Gå til hovedinnhold

Fremmedstoffer i villfisk 2023

— Bestemmelse av uorganisk arsen, metylkvikksølv og PFAS i utvalgte sjømatprøver

Sammendrag

I dette prosjektet er det gjennomført analyser for uorganisk arsen, metylkvikksølv og perfluorerte alkylstoffer (PFAS) i ti ulike fiskearter samt reker fra norske havområder. Prøvematerialet var samlet inn gjennom ulike tidligere undersøkelser og hentet fra Havforskningsinstituttets lager av backup-prøver. Vi analyserte filetprøver av snabeluer (Sebastes mentella), breiflabb (Lophius piscatorius), lyr (Pollachius pollachius), rødspette (Pleuronectes platessa), blåkveite (Reinhardtius hippoglossoides), brosme (Brosme brosme), sei (Pollachius virens), torsk (Gadus morhua), lysing (Merluccius merluccius), hyse (Melanogrammus aeglefinus) og atlantisk kveite (Hippoglossus hippoglossus) samt hele og pillede dypvannsreker (Pandalus borealis), og prøvene hadde opprinnelse fra ulike deler av norske havområder. Uorganisk arsen er den giftigste formen av arsen, og resultatene fra analyser av til sammen 459 prøver bekreftet det vi har vist tidligere for noen av artene, at konsentrasjonen av uorganisk arsen er svært lav i norske fiskearter, selv når den totale arsenkonsentrasjonen er relativt høy. Den høyeste målte konsentrasjonen av uorganisk arsen i fiskemuskel var 4,1 µg/kg våtvekt, og andelen uorganisk arsen av totalarsen varierte fra <0,0006 % til <0,59 %. Reker hadde høyere konsentrasjoner av uorganisk arsen enn fisk, og hele reker hadde høyere konsentrasjon av uorganisk arsen enn pillede reker med gjennomsnittsverdier på henholdsvis 43,8 og 15,5 µg/kg. Andelen uorganisk arsen av totalarsen var likevel lav, med gjennomsnitt på henholdsvis 0,244 % og 0,072 % i hele og pillede reker. Det finnes ikke grenseverdier i EU og Norge for hverken totalarsen eller uorganisk arsen i sjømat, men det pågår et arbeid i EU med å utvikle grenseverdier for uorganisk arsen i sjømat, og derfor er det viktig å hente inn data til bruk i dette arbeidet. Metylkvikksølv er den giftigste formen av kvikksølv og den som er kjent for å akkumuleres mest i næringskjeden, og også den man typisk finner mest av i fiskemuskel. Det er imidlertid begrenset med data på dette, særlig i fisk fra norske havområder som ikke har punktkilder til kvikksølvforurensning. I dette prosjektet ble det benyttet en analysemetode der både konsentrasjonen av metylkvikksølv og totalkvikksølv blir bestemt samtidig. Analyse av 459 prøver viste at metylkvikksølv utgjør en stor andel av totalkvikksølvkonsentrasjonen i fiskemuskel og pillede reker, som også er ren muskel, med gjennomsnitt blant artene fra 95,7 % i brosme til 98,9 % i hyse. Hele reker, som også inneholder kroppens fordøyelsesorgan og andre organer, hadde et gjennomsnitt på bare 61,5 % metylkvikksølv (0,025 mg/kg våtvekt). Per i dag finnes det grenseverdier for totalkvikksølv i fisk, og enkelte av prøvene analysert her (breiflabb, kveite, brosme og torsk) hadde konsentrasjoner over denne grensen. Det er per i dag ingen grenseverdi som gjelder metylkvikksølv, men disse dataene viser at analyser for totalkvikksølv gir en god representasjon også av metylkvikksølvinnholdet for filet av fisk og pillede reker. PFAS er en mangfoldig gruppe av forbindelser som er svært giftige og lite nedbrytbare. Det har vært økende fokus på disse stoffene, og i 2023 kom det grenseverdier for fire av stoffene (perfluoroktansulfonat, PFOS, perfluoroktansyre, PFOA, perfluornonansyre, PFNA og perfluorheksansulfonat, PFHxS) samt summen av disse. For å møte regelverket og samle inn data på disse stoffene i norsk fisk, ble det analysert for disse fire forbindelsene og 46 flere PFAS i til sammen 206 prøver. Blant fiskeartene hadde rødspette de høyeste konsentrasjonene av sum PFAS4, med gjennomsnitt på 1,73 µg/kg, fulgt av atlantisk kveite med 0,74 µg/kg. Hele og pillede reker hadde også relativt høye konsentrasjoner med gjennomsnittlig sum PFAS4 på henholdsvis 1,44 og 0,83 µg/kg. To prøver av atlantisk kveite og en rødspette var over grenseverdi for sum PFAS4 og noen av disse var også over grenseverdiene for PFNA og PFHxS. Av de ulike PFAS-forbindelsene var det PFOS som dominerte hos de fleste artene, mens andre av forbindelsene som det var mye av var PFNA, PFTrDA, PFUnDA og FOSA, og hvilke stoffer det var mest av varierte fra art til art. Konsentarsjonene av 23 av de 50 PFAS-forbindelsene som var inkludert i analysen, var under målbart nivå. Konsentrasjonene av sum PFAS4 og summen av alle de 50 målte PFAS varierte mellom områder på ulike måter i de ulike artene uten noe sammenfallende mønster.

