø til Andøya lengst nord i Nordland og inkluderer hele Vestfjorden samt øygruppene Lofoten og Vesterålen. Det er 58 registrerte laksevassdrag i dette produksjonsområdet, men ingen av disse har status som nasjonale laksevassdrag. Samlet gytebestandsdmål (GBM) for laksevassdragene i produksjonsområdet er på vel 6,7 tonn hunnlaks med en teoretisk årlig produksjon på vel 193.000 smolt (Nilsen mfl. 2017a). Sjøørret og sjørøye finnes også i store deler av produksjonsområdet og reproduserer i mindre vassdrag i tillegg til de nevnte lakseelvene. Det er høy oppdrettsproduksjon av laksefisk i sjø langs det meste av kysten og rundt øyene i Lofoten og Vesterålen. I fjordene på fastlandssiden er produksjonen mer spredt. I PO 9 var det 82 lokaliteter i drift i perioden for lakselusovervåkingen i 2020. Samlet produksjon av luseegg fra oppdrettsanlegg i varierer mellom år og tid på året. Timesproduksjon økte gradvis, og passerte 5 millioner luseegg i løpet av juli. Modellen indikerer høyest tetthet av kopepoditter i Vesterålen (figur 35).
Figur 35. Produksjon av klekte luseegg fra oppdrettsanlegg i produksjonsområde 9 i tidsrommet mars - september i 2019 og 2020. Grønt felt indikerer en periode på 70 døgn hvor en regner med at en stor andel sjøørret benytter det marine habitatet i produksjonsområdet. Figuren illustrerer også tidsrom for lavere lusegrense i oppdrettsanlegg og omtrentlig tidsrom for overvåking i dette produksjonsområdet (ruse 2020, t.v.). Kartet illustrerer modellert fordeling av kopepoditter i produksjonsområdet summert over den samme 70 døgns perioden. Grønn farge i kartet indikerer lav tetthet av kopepoditter og blå farge i kartet indikerer høyere tetthet med kopepoditter t.h. Perioden på 70 døgn er lagt 20 døgn før og 50 døgn etter teoretisk 50 prosent laksesmoltutvandring for produksjonsområdet.
I 2020 ble det gjennomført undersøkelser av lakselusinfestasjon på sjøørret/sjørøye på to stasjoner i dette produksjonsområdet. Det ble ikke gjennomført tråling etter postsmolt laks eller undersøkelser med vaktbur (figur 36).
Figur 36. Områder for overvåking i produksjonsområde 9. Røde sirkler angir posisjoner for undersøkelser med ruser og garn. Det er ingen nasjonale laksefjorder i PO 9.
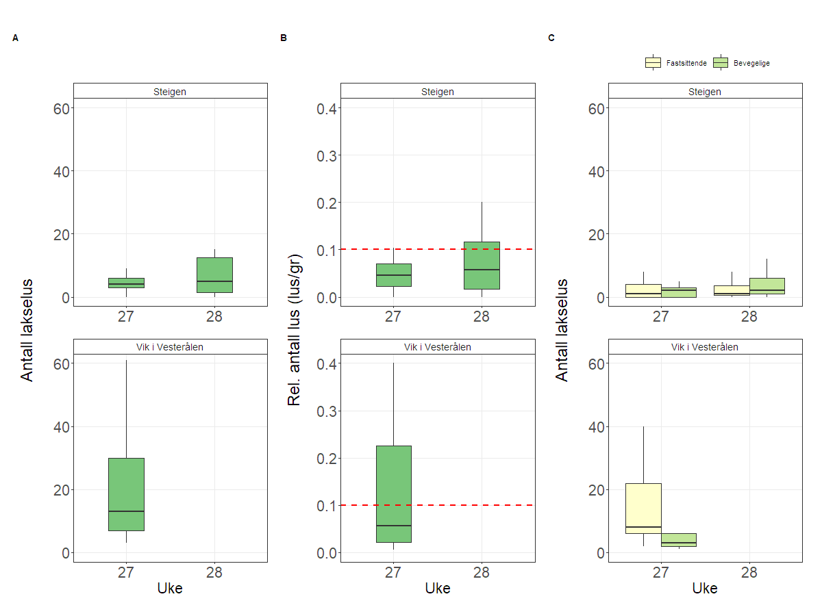
4.9.2 - Ruse og garn
Steigen og Vik i Vesterålen ble valgt som stasjoner for kortere undersøkelser av lakselus på sjøørret og sjørøye i dette produksjonsområdet. Undersøkelsene ble i 2020 gjennomført i uke 27 og 28.
Stasjon
Uke
n
Prevalens
Intensitet
% > 0,1 lus/g
[95%KI]
[95%KI]
[95%KI]
Steigen
27
25
88 [70-96]
6 [5-8]
12 [4-30]
28
23
91 [73-98]
7 [5-9]
30 [16-51]
Vik i Vesterålen
27
13
100 [77-100]
25 [14-46]
31 [13-58]
Tabell 17. Infestasjon av lakselus sjøørret fra PO 9. n angir antall undersøkte fisk i hver uke. Prevalens viser hvor stor andel av de undersøkte fiskene som ble funnet med en eller flere lakselus og oppgis i prosent. 95 % konfidensintervall er oppgitt i klammer bak. Intensitet angir gjennomsnittlig antall lakselus på den andelen av materialet som ble funnet med lus med 95 % konfidensintervall i klammer bak. % > 0,1 lus/ g viser andelen av det undersøkte materialet hvor infestasjonen var høyere enn 0,1 lus per gram kroppsvekt. 95 % konfidensintervall er oppgitt i klammer bak.
Figur 37. Antall lakselus (A), relativt antall lus (antall lus/gram kroppsvekt) (B) og antall lakselus fordelt på fastsittende og bevegelige stadier (C) fra sjøørret på stasjonene Steigen (øverst) og Vik (nederst).
4.10 - Troms sør (PO 10, Andøya til Senja)
4.10.1 - Området
Produksjonsområde 10 dekker kystområdet fra Andøya lengst nord i Nordland og strekker seg nordøstover til Malangen nord for Senja. I området er også Vågsfjorden ved Harstad samt flere fjorder på fastlandet i Sør-Troms inkludert. Det er 24 registrerte laksevassdrag i dette produksjonsområdet hvor av to har status som nasjonale laksevassdrag. Samlet gytebestandsdmål (GBM) for laksevassdragene i produksjonsområdet er på vel 12 tonn hunnlaks med en teoretisk årlig produksjon på vel 328.000 smolt (Nilsen mfl. 2017a). Sjøørret og sjørøye finnes også i store deler av produksjonsområdet og reproduserer i mindre vassdrag i tillegg til de nevnte lakseelvene. Det er høy produksjon av laksefisk i sjø i flere deler av produksjonsområdet, spesielt nordover fra Harstad og i området rundt Senja. Malangen er nasjonal laksefjord og derfor helt uten oppdrettsproduksjon. I PO 10 var det 59 lokaliteter i drift i perioden for lakselusovervåkingen i 2020. Samlet produksjon av luseegg fra oppdrettsanlegg i varierer mellom år og tid på året. Timesproduksjonen var på under 5 millioner luseegg gjennom hele juni, og økte deretter noe mot midten av juli. Modellen indikerer høy tetthet av kopepoditter i sørlige del av produksjonsområdet, samt i de ytre fjordene på Senja (figur 38).
Figur 38. Produksjon av klekte luseegg fra oppdrettsanlegg i produksjonsområde 10 i tidsrommet mars - september i 2019 og 2020. Grønt felt indikerer en periode på 70 døgn hvor en regner med at en stor andel sjøørret benytter det marine habitatet i produksjonsområdet. Figuren illustrerer også tidsrom for lavere lusegrense i oppdrettsanlegg og omtrentlig tidsrom for overvåking i dette produksjonsområdet (ruse 2020, t.v.). Kartet illustrerer modellert fordeling av kopepoditter i produksjonsområdet summert over den samme 70 døgns perioden. Grønn farge i kartet indikerer lav tetthet av kopepoditter og blå farge i kartet indikerer høyere tetthet med kopepoditter t.h. Perioden på 70 døgn er lagt 20 døgn før og 50 døgn etter teoretisk 50 prosent laksesmoltutvandring for produksjonsområdet.
I 2019 ble det gjennomført undersøkelser av lakselusinfestasjon på sjøørret/sjørøye på flere stasjoner i produksjonsområdet i en sammenhengende periode på omtrent tre uker. Det ble ikke gjennomført tråling etter postsmolt laks eller undersøkelser med vaktbur (figur 39).
Figur 39. Områder for overvåking i produksjonsområde 10. Røde sirkler angir posisjoner for undersøkelser med ruser og garn. Grønt områder viser nasjonal laksefjord.
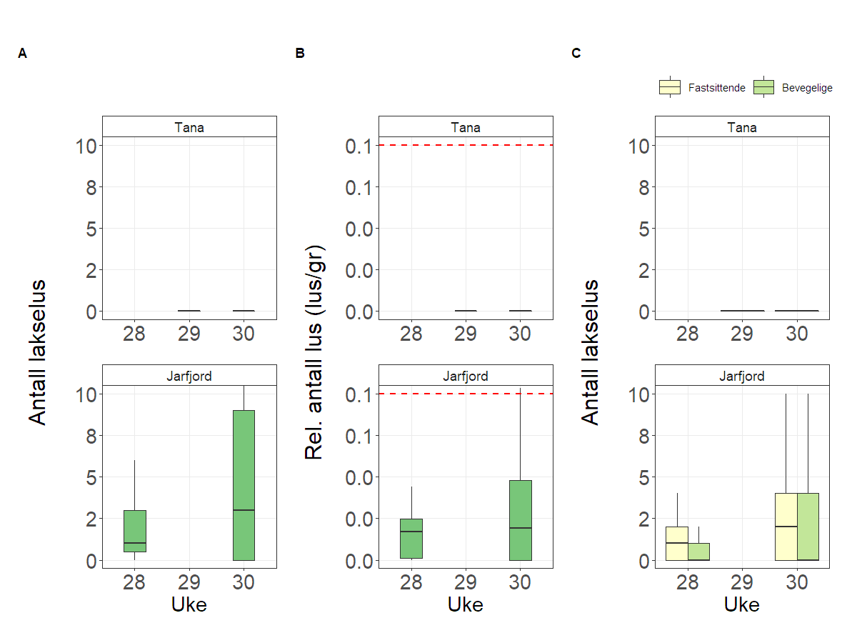
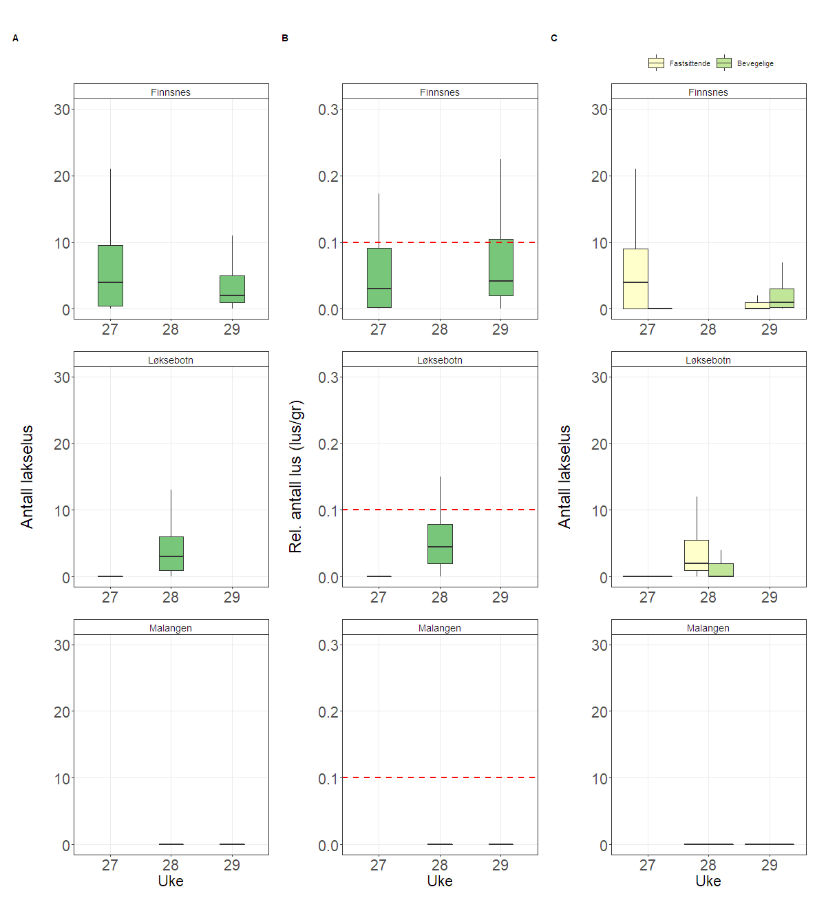
4.10.2 - Ruse og garn
Løksebotn, Finnsnes og Malangen ble valgt som stasjoner for kortere undersøkelser av lakselus på sjøørret og sjørøye i dette produksjonsområdet. Undersøkelsene ble i 2020 gjennomført i uke 27, 28 og 29.
Stasjon
Uke
n
Prevalens
Intensitet
% > 0,1 lus/g
[95%KI]
[95%KI]
[95%KI]
Løksebotn
27
73
25 [16-36]
2 [1-2]
1 [0-7]
Finnsnes
27
43
74 [60-85]
11 [7-18]
23 [13-38]
29
130
79 [71-85]
10 [7-16]
25 [19-33]
Malangen
28
20
5 [0-24]
1 [1-1]
0 [0-16]
29
29
3 [0-17]
2 [2-2]
0 [0-12]
Tabell 18. Infestasjon av lakselus sjøørret fra PO 10. n angir antall undersøkte fisk i hver uke. Prevalens viser hvor stor andel av de undersøkte fiskene som ble funnet med en eller flere lakselus og oppgis i prosent. 95 % konfidensintervall er oppgitt i klammer bak. Intensitet angir gjennomsnittlig antall lakselus på den andelen av materialet som ble funnet med lus med 95 % konfidensintervall i klammer bak. % > 0,1 lus/ g viser andelen av det undersøkte materialet hvor infestasjonen var høyere enn 0,1 lus per gram kroppsvekt. 95 % konfidensintervall er oppgitt i klammer bak.
Figur 40. Antall lakselus (A), relativt antall lus (antall lus/gram kroppsvekt) (B) og antall lakselus fordelt på fastsittende og bevegelige stadier (C) fra sjøørret på stasjonene Finnsnes (øverst), Løksebotn og Malangen (nederst).
4.11 - Troms nord (PO 11, Kvaløya til Loppa)
4.11.1 - Området
Produksjonsområde 11 dekker kystområdet fra Kvaløya vest for Tromsø til og med Kvænangen på fylkesgrensa mellom Troms og Finnmark. Området inkluderer også de større fjordene på begge sider av Lyngenhalvøya. Det er 17 registrerte laksevassdrag i dette produksjonsområdet hvor av to har status som nasjonale laksevassdrag. Samlet gytebestandsdmål (GBM) for laksevassdragene i produksjonsområdet er på vel 8,5 tonn hunnlaks med en teoretisk årlig produksjon på vel 141.000 smolt (Nilsen mfl. 2017a). Sjøørret og sjørøye finnes også i store deler av produksjonsområdet og reproduserer i mindre vassdrag i tillegg til de nevnte lakseelvene. Det er produksjon av laksefisk i sjø i flere deler av produksjonsområdet, spesielt på kysten rundt de større øyene. Reisafjorden og indre deler av Kvænangen er nasjonale laksefjorder og derfor helt uten oppdrettsproduksjon. I PO 11 var det 36 lokaliteter i drift i tidsrommet for lakselusovervåkingen i 2020. Samlet produksjon av luseegg fra oppdrettsanlegg i varierer mellom år og tid på året. I 2020 var timesproduksjonen langt under 5 millioner luseegg til og med august (figur 41).
Figur 41. Produksjon av klekte luseegg fra oppdrettsanlegg i produksjonsområde 11 i tidsrommet mars - september i 2019 og 2020. Grønt felt indikerer en periode på 70 døgn hvor en regner med at en stor andel sjøørret benytter det marine habitatet i produksjonsområdet. Figuren illustrerer også tidsrom for lavere lusegrense i oppdrettsanlegg og omtrentlig tidsrom for overvåking i dette produksjonsområdet (ruse 2020, t.v.). Kartet illustrerer modellert fordeling av kopepoditter i produksjonsområdet summert over den samme 70 døgns perioden. Grønn farge i kartet indikerer lav tetthet av kopepoditter og blå farge i kartet indikerer høyere tetthet med kopepoditter t.h. Perioden på 70 døgn er lagt 20 døgn før og 50 døgn etter teoretisk 50 prosent laksesmoltutvandring for produksjonsområdet.
I 2020 ble det gjennomført kun én periode med undersøkelser av lakselusinfestasjon på sjøørret/sjørøye i dette produksjonsområdet. Det ble ikke gjennomført tråling etter postsmolt laks eller undersøkelser med vaktbur (figur 42).
Figur 42. Område for overvåking i PO 11. Rød sirkel angir posisjon for undersøkelse med ruse og garn. Grønne områder viser nasjonale laksefjorder.
4.11.2 - Ruse og garn
Oksfjordhamn i Nordreisa ble valgt som stasjon for undersøkelser på sjøørret/sjørøye i dette produksjonsområdet og ble kun undersøkt i uke 28.
Stasjon
Uke
n
Prevalens
Intensitet
% > 0,1 lus/g
[95%KI]
[95%KI]
[95%KI]
Oksfjordhamn
28
54
39 [27-52]
2 [1-2]
0 [0-7]
Tabell 19. Infestasjon av lakselus på sjøørret/sjørøye fra PO 11. n angir antall undersøkte fisk i hver uke. Prevalens viser hvor stor andel av de undersøkte fiskene som ble funnet med en eller flere lakselus og oppgis i prosent. 95 % konfidensintervall er oppgitt i klammer bak. Intensitet angir gjennomsnittlig antall lakselus på den andelen av materialet som ble funnet med lus med 95 % konfidensintervall i klammer bak. % > 0,1 lus/ g viser andelen av det undersøkte materialet hvor infestasjonen var høyere enn 0,1 lus per gram kroppsvekt. 95 % konfidensintervall er oppgitt i klammer bak.
Figur 43. Antall lakselus (A), relativt antall lus (antall lus/gram kroppsvekt) (B) og antall lakselus fordelt på fastsittende og bevegelige stadier (C) fra sjøørret på stasjonen i Oksfjordhamn.
4.12 - Finnmark vest (PO 12, Vest-Finnmark)
4.12.1 - Området
Produksjonsområde 12 dekker kystområdet fra Loppa i vest til nordspissen av Nordkinnhalvøya og inkluderer de store fjordsystemene Alta, Porsanger og Laksefjord. Det er 18 registrerte laksevassdrag i dette produksjonsområdet hvor av fem er nasjonale laksevassdrag. Samlet gytebestandsdmål (GBM) for laksevassdragene i produksjonsområdet er på mer enn 26 tonn hunnlaks og med en teoretisk årlig produksjon på vel 580.000 smolt (Nilsen mfl. 2017a). Sjøørret og sjørøye finnes også i store deler av produksjonsområdet og reproduserer i mindre vassdrag i tillegg til de nevnte lakseelvene. Det er generelt høy oppdrettsproduksjon av laksefisk i sjø i den vestligste delen av produksjonsområdet, mens det fra Hammerfest og østover er store områder uten oppdrett. Indre del av Altafjorden og Porsangerfjorden er nasjonale laksefjorder og derfor helt uten oppdrett. I PO 12 var det 60 lokaliteter i drift i tidsrommet for lakselusovervåkingen i 2020. Samlet produksjon av luseegg fra oppdrettsanlegg i varierer mellom år og tid på året. Det ble ikke produsert mer enn 5 millioner luseegg fra anlegg i dette produksjonsområdet i tidsrommet mai – august. Modellen indikerer høyere tetthet av kopepoditter nord for Seiland og i Bergsfjord helt vest i produksjonsområdet (figur 44).