1 - Innledning

Fisk er en kilde til viktige næringsstoffer og de norske anbefalingene er å spise to til tre måltider fisk i uken. Fisk inneholder også fremmedstoffer som potensielt kan gi helseskade hvis de blir inntatt i for store mengder over tid. For å unngå at mat som inneholder skadelige nivåer av fremmedstoffer skal komme på markedet, er det i EU og Norge satt grenseverdier som angir høyeste tillatte konsentrasjon ved omsetning til humant konsum (Forodning (EU) 2023/915, Forskrift om visse forurensende stoffer i næringsmidler, 2015). Det er forbudt å omsette fisk som inneholder en konsentrasjon av et stoff høyere enn grenseverdien.

For stoffer der det finnes grenseverdier, er det nødvendig å samle inn data på konsentrasjoner i norsk villfisk for å dokumentere at nivåene er under grenseverdiene. Dersom det imidlertid avdekkes at konsentrasjonene av et eller flere stoffer overstiger grenseverdiene i en vesentlig andel av prøvene av en art eller fra et spesielt geografisk område, kan Mattilsynet gjennomføre tiltak for å hindre at fisk med for høye nivåer kommer ut til forbrukerne. I hovedsak har det vært gitt spesifikke råd og advarsler til forbrukerne. I enkelte tilfeller, slik som for kveite ved Sklinnabanken, har miljøgiftkonsentrasjoner over grenseverdier ført til at Fiskeridirektoratet har nedsatt fangstforbud i et avgrenset område, etter anbefaling fra Mattilsynet. 

Det er fra 2023 kommet nye grenseverdier i EU for perfluorerte alkylstoffer (PFAS) i sjømat (Forodning (EU) 2023/915). En oversikt over disse er gitt i Tabell 1.

  PFOS PFOA PFNA PFHxS Sum av PFOS, PFOA, PFNA og PFHxS1

Fiskemuskel2

2,0

0,20

0,50

0,20

2,0

Visse fiskearter3, som:
Østersjøsild
Brisling
Flyndre
Hestmakrell
Gjedde
Rødspette
Villaks og vill ørret
Steinbit

7,0

1,0

2,5

0,20

8,0

Visse fiskearter3, som:
Ansjos
Røye
Ål
Abbor

35

8,0

8,0

1,5

45

Krepsdyr4 og skjell

3,0

0,70

1,0

1,5

5,0

Tabell 1. Grenseverdier som gjelder for perfluorerte alkylstoffer i sjømat (Forodning (EU) 2023/915):

1Lower bound-summen; det vil si konsentrasjoner <LOQ blir satt lik 0 ved summering
2Hvis fisken er ment å spises hel, gjelder grenseverdien hel fisk
3Her er listet kun arter relevant for Norge
4Grenseverdien gjelder muskelkjøtt fra klør, gangbein og bakkropp. For krabber, kun muskelkjøtt fra klør og gangbein

 

Noen av grenseverdiene som gjelder de fleste fiskearter er satt relativt lavt (Tabell 1), og lavere enn bestemmelsesgrensene (LOQ) for analysemetoden som har blitt benyttet ved tidligere analyser av sjømat ved Havforskningsinstituttet (se f.eks. Wiech m.fl., 2023, Frantzen m.fl., 2020, Nilsen m.fl., 2020b, Kögel m.fl., 2021). Det er samlet inn data for PFAS gjennom mange år, men mange av resultatene er under LOQ slik at det ikke er mulig å si om konsentrasjonene er under eller over de grenseverdiene som gjelder fra og med 2023. Derfor er det et stort behov for å analysere flere sjømatprøver for PFAS-forbindelser i sjømat, med metodikk som kan måle konsentrasjoner ned til grenseverdiene og enda lavere slik det nye europeiske regelverket krever.