Figur 44. Produksjon av klekte luseegg fra oppdrettsanlegg i produksjonsområde 12 i tidsrommet mars - september i 2019 og 2020. Grønt felt indikerer en periode på 70 døgn hvor en regner med at en stor andel sjøørret benytter det marine habitatet i produksjonsområdet. Figuren illustrerer også tidsrom for lavere lusegrense i oppdrettsanlegg og omtrentlig tidsrom for overvåking i dette produksjonsområdet (ruse og trål 2020, t.v.). Kartet illustrerer modellert fordeling av kopepoditter i produksjonsområdet summert over den samme 70 døgns perioden. Grønn farge i kartet indikerer lav tetthet av kopepoditter og blå farge i kartet indikerer høyere tetthet med kopepoditter t.h. Perioden på 70 døgn er lagt 20 døgn før og 50 døgn etter teoretisk 50 prosent laksesmoltutvandring for produksjonsområdet.
I 2020 ble det gjennomført postsmolttråling etter laks i 4 uker. Sjøørret og sjørøye ble undersøkt ved flere stasjoner hvor av én av disse var et fokusområde med utvidet overvåking over en lengre tidsperiode. Det ble ikke gjennomført undersøkelser med vaktbur i dette produksjonsområdet i 2020 (figur 45).
Figur 45. Områder for overvåking i produksjonsområde 12. Røde sirkler angir posisjoner for undersøkelser med ruser og garn og skravert felt viser omtrentlig område for postsmolttråling. Grønne områder viser nasjonale laksefjorder.
4.12.2 - Tråling
Tråling etter utvandrende postsmolt av laks ble hovedsakelig gjennomført i ytre deler av Altafjorden og sundene mellom fastland, Stjernøya og Seiland. All kultivert og merket laks, samt laks over 100 gram er ekskludert fra datamaterialet i 2020. Trålingen ble gjennomført fra og med uke 25 til og med uke 29.
Fjordsystem
Uke
n
Prevalens
Intensitet
% > 0,1 lus/g
[95%KI]
[95%KI]
[95%KI]
Alta
25
41
5 [1-16]
1 [1-1]
0 [0-9]
26
254
8 [5-12]
1 [1-1]
0 [0-1]
27
305
4 [3-7]
1 [1-1]
0 [0-2]
28
131
3 [1-8]
2 [1-2]
0 [0-7]
29
32
3 [0-16]
1 [1-1]
0 [0-95]
Tabell 20. Infestasjon av lakselus på trålfanget postsmolt laks fra ytre del av Altafjorden. n angir antall undersøkte fisk i hver uke. Prevalens viser hvor stor andel av de undersøkte fiskene som ble funnet med en eller flere lakselus og oppgis i prosent. 95 % konfidensintervall er oppgitt i klammer bak. Intensitet angir gjennomsnittlig antall lakselus på den andelen av materialet som ble funnet med lus med 95 % konfidensintervall i klammer bak. % > 0,1 lus/ g viser andelen av det undersøkte materialet hvor infestasjonen var høyere enn 0,1 lus per gram kroppsvekt. 95 % konfidensintervall er oppgitt i klammer bak.
Figur 46. Antall lakselus (A) og relativt antall lus (B) på trålfanget postsmolt laks fra Alta i uke 26-30.
4.12.3 - Ruse og garn
Talvik i Altafjorden ble valgt som et fokusområdene med utvidet overvåking på sjøørret i produksjonsområde 12. Ved denne stasjonen ble sjøørret overvåket sammenhengende over en tidsperiode på 6 uker fra og med uke 25.
I tillegg ble det gjort kortere undersøkelser på stasjonene Skillefjord lengre ut i Altafjorden og i Handelsbukt i indre del av Porsangerfjorden i tidsrommet i uke 28 og 29.
Stasjon
Uke
n
Prevalens
Intensitet
% > 0,1 lus/g
[95%KI]
[95%KI]
[95%KI]
Talvik
25
94
1 [0-6]
1 [1-1]
11 [6-18]
26
118
1 [0-5]
1 [1-1]
0 [0-3]
27
62
2 [0-9]
1 [1-1]
0 [0-6]
28
66
17 [10-27]
2 [1-3]
2 [0-8]
29
30
40 [25-58]
5 [3-10]
10 [3-26]
30
18
44 [25-66]
4 [3-8]
11 [3-33]
Skillefjord
29
29
14 [5-31]
2 [1-3]
0[0-12]
Handelsbukt
28
15
0 [0-20]
-
0 [0-20]
29
16
0 [0-19]
-
0 [0-19]
Tabell 21. Infestasjon av lakselus sjøørret og sjørøye fra PO 12. n angir antall undersøkte fisk i hver uke. Prevalens viser hvor stor andel av de undersøkte fiskene som ble funnet med en eller flere lakselus og oppgis i prosent. 95 % konfidensintervall er oppgitt i klammer bak. Intensitet angir gjennomsnittlig antall lakselus på den andelen av materialet som ble funnet med lus med 95 % konfidensintervall i klammer bak. % > 0,1 lus/ g viser andelen av det undersøkte materialet hvor infestasjonen var høyere enn 0,1 lus per gram kroppsvekt. 95 % konfidensintervall er oppgitt i klammer bak.
Figur 47. Antall lakselus (A), relativt antall lus (antall lus/gram kroppsvekt) (B) og antall lakselus fordelt på fastsittende og bevegelige stadier (C) fra sjøørret på stasjonene Talvik (øverst), Skillefjord og Handelsbukt (nederst).
4.13 - Finnmark øst (PO 13, Øst-Finnmark)
4.13.1 - Området
Produksjonsområde 13 dekker kystområdet fra Nordkinnhalvøya i vest til riksgrensen mot Russland i øst. Tanafjorden og Varangerfjorden er de to største fjordsystemene i dette produksjonsområdet. Det er 18 registrerte laksevassdrag i dette produksjonsområdet hvor av seks har status som nasjonale laksevassdrag. Samlet gytebestandsdmål (GBM) for laksevassdragene i produksjonsområdet er på vel 75 tonn hunnlaks med en teoretisk årlig produksjon på vel 1,1 millioner smolt (Nilsen mfl. 2017a). Sjøørret og sjørøye finnes også i store deler av produksjonsområdet og reproduserer i mindre vassdrag i tillegg til de nevnte lakseelvene. Det er generelt liten produksjon av laksefisk i sjø i området. Hele Tanafjorden, Kongsfjorden og Neidenfjorden/Bøkfjorden er nasjonale laksefjorder og derfor helt uten oppdrettsproduksjon. I 2020 var det 6 lokaliteter i drift i tidsrommet for lakselusovervåkingen. Samlet produksjon av luseegg fra oppdrettsanlegg er generelt lavt i dette produksjonsområdet. Timesproduksjonen av luseegg fra anlegg var lav gjennom hele sommeren (figur 48).
Figur 48. Produksjon av klekte luseegg fra oppdrettsanlegg i produksjonsområde 13 i tidsrommet mars - september i 2019 og 2020. Grønt felt indikerer en periode på 70 døgn hvor en regner med at en stor andel sjøørret benytter det marine habitatet i produksjonsområdet. Figuren illustrerer også tidsrom for lavere lusegrense i oppdrettsanlegg og omtrentlig tidsrom for overvåking i dette produksjonsområdet (ruse 2020, t.v.). Kartet illustrerer modellert fordeling av kopepoditter i produksjonsområdet summert over den samme 70 døgns perioden. Grønn farge i kartet indikerer lav tetthet av kopepoditter og blå farge i kartet indikerer høyere tetthet med kopepoditter t.h. Perioden på 70 døgn er lagt 20 døgn før og 50 døgn etter teoretisk 50 prosent laksesmoltutvandring for produksjonsområdet.
I 2019 ble det gjennomført én periode på med undersøkelser av lakselusinfestasjon på sjøørret/sjørøye i dette produksjonsområdet (figur 49).
Figur 49. Områder for overvåking i produksjonsområde 13. Røde angir posisjoner for undersøkelser med ruser og garn og grønne områder viser nasjonale laksefjorder.
4.13.2 - Ruse og garn
Tanafjord og Jarfjord ble valgt som stasjoner for kortere undersøkelser av lakselus på sjøørret og sjørøye i dette produksjonsområdet. Undersøkelsene ble i 2020 gjennomført i uke 28-30.
Stasjon
Uke
n
Prevalens
Intensitet
% > 0,1 lus/g
[95%KI]
[95%KI]
[95%KI]
Jarfjord
28
31
74 [57-86]
3 [2-5]
3 [0-16]
30
51
73 [59-83]
8 [6-10]
10 [4-21]
Tana
29
43
0 [0-8]
-
0 [0-8]
30
24
0 [0-14]
-
0 [0-14]
Tabell 22. Infestasjon av lakselus sjøørret fra PO 13. n angir antall undersøkte fisk i hver uke. Prevalens viser hvor stor andel av de undersøkte fiskene som ble funnet med en eller flere lakselus og oppgis i prosent. 95 % konfidensintervall er oppgitt i klammer bak. Intensitet angir gjennomsnittlig antall lakselus på den andelen av materialet som ble funnet med lus med 95 % konfidensintervall i klammer bak. % > 0,1 lus/ g viser andelen av det undersøkte materialet hvor infestasjonen var høyere enn 0,1 lus per gram kroppsvekt. 95 % konfidensintervall er oppgitt i klammer bak.
Figur 50. Antall lakselus (A), relativt antall lus (antall lus/gram kroppsvekt) (B) og antall lakselus fordelt på fastsittende og bevegelige stadier (C) fra sjøørret/sjørøye på stasjonene Tana (øverst) og Jarfjord (nederst).
5 - Oppsummering av lakselusinfestasjon på vill laksefisk 2020
I 2020 ble det funnet store forskjeller i de observerte påslagene av lakselus på vill laksefisk i både tid og rom. De største påslagene ble likevel observert i området fra Vestlandet til Trøndelag. På Sørlandet og i Nord-Norge var påslagene generelt mindre selv om det det også var en del lokal variasjon i disse områdene.
På Sørlandet er det generelt lite lus. Også i området ved Flekkefjord hvor tettheten av oppdrettsanlegg er høyest på Sørlandet. Dette er i samsvar med tidligere års observasjoner. Oppover langs Vestlandet er det mer lus. Postsmolttråling og ruse/garn viste høyt påslag i Rogaland under tiden for smoltutvandring i området. Smittepresset observert fra vaktbur i Hardangerfjorden var høy, spesielt i de ytre deler av fjordsystemet, Det ble også observert en økning utover i perioden. Det ble funnet moderat til høyt påslag på den trålfangede laksen og på sjøørret. I Nordhordland og Sogn er det mye lus på sjøørreten, med unntak av stasjonen langt inne i Sognefjorden. På den trålfangete laksen ble det funnet moderate mengder lus, og betydelig mindre enn året før. Data fra sjøørret og rusefanget laks i Nordfjord viste et økende påslag utover i perioden. I Romsdalsfjorden indikerer data fra sjøørret et høyt påslag av lakselus. Infestasjon på trålfanget laks var imidlertid lav gjennom hele perioden.
I Trøndelag viste postsmolttrålingen varierende påslag av lakselus, men de fleste ble funnet med lite eller ingen lus. Data fra sjøørret viste betydelig høyere smittepress enn observert på den trålfangete laksen. Ved Sitter lengst nord i Trøndelag ble det også funnet høyt påslag av lakselus på sjøørret.
I Nordland ble det kun undersøkt sjøørret. Observasjonene fra disse indikerte et lavt smittepress ved Helgeland og i Steigen, mens det i Vesterålen var noe høyere. Det er for øvrig lite data fra dette området. Med unntak av den sørligste delen ble det i Troms og Finnmark generelt observert et lavt påslag av lakselus både på trålfanget laks fra Alta og fra sjøørret.
Datamaterialet fra NALO 2020 indikerer høyest lusepåslag på Vestlandet og i Trøndelag. Dette stemmer også godt med resultatene fra spredningsmodellen for lakselus som indikerer høyest tetthet av smittsomme luselarver i fjordene og langs kysten av Vestlandet og Trøndelag (Figur 51).
Figur 51. Modellert tetthet av lakseluskopepoditter langs Norskekysten i uke 21, 24 og 27 i 2020. Grønn farge angir lav tetthet og blå farge angir høyere tetthet.
Datamaterialet fra overvåkingsprogrammet i 2020 har mange likheter med tidligere års observasjoner på villfisk i de samme områdene (Bjørn mfl. 2012, 2013b; Nilsen mfl. 2014, 2016, 2017, 2018, 2019 og 2020). Vestlandet og Trøndelag har gjentatte ganger vist seg som de områdene hvor lusepåslag på villfisk er høyest. Dette har resultert i økt fokus på overvåkingen i disse områdene, med blant annet mer tråling etter utvandrende laks og fortsatt bruk av vaktbur. Dette øker sikkerheten i observasjonene fra overvåkingen, noe som vurderes som viktig der lakselus sannsynligvis er et problem for både villfisk og oppdrettsnæring. Det blir likevel også viktig å følge utviklingen fremover både på Sørlandet og nordover langs kysten da både klimaendringer og strukturelle endringen i oppdrettsnæringen kan forventes i tiden fremover.
6 - Utvikling av effektindikator for påvirkning av lakselus
Med en effektindikator menes her en metode for å kunne forutsi grad av negativ effekt av lakselus på sjøørret og sjørøye.
Sjøørret har en komplisert livshistorie, som også kan påvirkes av lakselus. Normalt vandrer sjøørret og røye ut fra elvene som smolt på våren, noenlunde sammenfallende i tid med laks, men utvandringen er ofte noe mer ustrakt. Den beiter deretter i fjordene og langs kysten i 2-4 måneder før den vandrer tilbake til ferskvann. En del av populasjonen, spesielt i de sørlige delene av landet, kan overvintre i sjøen. Utviklingen av en effektindikator må ta hensyn til den kompliserte livssyklusen for å kunne si noe om effekt av lakselus ved gitte infeksjonsnivåer.
I NALO programmet arbeides det med to tilnærminger. Den første er innhenting av empiriske data på andel av populasjon som er smittet med lakselus og antall lakselus disse har. Dette gjøres ved hjelp av fangst med ruse eller garn, og utføres i deler av perioden sjøørret beiter i fjordene. Den andre tilnærmingen er utvikling av en smittemodell hvor en basert på estimert tetthet av lakselus skal kunne overføre disse verdiene til en effekt på sjøørret/sjørøye.
Vi ser ofte at antall lus avtar utover sommeren selv om det er mer lus i sjøen. Det kan være flere årsaker til dette, som at den mest infiserte fisken dør, at den trekker opp i ferskvann, eller at avlust fisk returnerer til sjøen, eller at lusa dør. Vi ønsker å belyse årsakssammenhengen som er essensiell for en korrekt tolkning av data. Derfor ble det fra og med 2020 etablert en utvidet overvåking på sjøørret og sjørøye i 6 fokusområder. I fokusområdene overvåkes det i 6 forløpende uker, fisken PIT-merkes, det tas prøver til genetiske analyser, skjellprøver for vekstanalyser, samt at PIT antenner plasseres i enkelte elver i noen av disse fokusområdene for deteksjon av oppvandrende fisk. Det vil etter hvert igangsettes merking av fisk i elv for deteksjon av utvandring, samt at det skal etableres en genetisk baseline som muliggjør bestemmelse av hvilken elv fisken som fanges i sjøen kommer fra. I 2020 ble initiert i Etne i Hardangerfjorden, Herøyosen i Fensfjorden, Nordfjord, Vatne i Romsdalsfjorden, Agdenes i Trondheimsfjorden og Talvik i Altafjorden.
Basert på at en forventer at modeller vil få stadig større betydning for å vurdere effekten av lakselus, har en de senere år utviklet en modell som benyttes for å estimere tetthet av lakselus langs kysten basert på rapporterte data fra oppdrett (jfr.lakselus.no). I Appendiks X til trafikklysrapporten 2019, er det foreslått at redusert marint leveområde (RML) og redusert marin tid (RMT) bør være indikatorer for påvirkning av lakselus på sjøørret postsmolt (i stedet for dødelighet).
For å kunne videreutvikle modellen for prediksjon av effekten lakselus har på postsmolt av sjøørret og sjørøye er det en rekke parametere som må bestemmes mer presist, slik som leveområde, ut- og oppvandringstider, størrelse på utvandrende smolt og vekst i sjøen, prematur tilbakevandring, og hvordan disse påvirkes av lakselus. Data innhentet i fokusområdene kan brukes for å besvare disse forholdene, og vil kunne implementeres i en modell for prediksjon av effekt av lakselus på anadrom sjøørret og sjørøye.
7 - Status for nasjonale laksefjorder 2020
I 2007 ble 29 nasjonale laksefjorder opprettet. Disse er ment å gi en særlig beskyttelse, inkludert mot oppdrettsvirksomhet i nærliggende fjord og kystområder, til et utvalg av de viktigste laksebestandene i Norge. På vegne av styringsgruppen for nasjonale laksefjorder og laksevassdrag har Mattilsynet gitt Havforskningsinstituttet, i samarbeid med Norsk institutt for naturforskning, i oppdrag å evaluere hvilken effekt de nasjonale laksefjordene har i forhold til hvordan lakselus påvirker laks, sjøørret og sjørøye i disse fjordene. I 2012 ble det levert en midtevalueringsrapport (Bjørn mfl. 2013a), og i 2017 kom en endelig evaluering (Karlsen mfl. 2018).
En sammenheng mellom produksjon av lakselus i nærliggende oppdrettsanleggene og lus på villfisken (Serra-Llinares mfl. 2014; 2016) ble avdekket i midtevalueringen. For beitende sjøørret og sjørøye var konklusjonen fra rapporten at det ser ut som om de nasjonale laksefjordene stort sett gir vern mot smitte av lakselus fra oppdrettsanlegg dersom de er store, eller dersom det er stor avstand til oppdrettslokaliteter. Små verneområder ser derimot ut til å ha en begrenset effekt. Imidlertid viste også analysene at en stor andel av variasjonen ikke kunne forklares med gjeldende datamateriale og gjeldende analyser. Etter en evaluering av metodene ble derfor overvåkingen omstrukturert for å øke antall fisk fanget, økt kvalitet på innsamlingen, bedre dekning i tid og rom, samt at bruk av modeller ble inkorporert.
I den endelige evalueringen, fra 2017, ble effekten av lakselus fra oppdrettsanlegg vurdert for både sjøørret og utvandrende postsmolt av laks. For sjøørret ble det brukt overvåkingsdata for å sammenligne infestasjonen på ruse og garnfanget sjøørret med avstand til nærmeste oppdrettsanlegg. Det ble også vurdert i hvilken grad sjøørret i de ulike fjordene er påvirket av oppdrettsanlegg posisjonert utenfor fjorden. For utvandrende postsmolt laks ble det koblet en hydrodynamisk-biologisk modell for å vurdere driften av lakselus inn i de ulike fjordene. I tillegg ble det tatt i bruk en nyutviklet smoltmodell for å beregne dødelighet på utvandrende postsmolt laks fra de nasjonale laksevassdrag. Resultatene fra modelleringen viste hovedsakelig det samme som analysene på reelle observasjoner; Store nasjonale laksefjorder der hele utvandringsruten og beiteområdet er regulert, vil gi villfisken en god beskyttelse, mens der den nasjonale laksefjorden bare er små fjordarmer med stor oppdrettsproduksjon like utenfor og i utvandringsruten til laksesmolt, vil beskyttelsen for villfisk være redusert.
Det har ikke blitt gjort en ny vurdering av de nasjonale laksefjordene etter 2017. Likevel har innsamling og kalibrering av grunnleggende data fortsatt i årene etterpå. Dette gjelder både overvåkingsdata fra sjøørret og sjørøye, tråling for laksesmolt og utvikling/kalibrering av modellene.
I midtveisevalueringen ble en tredjedel av de aktuelle nasjonale laksefjordene undersøkt (Bjørn mfl. 2013a), mens tabellene i sluttevalueringsrapporten ble utvidet til å omfatte 14 av de 29 nasjonale laksefjordene. I de påfølgende årene (2017-2020), har mellom 8 og 10 stasjonen innenfor nasjonale laksefjorder har vært overvåket i NALO hvert år. Selv om det ikke er gjort nye analyser peker dataen i samme retning.