I EU pågår arbeid med utvikling av grenseverdier for uorganisk arsen den mest giftige formen av arsen. Grenseverdiene gjelder omsetning til humant konsum og er basert på ALARA-prinsippet, (As Low As Reasonably Achievable), og er etablert for å holde den maten som har de høyeste konsentrasjonene (de 5 % høyeste, «verstingene») borte fra markedet. Derfor er det viktig at det finnes tilstrekkelig med data på de reelle konsentrasjonene av disse stoffene i sjømat når grenseverdier utarbeides. Mattilsynet ba derfor Havforskningsinstituttet i 2023 om å gjennomføre analyser for uorganisk arsen i relevante sjømatarter.

Noen fiskearter har relativt høy totalkonsentrasjon av arsen (Arsen (As) | Stoff | hi.no). Uorganisk arsen er den giftigste arsenformen, men i fisk er det generelt antatt at størsteparten av arsenet som vi måler i fisk er den ikke-giftige organiske forbindelsen arsenobetain. I 2010 ble det analysert for uorganisk arsen i en rekke fiskearter (torsk, sild, makrell, blåkveite, brosme, sei og atlantisk kveite) som viste at konsentrasjonene er svært lave selv ved høye konsentrasjoner av totalarsen (Julshamn m.fl., 2012a). Det er imidlertid noen arter som har høye konsentrasjoner av totalarsen, og der det ikke finnes noe dokumentasjon på innholdet av uorganisk arsen. Blant disse er rødspette, breiflabb og reker (Frantzen m.fl., 2020; miljostatus.no/havmiljoindikatorer).

For å få bedre datagrunnlag for risikovurderinger knyttet til kvikksølv anbefaler EU å samle inn mer data på metylkvikksølv i sjømat (Commission recommendation (EU) 2022/1342). Fiskemuskel akkumulerer kvikksølv og det er en generell oppfatning at det aller meste av kvikksølvet som vi finner i fiskemuskel, er metylkvikksølv. Metylkvikksølv er den giftigste kvikksølvformen ved inntak via mat. Analyser for metylkvikksølv i Havforskningsinstituttets prosjekter er tidligere gjort sporadisk og hovedsakelig i forbindelse med forskningsprosjekt og særlig i områder med høye kvikksølvkonsentrasjoner på grunn av forurensning eller andre spesielle forhold (f.eks. Grunnaleite, 2014, Sverrisson m.fl., 2018, Azad m.fl., 2019a, Rua-Ibarz m.fl., 2019, Azad, 2021). Omfanget av metylkvikksølvanalyser i vanlige, kommersielle arter av fisk som er prøvetatt i områder der størsteparten av fiskeriene foregår, er lite. Tidligere har metylkvikksølvanalysene ved Havforskningsinstituttet blitt gjennomført med en egen analysemetode, mens totalkvikksølv har blitt analysert med multielementmetoden (ICPMS) sammen med andre metaller, og analysene har blitt gjort på ulike alikvoter (underprøver) av prøven. Dette har medført store utslag på den samlede måleusikkerheten og i noen tilfeller metylkvikksølvkonsentrasjoner langt over 100 % av totalkvikksølv-konsentrasjonen. Metoden for bestemmelse av metylkvikksølv er nå utvidet til å omfatte også bestemmelse av uorganisk kvikksølv. Dermed kan man få konsentrasjon av totalkvikksølv og metylkvikksølv fra samme prøve og samme analyse og redusere den samlede måleusikkerheten for metoden, sammenlignet med tidligere da totalkvikksølv og metylkvikksølv ble bestemt ved to ulike metoder.

I dette prosjektet er det i 2023 hentet prøver av fisk og reker fra backupmateriale fra ulike tidligere prosjekter. Prøvene ble opparbeidet og analysert for uorganisk arsen, metylkvikksølv og perfluorerte alkylstoffer (PFAS). Artene som er analysert er valgt ut fordi de er kommersielt viktige og mangler oppdaterte data (torsk, sei, hyse), eller fordi de tidligere har vist høye konsentrasjoner av arsen, kvikksølv eller PFAS.