Spredningsmodellen for lakselus blir stadig videreutviklet og forbedret etterhvert som man får ny kunnskap om lakselusa. Dette er funnene til Crosbie mfl. (2019) et eksempel på. Ved hjelp av en laboratoriestudie ble det funnet at larvene av lakselus aktivt unnviker vann med lav salinitet. Resultatene herfra ble implementert i spredningsmodellen og validert ved hjelp av vaktbur med smolt (Sandvik mfl. 2020a). Det har videre lenge vært antydet lakselusas evne til å feste seg på vertsfisken sannsynligvis varierer med en rekke parametere, inkludert temperatur, salinitet og vannstrømmens hastighet. På bakgrunn av dette ble det i Skern-Rasmusen mfl. (2020) opparbeidet en funksjon for dette med hensyn på temperatur, som nå testes i spredningsmodellen. I 2020 ble resultatene fra sperdningsmodellen publisert på NMDC (Sandvik mfl. 2020b), og de publiseres fortløpende (ukentlig) på lakselus.no.
Ellers blir de ulike delene av modellen benyttet til studier som støtter opp under kvalitetet: Strømmodellen: Asplin mfl. (2020), Dalsøren mfl. (2020) ; Spredningsmodellen: Skarðhamar mfl. (2018), Myksvoll mfl. (2018, 2020), Johnsen mfl. (2020b), Sandvik mfl. (2020a,b); Virtuell postsmoltmodell: Johnsen mfl. (2020a), Myksvoll mfl. (2020); ROC-metoden: Sandvik mfl. (2020a), Myksvoll mfl. (2020).
Siden evalueringen av norske laksefjorder i 2017 har HI utviklet og validert en modell for å estimere påvirkning på utvandrende vill laksefisk. Modellen simulerer post-smolt som svømmer fra elv mot havet. Den er koblet til tettheten av lakselus i vannmassene langs hele kysten, og estimerer antallet lakselus som setter seg på hver modellfisk i løpet av utvandringen. For å sikre at modellestimatene er i tråd med observerte verdier av lus på fisk er lusepåslaget i modellen kalibrert til å passe best mulig med de observerte verdiene på trålfanget fisk fra 2015-2019. Modellen er beskrevet i en fagfellevurdert artikkel, godkjent for publisering (Johnsen mfl. 2020a, akseptert). Ettersom det årlig kommer inn nye observasjoner av lus på villfisk, vil kalibreringen av denne modellen bli oppdatert fortløpende. Som et resultat vil det kunne forekomme ulikhet i modellresultatene fra år til år, men oppdateringer i kalibreringen vil utgjøre vesentlig forbedring av modellresultatet. Fra 2017 er trålingen etter villfisk utvidet, noe gir godt datagrunnlag for modellkalibrering.
Alt i alt har det vært et uavbrutt arbeid med innsamling av data og videreutvikling av metodene som gir grunnlaget for evalueringen av de nasjonale laksefjordene siden publiseringen i 2017. Dermed er alle forutsetningene på plass for å kunne gjennomføre en fremtidig ny evaluering, dersom dette skulle bli etterspurt.
8 - Takk
Overvåking av lakselus på vill laksefisk langs hele Norskekysten er en krevende oppgave i seg selv. Det blir ikke lettere når hele landet, og verden for øvrig stenger ned på grunn av pandemi. På tross av alle ordinære og ekstraordinære utfordringer har vi likevel klart å gjennomføre dette enda en sesong. Takk til alle dyktige og engasjerte mennesker som har bidratt med planlegging, forberedelser, gjennomføring, kvalitetssikring og rapportering! Takket være dere kan vi nok en gang levere overvåkingsdata av god kvalitet til våre oppdragsgivere.
Ved Havforskningsinstituttet:
Anders Geertsen, Anders Jelmert, Anders Thorsen, Agnes Marie Mohn, Astrid Marie Tonstad, Atle Børje Rolland, Arna Kazazic, Bjørnar Skjold, Børge Alfstad, Grethe Thorsheim, Gunn Heidi Teigen, Gunnar Didriksen, Håkon Berg Rolness, Irene Huse, Kaja Mathilde Strømsvåg, Kaja Meek Olsen, Kaja Andersen, Kristine Hovland Holm, Lene Kleppe, Malin Høstmark, Michal Rejmer, Per Tommy Fjeldheim, Rasmus Skern, Rimas Petrauskas, Stig Mæhle, Sofie Knutar, Sussie Dalvin, Thomas Bøhn, Trude Thangstad, Vegar Seljestokken, Velemir Nola, og skippere med mannskap på leieskipene Havsund, Fangst, Brattholm, Harry Borthen, Eirik og Sandy.
Ved NINA:
Asgeir Handberg, Astrid Marie Tonstad, Bengt Finstad, Birk Rosvoll Finstad, Nicolas Sperre, Peder Naalsund, Rachel Paterson, Rolf Sivertsgård, Torgeir Havn og Vegard Handberg.
Ved (LFI) hos NORCE:
Bjørn Torgeir Barlaup, Bjørnar Skår, Christoph Postler, Knut Wiik Vollset og Turid Helle
9 - Referanser
Arechavala-Lopez P, Uglem I, Berg M, Bjørn PA, Finstad B (2016) Large-scale use of fish traps for monitoring sea trout (Salmo trutta) smolts and sea lice (Lepeophtheirus salmonis) infestations: efficiency and reliability. Marine Biology Research 12:76-84
Asplin L, Johnsen IA, Sandvik AD, Albretsen J, Sundfjord V, Aure J, Boxaspen KK (2014) Dispersion of salmon lice in the Hardangerfjord. Marine Biology Research 10:216-225
Asplin L, Albretsen J, Johnsen IA, Sandvik AD (2020) The hydrodynamic foundation for salmon lice dispersion modeling along the Norwegian coast. Ocean Dynamics 70:1151-1167
Bjørn PA, Finstad B, Asplin L, Skilbrei O, Nilsen R, Llinares RMS, Boxaspen K (2011) Metodeutvikling for overvåkning og telling av lakselus på viltlevende laksefisk: Ekstrainnsats i 2010 med midler fra FKD. Rapport fra Havforskningen Nr. 8-2011.
Bjørn PA, Nilsen R, Llinares RMS, Asplin L and others (2012) Lakselusinfeksjon på vill laksefisk langs norskekysten i 2012. Rapport fra Havforskningen. Nr. 31-2012.
Bjørn PA, Finstad B, Asplin L, Johnsen IA and others (2013a) Effekten av nasjonale laksefjorder på risikoen for lakselusinfeksjon hos vill laksefisk langs norskekysten. Midtevaluering av ordningen med nasjonale laksefjorder. Rapport fra Havforskningen, Nr 19-2013
Bjørn PA, Nilsen R, Serra-Llinares RM, Asplin L and others (2013b) Lakselusinfeksjonen på vill laksefisk langs Norskekysten i 2013. Sluttrapport til Mattilsynet. Rapport fra Havforskningen. Nr. 32-2013.
Bush AO, Lafferty KD, Lotz JM, Shostak AW (1997) Parasitology meets ecology on its own terms: Margolis et al. revisited. The Journal of parasitology 83:575-583
Crosbie T, Wright DW, Oppedal F, Johnsen IA, Samsing F, Dempster T (2019) Effects of step salinity gradients on salmon lice larvae behaviour and dispersal. Aquaculture Environment Interactions 11:181-190
Dalsøren SB, Albretsen J, Asplin L (2020) New validation method for hydrodynamic fjord models applied in the Hardangerfjord, Norway. Estuarine, Coastal and Shelf Science 246:107028
Holst JC, McDonald A (2000) FISH-LIFT: a device for sampling live fish with trawls. Fisheries Research 48:87-91
Johnsen IA, Fiksen Ø, Sandvik AD, Asplin L (2014) Vertical salmon lice behaviour as a response to environmental conditions and its influence on regional dispersion in a fjord system. Aquaculture Environment Interactions 5:127-141
Johnsen IA, Asplin L, Sandvik AD, Serra-Llinares RM (2016) Salmon lice dispersion in a northern Norwegian fjord system and the impact of vertical movements. Aquaculture Environment Interactions 8:99-116
Johnsen IA, Harvey AC, Sævik PN, Sandvik AD and others (2020a) Salmon lice induced mortality of Atlantic salmon during post-smolt migration in Norway. ICES Journal of Marine Science (in press)
Johnsen IA, Stien LH, Sandvik AD, Asplin L, Oppedal F (2020b) Optimal estimation of lice release from aquaculture based on ambient temperatures. Aquaculture Environment Interactions 12:179-191
Karlsen Ø, Asplin L, Finstad B, Sandvik AD and others (2018) Effekten av nasjonale laksefjorder på risikoen for lakselusinfestasjon hos vill laksefisk langs norskekysten-Sluttrapportering av ordningen med nasjonale laksefjorder. Fisken og Havet, Nr 2-2018
Lindenmayer DB, Likens GE (2009) Adaptive monitoring: a new paradigm for long-term research and monitoring. Trends in ecology & evolution 24:482-486
Myksvoll MS, Sandvik AD, Albretsen J, Asplin L and others (2018) Evaluation of a national operational salmon lice monitoring system—From physics to fish. PLoS One 13:e0201338
Myksvoll MS, Sandvik AD, Johnsen IA, Skarðhamar J, Albretsen J (2020) Impact of variable physical conditions and future increased aquaculture production on lice infestation pressure and its sustainability in Norway. Aquaculture Environment Interactions 12:193-204
Nilsen F, Ellingsen IH, Finstad B, Jansen PA and others (2017a) Vurdering av lakselusindusert villfiskdødelighet per produksjonsområde i 2016 og 2017. Rapport fra ekspertgrupper for vurdering av lusepåvirkning. ISBN 978-82-8088-414-5.
Nilsen R, Bjørn P, Serra-Llinares R, Asplin L and others (2014) Sluttrapport til Mattilsynet-Lakselusinfeksjonen på vill laksefisk langs norskekysten i 2014. Rapport fra Havforskningen, Nr 36-2014
Nilsen R, Bjørn PA, Serra-Llinares RM, Asplin L and others (2016) Lakselusinfeksjonen på vill laksefisk langs norskekysten i 2015. Enn fullskalatest av modellbasert varsling og tilstandsbekreftelse. Rapport fra Havforskningen, Nr. 2-2016.