2 - Materiale og metoder

2.1 - Prøvemateriale

Som prøvemateriale ble benyttet backupmateriale av fiskefilet og reker (kokte, hele og pillede). Backup-prøvene besto både av frosne, ikke tørkede prøver lagret ved -20°C og frysetørket materiale lagret uten frysing. Prøvene er samlet inn i forbindelse med ulike prosjekter, og tabell 2 gir en oversikt over de ulike prøvene, prosjektet de er hentet fra og hvilke analyser som er utført her. Prøvene ble i størst mulig grad valgt ut slik at de skulle representere ulike geografiske områder innenfor hver art.

Prosjektnr. Innsamlet år Artsnavn, norsk (latin)
Områder
MeHg N Uorg As N PFAS N
4523 2018 Snabeluer (Sebastes mentella)
 Norskehavet sør, Barentshavet Vest
30 30 20
4564 2018-2019 Breiflabb (Lophius piscatorius)
Vestlandskysten, Helgelandskysten, Vestfjorden
50 50  
4564 2018-2019 Lyr (Pollachius virens)
Vestlandskysten, Sunnmørskysten, Vestfjorden
  50  
4564 2017 Rødspette (Pleuronectes platessa)
Øygarden i Vestland, Meløy i Nordland og kysten av Finnmark
  50 30
15215 2022-2023 Reker (Pandalus borealis)
Nordsjøen, Helgelandskysten, Barentshavet
18 18 18
15231 2022-2023 Blåkveite (Reinhardtius hippoglossoides)
Tromsøflaket og utenfor Øst-Finnmark
37 37 20
15231 2021-2022 Brosme (Brosme brosme)
Nordsjøen, Sognefjorden, Sunnmøre, Vestfjorden
70 70  
15231 2022-2023 Sei (Pollachius virens)
Nordsjøen, Norskehavet og Barentshavet
50   30
15231 2022-2023 Torsk (Gadus morhua)
Barentshavet Øst, Barentshavet Vest, Nordsjøen og Svinøyhavet i Norskehavet
70 70 40
15461 2020 Lysing (Merluccius merluccius)
Nordsjøen, Romsdalsfjorden, Vesterålen
50 50  
10114000 2016, 2018-2019 Hyse (Melanogrammus aeglefinus)
Nordsjøen, ved Ålesund og vest av Bjørnøya
50   30
15312-12 2019 Kveite (Hippoglossus hippoglossus )
Ytre Sklinnadjupet, og sør i Norskehavet
34 34 18
Totalt     459 459 206
Tabell 2. Antall prøver analysert for metylkvikksølv (MeHg), uorganisk arsen (Uorg. As) og PFAS, sortert etter art. Havforskningsinstituttets prosjektnummer og år prøvene ble samlet inn er oppgitt.

4523 – Miljøgifter i fisk og fiskevarer 2016-2018 (Nilsen m.fl., 2020b)
4564 – Fremmedstoffer i villfisk med vekt på kystnære farvann 2016-2018 (Frantzen m.fl., 2020)
15215 – Forvaltningsplanarbeidet (Havindikatorer - indikatorer for tilstanden i havet - Miljøstatus (miljodirektoratet.no))
15231 – Oppfølging basisundersøkelser (Sjømatdata | hi.no)
15461 – Miljøgifter i villfisk med vekt på kystnære farvann 2019-2021 (Bank m.fl., 2023)
10114000 – Basisundersøkelse hyse (Kögel m.fl., 2021)
15312-12 – Sklinnabanken-undersøkelser (Nilsen m.fl., 2019b)

 

Alle prøvene som ikke allerede var frysetørket, ble frysetørket. Bestemmelse av uorganisk arsen og metylkvikksølv ble gjennomført ved Havforskningsinstituttets laboratorium for uorganisk kjemi. Bestemmelse av PFAS ble gjort av Eurofins.

 

2.2 - Analyser

2.2.1 - Metode 377 - Tørrstoffinnhold ved frysetørking

Tørrstoffbestemmelse ble gjort ved å veie prøvene før og etter frysetørking. Alle de kjemiske analysene ble gjort på frysetørket materiale og deretter regnet tilbake til våtvekt ved hjelp av tørrstoffinnholdet.

Metode 377 er en intern metode som er akkreditert for næringsmidler og fiskefor.