Nilsen R, Serra-Llinares RM, Sandvik AD, Elvik KMS and others (2017b) Lakselusinfestasjon på vill laksefisk langs Norskekysten i 2016. Med vekt på modellbasert varsling og tilstandsbekreftelse. Rapport fra Havforskningen. Nr. 1-2017.
Nilsen R, Elvik KMS, Serra-Llinares RM, Sandvik AD and others (2018) Lakselusinfestasjon på vill laksefisk langs Norskekysten i 2017. Rapport fra Havforskningen, Nr. 4-2018.
Nilsen R, Elvik KMS, Serra-Llinares RM, Sandvik AD and others (2019) Lakselusinfestasjon på vill laksefisk langs Norskekysten i 2018. Sluttrapport til Mattilsynet. Rapport fra Havforskningen. Nr. 2019-22.
Nilsen R, Serra-Llinares RM, Sandvik AD, Elvik KMS and others (2019) Lakselusinfestasjon på vill laksefisk langs Norskekysten i 2019. Sluttrapport til Mattilsynet. Rapport fra Havforskningen. Nr. 2019-35.
Rózsa L, Reiczigel J, Majoros G (2000) Quantifying parasites in samples of hosts. Journal of parasitology 86:228-232
Sandvik AD, Bjørn PA, Ådlandsvik B, Asplin L and others (2016) Toward a model-based prediction system for salmon lice infestation pressure. Aquaculture Environment Interactions 8:527-542
Sandvik AD, Johnsen IA, Myksvoll MS, Sævik PN, Skogen MD (2020a) Prediction of the salmon lice infestation pressure in a Norwegian fjord. ICES Journal of Marine Science 77:746-756
Serra-Llinares RM, Bjørn PA, Finstad B, Nilsen R, Harbitz A, Berg M, Asplin L (2014) Salmon lice infection on wild salmonids in marine protected areas: an evaluation of the Norwegian ‘National Salmon Fjords’. Aquaculture Environment Interactions 5:1-16
Serra-Llinares RM, Bjørn PA, Finstad B, Nilsen R, Asplin L (2016) Nearby farms are a source of lice for wild salmonids: a reply to Jansen et al.(2016). Aquaculture Environment Interactions 8:351-356
Skarðhamar J, Albretsen J, Sandvik AD, Lien VS and others (2018) Modelled salmon lice dispersion and infestation patterns in a sub-arctic fjord. ICES Journal of Marine Science 75:1733-1747
Skern-Mauritzen R, Sissener NH, Sandvik AD, Meier S and others (2020) Parasite development affect dispersal dynamics; infectivity, activity and energetic status in cohorts of salmon louse copepodids. Journal of Experimental Marine Biology and Ecology 530:151429
Svåsand T, Boxaspen K, Karlsen Ø, Kvamme BO, Stien LH, Taranger GL (2015) Risikovurdering norsk fiskeoppdrett 2014. Fisken og Havet, særnummer 2-2015, 172 s
Svåsand T, Karlsen Ø, Kva Arechavala-Lopez P, Uglem I, Berg M, Bjørn PA, Finstad B (2016) Large-scale use of fish traps for monitoring sea trout (Salmo trutta) smolts and sea lice (Lepeophtheirus salmonis) infestations: efficiency and reliability. Marine Biology Research 12:76-84mme BO, Stien LH, Taranger GL, Boxaspen KK (2016) Risikovurdering norsk fiskeoppdrett 2016. Fisken og Havet, særnummer 2-2016, 190 s
Taranger G, Svåsand T, Bjørn P, Jansen P and others (2012a) Forslag til førstegangs målemetode for miljøeffekt (effektindikatorer) med hensyn til genetisk påvirkning fra oppdrettslaks til villaks, og påvirkning av lakselus fra oppdrett på viltlevende laksefiskbestander. Fisken og Havet, 13-2012:13-2012
Taranger GL, Svåsand T, Kvamme BO, Kristiansen TS, Boxaspen K (2012b) Risikovurdering norsk fiskeoppdrett. Fisken og havet, Særnummer 2-2012 131 s
Taranger GL, Svåsand T, Kvamme BO, Kristiansen TS, Boxaspen K (2013) Risikovurdering norsk fiskeoppdrett 2012. Fisken og Havet, særnummer 2-2013, 164 s
Taranger GL, Svåsand T, Kvamme BO, Kristiansen T, Boxaspen K (2014) Risikovurdering norsk fiskeoppdrett 2013. Fisken og havet, Særnummer 2-2014
Taranger GL, Karlsen Ø, Bannister RJ, Glover KA and others (2015) Risk assessment of the environmental impact of Norwegian Atlantic salmon farming. ICES Journal of Marine Science 72:997-1021
Tibshirani RJ, Efron B (1993) An introduction to the bootstrap. Monographs on statistics and applied probability 57:1-436
10 - Appendiks
Intensitet
Relativt antall lus (lus/gr)
PO
Stasjon
Uke
N
Vekt snitt
Prev
snitt
median
min
maks
IQR
v/x
median
min
maks
IQR
% over 0.1
(range)
[95% KI]
[95% KI]
[95% KI]
[95% KI]
[95% KI]
PO 1
Sandnesfjorden
22
26
216 (30-750)
58 [39-74]
2 [1-2]
1 [1-2]
1
4
1
0.49
0.01 [0-0.03]
0
0.04
0.02
0 [0-13]
Sandnesfjorden
24
27
140 (36-618)
70 [52-84]
3 [2-3]
3 [2-4]
1
6
1.5
0.78
0.02 [0.02-0.05]
0.01
0.1
0.03
0 [0-12]
Flekkefjord
22
17
84 (28-333)
82 [59-94]
4 [3-7]
3 [1-9]
1
12
3.75
3.15
0.06 [0.02-0.13]
0.02
0.4
0.05
18 [6-41]
Flekkefjord
23
15
135 (34-901)
87 [62-96]
10 [5-21]
5 [3-11]
1
48
7
16.82
0.08 [0.04-0.11]
0.02
0.28
0.05
27 [11-52]
PO 2
Ytre Årdalsfjord
23
50
130 (39-502)
100 [93-100]
44 [35-54]
40 [27-51]
1
157
44.75
25.95
0.37 [0.21-0.74]
0.01
1.51
0.77
86 [74-93]
Nedstrand
23
16
197 (33-635)
100 [81-100]
24 [17-38]
18 [9-31]
3
86
21.25
17.26
0.13 [0.05-0.53]
0.01
1.59
0.47
50 [28-72]
Nedstrand
24
11
260 (38-1468)
100 [74-100]
41 [25-60]
26 [10-81]
8
86
58.5
23.74
0.59 [0.03-1.69]
0.01
1.98
0.94
82 [52-95]
PO 3
Ålvik
22
28
49 (14-506)
29 [15-47]
3 [1-6]
2 [1-9]
1
9
2.25
3.33
0.04 [0.01-0.08]
0.01
0.08
0.01
0 [0-12]
Ålvik
23
50
56 (14-1350)
50 [37-63]
9 [5-22]
3 [2-5]
1
85
9
34.87
0.07 [0.04-0.2]
0.01
1.33
0.19
20 [11-33]
Rosendal
22
100
50 (14-1779)
79 [70-86]
7 [4-15]
2 [2-3]
1
149
4
45.19
0.1 [0.07-0.13]
0.03
0.5
0.14
39 [30-49]
Rosendal
26
40
115 (10-870)
98 [87-100]
31 [25-37]
29 [22-38]
4
82
22.5
10.45
0.58 [0.38-0.82]
0.01
1.93
0.59
90 [77-96]
Etne
21
34
216 (35-2595)
74 [57-85]
25 [16-37]
15 [3-38]
1
86
39
29.16
0.07 [0.03-0.14]
0.01
1.54
0.13
29 [17-46]
Etne
22
58
164 (36-2337)
81 [69-89]
20 [13-32]
4 [3-15]
1
159
21.5
50.25
0.05 [0.04-0.09]
0.01
1.35
0.24
26 [16-38]
Etne
23
25
159 (35-1252)
100 [87-100]
63 [42-94]
41 [25-68]
3
243
52
67.24
0.62 [0.36-0.94]
0.05
3.97
0.63
84 [65-94]
Etne
24
196
150 (0-2370)
100 [98-100]
68 [60-79]
46 [38-58]
1
495
74.5
71.45
0.73 [0.5-0.98]
0.02
-
1.22
92 [88-95]
Etne
25
128
88 (18-868)
99 [96-100]
47 [38-58]
24 [18-33]
1
237
43.5
66.69
-
0.02
6.06
0.79
84 [76-89]
PO 4
Herøyosen
21
88
156 (34-565)
100 [96-100]
48 [39-64]
33 [20-46]
3
396
54.75
66.22
0.21 [0.15-0.28]
0.03
2.64
0.28
78 [69-86]
Herøyosen
22
62
142 (27-936)
97 [89-99]
42 [32-60]
25 [13-36]
1
324
46.75
66.82
0.22 [0.18-0.31]
0.01
1.55
0.27
71 [59-81]
Herøyosen
23
68
128 (25-843)
100 [95-100]
65 [54-80]
50 [36-70]
1
289
68.75
45.43
0.55 [0.38-0.72]
0.02
3
0.6
88 [78-94]
Herøyosen
24
137
136 (23-1129)
100 [97-100]
57 [51-64]
45 [40-53]
1
194
48
24.78
0.58 [0.48-0.69]
0.02
3.3
0.56
98 [94-99]
Herøyosen
25
97
162 (31-1855)
100 [96-100]
57 [51-66]
47 [42-55]
1
194
38
24.05
0.6 [0.46-0.65]
0.02
2.06
0.59
97 [91-99]
Herøyosen
26
34
248 (33-3260)
100 [90-100]
40 [30-53]
25 [16-51]
4
145
40
30.49
0.3 [0.13-0.49]
0.04
1.06
0.48
82 [66-92]
Herdlafjord
22
37
392 (48-1047)
95 [82-99]
68 [54-86]
52 [39-75]
7
204
56.5
34.49
0.15 [0.09-0.33]
0.01
1.13
0.36
65 [49-78]
Balestrand
22
17
89 (22-244)
59 [36-78]
2 [1-2]
2 [1-3]
1
3
1
0.4
0.02 [0.01-0.04]
0.01
0.04
0.02
0 [0-18]
Balestrand
23
36
91 (18-612)
58 [42-73]
3 [2-4]
2 [1-3]
1
12
2
2.43
0.02 [0.01-0.06]
0
0.15
0.05
3 [0-14]
Balestrand
24
122
49 (16-732)
26 [19-35]
4 [3-5]
2 [1-4]
1
16
4.25
3.63
0.05 [0.03-0.1]
0
0.42
0.09
8 [5-14]
Bjordal
22
47
49 (14-424)
96 [86-99]
6 [5-8]
4 [3-6]
1
29
5
4.51
0.11 [0.09-0.18]
0.01
0.6
0.17
57 [43-70]
Bjordal
24
37
51 (20-310)
97 [86-100]
28 [22-34]
26 [21-34]
1
75
25.25
11.23
0.79 [0.44-1.07]
0.04
2.33
0.85
81 [66-91]
Nordfjord
20
57
149 (24-1887)
86 [75-93]
20 [12-34]
4 [2-9]
1
186
14
74.23
0.06 [0.04-0.08]
0.02
0.38
0.12
28 [18-41]
Nordfjord
21
93
85 (11-1186)
51 [41-60]
28 [19-44]
6 [4-29]
1
215
37.5
64.07
0.1 [0.07-0.19]
0
1.63
0.19
23 [15-32]
Nordfjord
22
156
89 (14-1398)
79 [72-85]
16 [13-20]
9 [7-12]
1
83
16
21.09
0.15 [0.13-0.18]
0.01
1.4
0.22
50 [42-58]
Nordfjord
23
160
75 (13-544)
96 [92-98]
24 [20-29]
15 [12-18]
1
154
26.75
28.54
0.31 [0.24-0.36]
0.01
5.13
0.43
73 [66-79]
Nordfjord
24
235
57 (7-549)
99 [96-100]
23 [20-26]
17 [14-20]
1
130
24.25
18.45
0.38 [0.31-0.47]
0.02
2.64
0.5
81 [75-85]
Nordfjord
25
71
85 (9-798)
92 [83-96]
28 [23-36]
26 [13-28]
1
123
31
26.19
0.33 [0.23-0.47]
0.02
2.47
0.57
70 [59-80]
PO 5
Ørsta
22
23
155 (45-1592)
74 [54-87]
7 [5-12]
5 [2-12]
1
27
10
6.97
0.08 [0.02-0.17]
0
0.35
0.15
30 [16-51]
Vatnefjord
23
50
62 (16-573)
76 [63-86]
11 [7-17]
5 [3-7]
1
65
9
20.68
0.14 [0.12-0.17]
0.01
0.63
0.11
56 [42-69]
Vatnefjord
24
53
43 (16-299)
89 [77-95]
15 [12-21]
11 [6-19]
1
88
20.5
16.48
0.31 [0.19-0.47]
0.03
0.96
0.43
64 [51-76]
Vatnefjord
25
59
53 (20-469)
97 [88-99]
24 [20-29]
23 [17-27]
1
116
15
12.17
0.5 [0.4-0.55]
0.03
1.27
0.4
93 [84-97]
Vatnefjord
26
13
58 (25-225)
92 [67-100]
15 [10-22]
10 [6-27]
5
36
12.75
7.34
0.27 [0.15-0.64]
0.06
0.72
0.47
77 [50-92]
Vatnefjord
27
18
120 (23-461)
94 [74-100]
25 [20-33]
23 [15-30]
7
61
15
7.84
0.25 [0.18-0.53]
0.04
1.17
0.36
89 [67-97]
Vatnefjord
28
15
137 (35-680)
87 [62-96]
30 [23-42]
27 [18-38]
7
68
16
10.07
0.32 [0.13-0.48]
0.05
1.17
0.25
80 [55-93]
Frænfjord
24
44
31 (13-174)
50 [36-64]
2 [1-3]
1 [1-2]
1
8
1
1.49
0.06 [0.04-0.08]
0.02
0.15
0.03
5 [1-15]
Frænfjord
26
57
50 (19-413)
98 [91-100]
17 [14-19]
15 [13-19]
1
44
11.5
5.78
0.5 [0.38-0.64]
0.04
1.39
0.38
82 [71-90]
PO 6
Agdenes
23
10
197 (52-480)
80 [49-94]
17 [12-22]
18 [6-26]
6
26
11
3.34
0.11 [0.02-0.24]
0.02
0.24
0.13
40 [17-69]
Agdenes
24
25
126 (17-332)
84 [65-94]
34 [19-61]
16 [5-50]
1
171
45
62.23
0.16 [0.08-0.28]
0.01
0.62
0.21
56 [37-73]
Agdenes
25
83
181 (19-733)
99 [93-100]
43 [38-51]
36 [33-41]
4
190
22.75
21.52
0.26 [0.18-0.3]
0.04
1.75
0.23
87 [78-92]
Agdenes
26
50
183 (27-686)
100 [93-100]
44 [36-53]
36 [27-52]
5
125
35.75
19.61
0.23 [0.16-0.43]
0.02
1.62
0.41
92 [81-97]
Agdenes
27
69
507 (37-1936)
100 [95-100]
40 [35-46]
34 [31-43]
6
147
25
14.53
0.11 [0.07-0.14]
0.01
1.09
0.13
54 [42-65]
Hitra
27
50
272 (65.5-948)
100 [93-100]
76 [62-93]
67 [44-92]
3
219
84.75
41.78
0.28 [0.16-0.51]
0.01
1.49
0.51
76 [63-86]
PO 7
Sitter
26
41
104 (30-1084)
100 [91-100]
40 [35-47]
36 [31-44]
6
98
18
9.3
0.65 [0.55-0.81]
0.08
1.29
0.44
95 [84-99]
Sitter
28
25
250 (34-1520)
100 [87-100]
43 [32-65]
33 [21-47]
6
184
28
36.61
0.36 [0.18-0.63]
0.01
3.07
0.59
76 [57-89]
PO 8
Leirfjord
27
27
128 (20-1035)
15 [6-32]
11 [1-22]
-
1
29
14.5
16.6
-
0.01
0.03
0.01
0 [0-12]
PO 9
Steigen
27
25
145 (40-913)
88 [70-96]
6 [5-8]
4 [4-9]
1
17
4.25
2.95
0.05 [0.03-0.08]
0.01
0.16
0.05
12 [4-30]
Steigen
28
23
123 (42-754)
91 [73-98]
7 [5-9]
6 [3-13]
1
15
10
3.78
0.06 [0.02-0.12]
0.01
0.2
0.1
30 [16-51]
Vik i Vesterålen
27
13
314 (31-547)
100 [77-100]
25 [14-46]
13 [6-32]
3
98
23
30.05
0.06 [0.01-0.4]
0.01
0.83
0.2
31 [13-58]
PO 10
Løksebotn
27
73
37 (10-86)
25 [16-36]
2 [1-2]
1 [1-2]
1
4
1
0.52
0.03 [0.03-0.04]
0.02
0.12
0.02
1 [0-7]
Løksebotn
28
46
128 (30-1091)
85 [72-92]
11 [6-23]
4 [2-6]
1
114
5
48.26
0.06 [0.03-0.08]
0.01
0.78
0.08
24 [14-38]
Finnsnes
27
43
130 (39-845)
74 [60-85]
11 [7-18]
6 [2-11]
1
62
10.25
19.34
0.05 [0.02-0.1]
0.01
0.59
0.08
23 [13-38]
Finnsnes
29
130
69 (22-1383)
79 [71-85]
10 [7-16]
3 [2-4]
1
157
6
46.48
0.06 [0.04-0.08]
0.01
1.75
0.1
25 [19-33]
Malangen
28
20
118 (34-736)
5 [0-24]
1 [1-1]
-
1
1
0
-
-
0
0
0
0 [0-16]
Malangen
29
29
300 (39-1034)
3 [0-17]
2 [2-2]
-
2
2
0
-
-
0.02
0.02
0
0 [0-12]
PO 11
Oksfjordhamn
28
54
330 (35-1615)
39 [27-52]
2 [1-2]
1 [1-2]
1
4
1
0.43
0.01 [0-0.01]
0
0.03
0
0 [0-7]
PO 12
Talvik
25
94
668 (37-5960)
1 [0-6]
1 [1-1]
-
1
1
0
-
-
0
0
0
11 [6-18]
Talvik
26
118
424 (18-2158)
1 [0-5]
1 [1-1]
-
1
1
0
-
-
0
0
0
0 [0-3]
Talvik
27
62
482 (26-1674)
2 [0-9]
1 [1-1]
-
1
1
0
-
-
0
0
0
0 [0-6]
Talvik
28
66
625 (28-3560)
17 [10-27]
2 [1-3]
2 [1-3]
1
5
2
0.81
0 [0-0]
0
0.02
0
2 [0-8]
Talvik
29
30
594 (39-3010)
40 [25-58]
5 [3-10]
3 [1-5]
1
20
3.25
6.09
0.01 [0-0.01]
0
0.02
0
10 [3-26]
Talvik
30
18
448 (34-1286)
44 [25-66]
4 [3-8]
4 [1-12]
1
12
2.75
2.87
0.01 [0-0.05]
0
0.05
0.01
11 [3-33]
Skillefjord
29
29
70 (29-623)
14 [5-31]
2 [1-3]
-
1
5
1
2
-
0.01
0.07
0.02
0[0-12]
PO 13
Handelsbukt
28
15
294 (111-782)
0 [0-20]
-
-
-
-
-
-
-
-
--
-
0 [0-20]
Handelsbukt
29
16
387 (102-764)
0 [0-19]
-
-
-
-
-
-
-
-
--
-
0 [0-19]
Jarfjord
28
31
178 (44-1040)
74 [57-86]
3 [2-5]
2 [1-5]
1
13
4
3.03
0.02 [0.02-0.03]
0
0.18
0.02
3 [0-16]
Jarfjord
30
51
207 (46-1220)
73 [59-83]
8 [6-10]
5 [4-9]
1
25
8
5.02
0.03 [0.02-0.05]
0
0.31
0.05
10 [4-21]
Tana
29
43
120 (58-319)
0 [0-8]
-
-
-
-
-
-
-
-
--
-
0 [0-8]
Tana
30
24
176 (71-702)
0 [0-14]
-
-
-
-
-
-
-
-
--
-
0 [0-14]
Appendikstabell 1. Fangst og infestasjonsdata for sjøørret/sjørøye fanget med ruse/garn. N angir antall undersøkte fisk på aktuelle stasjon og uke . Vekt er gjennomsnitt og oppgis i gram med største og minste verdi i parentes. Prevalens angir andel av materialet som ble funnet med lakselus. Gjennomsnitt og medianverdi oppgis i prosent med 95% konfidensintervall i klammer bak. Intensitet omhandler kun den andelen av materialet som ble funnet med lakselus. Her er gjennomsnitt og medianverdi beregnet med 95 % konfidensintervall i klammer bak. Min og maks er laveste og høyeste observerte verdi på andelen med lus. IQR er interkvartil range og v/x er varians dividert med gjennomsnitt. Relativt antall lus er beregnet ut fra totalt antall lakselus per gram kroppsvekt hos fisken. Dette er oppgitt som medianverdi med 95 % konfidensintervall i klammer bak. Min og maks er laveste og høyeste verdi, og IQR er interkvartil range for relativt antall lus. Andelen med mer enn 0,1 lus per gram er oppgitt som prosent med 95 % konfidensintervall i klammer bak.