I prosjektet ble det benyttet backupmateriale av prøver som ble tatt ut tilbake i tid, de eldste var noen hyser fra 2016. Når prøver oppbevares over tid, vil tørrstoffinnholdet endre seg. Frysetørket materiale vil trekke til seg fuktighet over tid, mens ikke frysetørkede prøver som oppbevares på frys, vil tørke ut.

Av de prøvene som ble benyttet, ble prøver fra 2020 og eldre vurdert med tanke på om endret vanninnhold i prøvene kunne påvirke resultatene.

For lysing, lyr, breiflabb og hyse ble det benyttet backupprøver som var frosset, men ikke frysetørket. Disse ble frysetørket før analyse. Filetprøver som oppbevares på frys vil miste fuktighet. Derfor, når konsentrasjon av stoffene skulle beregnes tilbake til våtvekt, ble det opprinnelige tørrstoffinnholdet benyttet, det vil si tørrstoffinnholdet beregnet i det originale prosjektet, da prøven var fersk. På denne måten ble konsentrasjonene mest mulig riktig for de opprinnelige ferske filetprøvene.

For kveite, rødspette og snabeluer ble frysetørket backupmateriale benyttet. Det ble gjennomført et frysetørkforsøk for å undersøke hvor mye tørrstoffinnholdet hadde forandret seg i lagringsperioden. 9-10 frysetørkede prøver av hver av disse artene ble frysetørket på nytt, og tørrstoffinnholdet ble beregnet. Gjennomsnitt ± standardavvik av tørrstoffinnholdet i prøvene av kveite, rødspette og snabeluer var henholdsvis 93,7 ± 0,9 %, 94,4 ± 4,1 % og 94,2 ± 1,6 %.

Resultatet av de kjemiske analysene ble til slutt korrigert med følgende formel:

Xkorr = X*100/DW,

Der Xkorr er konsentrasjon korrigert for endret tørrstoffinnhold i den frysetørkede prøven, X er målt konsentrasjon på våtvekt beregnet med opprinnelig tørrstoffinnhold og DW er tørrstoffinnholdet i den analyserte prøven fra ny frysetørking.

For hver art ble gjennomsnittlig tørrstoffinnhold benyttet for å beregne korrigert konsentrasjon for de prøvene som ikke ble frysetørket på nytt.

2.2.2 - Metode 261 - Uorganisk arsen ved HPLC-ICPMS

Konsentrasjon av uorganisk arsen ble bestemt ved bruk av HPLC-ICP-MS med validert metode for marint biologisk vev med lavt fettinnhold. Omtrent 0,2 g frysetørket prøve ble tilsatt 0,1 M HNO3 i 3 % H2O2 og ekstrahert i vannbad ved 90 °C ± 2 i 60 ± 5 minutter. Uorganisk arsen består av arsenitt As (III) og arsenat As (V), og måles som summen av disse i den ekstraherte prøven, da As (III) oksideres til As (V) under ekstraksjonen. 

Uorganisk arsen blir selektivt separert fra andre arsenforbindelser (spesier) ved å benytte anionbytte HPLC, der arsenspesier blir bestemt ved bruk av ICP-MS som detektor. Konsentrasjonen av uorganisk arsen ble bestemt ved hjelp av ekstern standardkurve.

Metode 261 er basert på NS-EN 16802, og er akkreditert for marint biologisk vev og fôr. Metoden er lineær i konsentrasjonsområdet fra kvantifiseringsgrensen (LOQ) til 40 µg/L, der LOQ er beregnet til 7,3 µg/kg tørr prøve, og er validert i området 7,3 -1000 µg/kg tørr prøve. Måleusikkerheten er beregnet til 25 % i måleområdet opp til 100 µg/kg og 15 % ved høyere konsentrasjoner.

For å sikre riktigheten til metoden ble det analysert standard referansemateriale BCR-627 Tuna fish tissue. Laboratoriet deltar også regelmessig i ringtester.

Tall på totalarsen ble hentet fra analysen som ble gjennomført i det opprinnelige prosjektet, og andelen uorganisk arsen av totalarsen ble beregnet i prosent.

2.2.3 - Metode 390 – Metyl- og totalkvikksølvbestemmelse ved GC-ICPMS

Innveid prøvemengde 0,2-0,25 g frysetørket materiale ble tilsatt isotop-anriket spikeløsning av henholdsvis metylkvikksølv og uorganisk kvikksølv. Tetrametyl ammonium hydroksid (TMAH) ble tilsatt og prøvene satt på rotator for dekomponering. Løsningen ble pH-justert, tilsatt derivatiseringsreagens og derivatiserte kvikksølvforbindelser ble ekstrahert over i heksan. Heksanekstraktet ble analysert på GC-ICPMS og kvantifisert ved hjelp av isotopfortynning.