Intensitet
Fjordsystem
Uke
n
Vekt
Prev [95% KI]
snitt [95% KI]
min
maks
% >10 lus
% >0.1 rel.int
Alta
25
41
20 (12-31)
5 [1-16]
1 [1-1]
1
1
0 [0-9]
0 [0-9]
26
254
25 (12-46)
8 [5-12]
1 [1-1]
1
2
0 [0-1]
0 [0-1]
27
305
21 (12-49)
4 [3-7]
1 [1-1]
1
1
0 [0-1]
0 [0-2]
28
131
22 (10-35)
3 [1-8]
2 [1-2]
1
3
0 [0-3]
0 [0-7]
29
32
25 (25-25)
3 [0-16]
1 [1-1]
1
1
0 [0-11]
0 [0-95]
Bokn
18
193
21 (10-52)
89 [83-92]
6 [5-7]
1
61
14 [10-20]
63 [56-69]
19
207
25 (11-56)
93 [88-96]
9 [8-11]
1
65
26 [20-32]
74 [68-80]
20
28
22 (10-40)
89 [73-96]
7 [4-19]
1
76
14 [6-31]
46 [30-64]
21
115
22 (11-72)
45 [36-54]
3 [2-3]
1
9
0 [0-3]
26 [19-35]
Hardanger
19
28
22 (11-37)
50 [33-67]
7 [4-13]
1
31
7 [2-23]
29 [15-47]
20
51
24 (12-46)
63 [49-75]
4 [3-6]
1
14
6 [2-16]
35 [24-49]
21
57
23 (11-43)
70 [57-80]
9 [7-11]
1
28
23 [14-35]
60 [47-71]
22
86
21 (12-40)
95 [89-98]
10 [8-13]
1
52
27 [19-37]
80 [71-87]
23
3
22 (10-37)
100 [44-100]
8 [2-12]
2
15
33 [2-79]
100 [44-100]
Romsdal
20
20
20 (14-32)
20 [8-42]
1 [1-2]
1
3
0 [0-16]
5 [0-24]
21
71
18 (10-32)
15 [9-26]
2 [1-5]
1
10
0 [0-5]
3 [1-10]
22
106
18 (10-34)
10 [6-18]
1 [1-1]
1
2
0 [0-3]
0 [0-3]
23
93
16 (8-42)
11 [6-19]
1 [1-2]
1
3
0 [0-4]
1 [0-6]
Sogn
19
1
38 (38-38)
100 [5-100]
13 [13-13]
13
13
100 [5-100]
100 [5-100]
20
9
27 (15-54)
89 [57-99]
3 [2-4]
1
6
0 [0-30]
44 [19-73]
21
34
23 (10-42)
65 [48-79]
4 [3-6]
1
13
6 [2-19]
41 [26-58]
22
199
19 (10-48)
80 [74-85]
2 [2-3]
1
10
0 [0-2]
42 [35-49]
Trondheimsfjorden
20
37
22 (9-97)
8 [3-21]
1 [1-2]
1
2
0 [0-9]
0 [0-9]
21
126
27 (7-77)
6 [3-11]
1 [1-2]
1
3
0 [0-3]
0 [0-3]
22
261
15 (8-30)
10 [7-15]
2 [1-3]
1
8
0 [0-1]
3 [2-6]
23
290
18 (8-36)
19 [15-24]
1 [1-1]
1
3
0 [0-1]
3 [2-6]
Appendikstabell 2. Fangst og infestasjonsdata for trålfanget laks. N angir antall undersøkte fisk på aktuelle stasjon og uke . Vekt er gjennomsnitt og oppgis i gram med største og minste verdi i parentes. Prevalen s angir andel av materialet som ble funnet med lakselus og oppgis i prosent med 95 % konfidensintervall i klammer bak. Intensitet omhandler kun den andelen av materialet som ble funnet med lakselus. Gjennomsnitt oppgis med 95 % konfidensintervall i klammer bak. Min og maks er laveste og høyeste observerte verdi. Andelen med mer enn 10 lus og andelen med mer enn 0,1 lus per gram er oppgitt som prosent med 95 % konfidensintervall i klammer bak.
Appendiksfigur 1. Plassering av vaktbur med nummerering i Hardangerfjord.
Gjennomsnitt
Periode
Startdato
Sluttdato
Burnummer
Fastsittende
Bevegelige
Total
Skottelus
Periode 1
20-05-2020
03-06-2020
1
0.5
0.04
0.54
0
20-05-2020
03-06-2020
2
2.26
0.13
2.39
0
20-05-2020
03-06-2020
3
4.64
0.36
5
0
20-05-2020
03-06-2020
4
2.57
0
2.57
0
20-05-2020
03-06-2020
5
3.58
0.08
3.65
0
20-05-2020
03-06-2020
6
2.04
0.13
2.17
0
20-05-2020
03-06-2020
7
3.32
0.09
3.41
0
21-05-2020
03-06-2020
8
5.43
0
5.43
0
21-05-2020
04-06-2020
9
7.91
0.43
8.35
0
21-05-2020
04-06-2020
10
6.65
0.22
6.87
0
21-05-2020
04-06-2020
11
7.65
0.3
7.96
0
21-05-2020
04-06-2020
12
2.56
0.12
2.68
0
21-05-2020
04-06-2020
13
9.5
0.23
9.73
0
21-05-2020
04-06-2020
14
15.67
0.14
15.81
0
21-05-2020
04-06-2020
15
10.75
0.79
11.54
0
21-05-2020
04-06-2020
16
11.46
0.08
11.54
0
20-05-2020
03-06-2020
17
1.26
0
1.26
0
20-05-2020
03-06-2020
18
0.95
0
0.95
0
Periode 2
03-06-2020
10-06-2020
1
-
-
-
-
03-06-2020
17-06-2020
2
11.1
3.6
14.7
0
03-06-2020
17-06-2020
3
4.76
2.2
6.96
0
03-06-2020
17-06-2020
4
5.81
3.15
8.96
0
03-06-2020
17-06-2020
5
7.79
2.21
10
0
03-06-2020
17-06-2020
6
10.47
1.5
11.97
0
03-06-2020
17-06-2020
7
5
0.93
5.93
0
03-06-2020
17-06-2020
8
6.64
4.18
10.82
0
04-06-2020
17-06-2020
9
6.88
2.12
9
0
04-06-2020
18-06-2020
10
11.1
2
13.1
0
04-06-2020
18-06-2020
11
6.59
2.41
9
0
04-06-2020
17-06-2020
12
3.68
0.64
4.32
0
04-06-2020
18-06-2020
13
5.5
0.62
6.12
0
04-06-2020
18-06-2020
14
12.06
2.29
14.35
0
04-06-2020
18-06-2020
15
7.87
1.3
9.17
0
04-06-2020
18-06-2020
16
5.72
1
6.72
0
03-06-2020
17-06-2020
17
1.09
0.16
1.25
0
03-06-2020
17-06-2020
18
1.21
0.62
1.83
0
Periode 3
17-06-2020
30-06-2020
1
0.13
0.1
0.23
0
17-06-2020
30-06-2020
2
2.6
1.36
3.96
0
17-06-2020
30-06-2020
3
1.83
2.62
4.45
0
17-06-2020
30-06-2020
4
2.12
1.45
3.58
0
17-06-2020
30-06-2020
5
0.97
2.21
3.18
0
17-06-2020
30-06-2020
6
1.33
3.15
4.48
0
17-06-2020
30-06-2020
7
0.86
3.43
4.29
0
17-06-2020
30-06-2020
8
0.68
4.79
5.46
0
17-06-2020
30-06-2020
9
-
-
-
-
18-06-2020
01-07-2020
10
6.45
4.25
10.7
0
18-06-2020
01-07-2020
11
1.62
0.54
2.15
0
17-06-2020
01-07-2020
12
0.1
1.71
1.81
0
18-06-2020
30-06-2020
13
-
-
-
-
-
-
14
-
-
-
-
18-06-2020
30-06-2020
15
-
-
-
-
18-06-2020
01-07-2020
16
0
0
0
0
17-06-2020
30-06-2020
17
1.55
0.1
1.66
0
17-06-2020
30-06-2020
18
0.9
0.52
1.41
0
Appendikstabell 3. Data for vaktbur i Hardangerfjorden. Startdato og sluttdato markerer utsett og opptak av burfisk i de 3 periodene . Burnummer viser til burets plassering og refererer til Appendiksfigur 1. Lusetallene er gjennomsnittstall for hvert bur i hver periode, og er videre delt inn i fastsittende og bevegelige stadier. Total er summen av fastsittende og bevegelige lus, og skottelus er oppgitt separat. Fargekodingen refererer til Figur 16; Grønn = 0-1 lus, gul = 1-5 lus, Orange = 5-10 lus og rød = mer enn 10 lus. Blå farge indikerer manglende data.