Metoden er basert på NS-EN 16801 og NMKL 202, og er akkreditert for sjømat, sjømatprodukter og fôr. For å sikre riktighet av metoden, ble standard referansemateriale analysert.

Resultatet gis ut som metylkvikksølv og totalkvikksølv (sum av metylkvikksølv og uorganisk kvikksølv). Måleområde og måleusikkerhet for metylkvikksølv og totalkvikksølv ved to ulike konsentrasjonsnivåer er gitt i Tabell 3.

 Tabell 3. Måleområde og måleusikkerhet for metylkvikksølv og totalkvikksølv på ulike nivåer.

Nivå

Måleområde (ng/g):

Måleusikkerhet (%):

 

MeHg

TotalHg

MeHg

TotalHg

Lavt

3-30

6-80

35

45

Middels/Høyt

30-5300

80-20700

25

25

 

2.2.4 - PFAS med Eurofins metode PLW8H ved LC-MS/MS Quechers

Bestemmelse av PFAS ble gjennomført hos underleverandør Eurofins food and testing, Lidköping, Sverige, med deres metode PLW8H som benytter LC-MS/MS Quechers til kvantifisering og oppslutning. Metoden er akkreditert i henhold til ISO 17025. Mer enn 40 PFAS-stoffer blir bestemt ved metoden, og en liste over de ulike stoffene og deres LOQ er gitt i Tabell 4. Måleusikkerhet var 37 %. Siden tørket prøve ble sendt til Eurofins, ble resultatet fra Eurofins gitt på tørrvektsbasis, og beregnet tilbake til våtvekt her hos HI.

Analytt LOQ (µg/kg tørrvekt)
10:2 Fluortelomersulfonat (10:2 FTS) 0,1
4:2 Fluortelomersulfonat (4:2 FTS) 0,1
6:2 Cl-PFAES/F-53B (9-klorheksadekafluor-3-oksanonan-1-sulfonat) 0,1
6:2 Fluortelomersulfonat (6:2 FTS) (H4PFOS) 0,1
7H-Dodekafluorheptansyre (HPFHpA) 0,1
8:2 Cl-PFAES/F-53B (11-kloreikosafluor-3-oksaundekan-1-sulfonat) 0,1
8:2 Fluortelomersulfonat (8:2 FTS) 0,1
DONA (Dodekafluor-3H-4,8-dioksanonansyre) 0,1
HFPO-DA (GenX) 0,1
Perfluor(2-etoksyetan)sulfonat (PFEESA) 0,1
Perfluorpropansulfonat (PFPrS) 0,1
Perfluor-3,6-dioksoheptansyre (NFDHA/3,6-OPFHpA) 0,1
Perfluor-3-metoksypropansyre (PFMPA/PF4OPeA) 0,1
Perfluor-4-metoksybutansyre (PFMBA/PF5OHxA) 0,1
Perfluorbutansulfonat (PFBS) 0,1
Perfluorbutansyre (PFBA) 1
Perfluordekansulfonsyre (PFDS) 0,1
Perfluordekansyre (PFDA) 0,1
Perfluordodekansulfonat (PFDoDS) 1
Perfluordodekansyre (PFDoDA) 0,1
Perfluorheksadekansyre (PFHxDA) 0,1
Perfluorheksansulfonamid (FHxSA   ) 0,1
Perfluorheksansulfonat (PFHxS) 0,1
Perfluorheksansyre (PFHxA) 0,1
Perfluorheptansulfonat (PFHpS) 0,1
Perfluorheptansyre (PFHpA) 0,1
Perfluornonansulfonat (PFNS) 0,1
Perfluornonansyre (PFNA) 0,1
Perfluor-4-(perfluorethyl)sycloheksylsulfonat (PFECHS) 0,1
Perfluoroktadekansyre (PFODA) 1
Perfluoroktansulfonamid (FOSA) 0,1
Perfluoroktansyre (PFOA) 0,1
Perfluoroktylsulfonat (PFOS) 0,5
Perfluortridekansulfonat (PFTrDS) 0,1
Perfluorpentansulfonat (PFPeS) 0,1
Perfluorpentansyre (PFPeA) 0,1
Perfluortetradekansyre (PFTeDA) 0,1
Perfluortridekansyre (PFTrDA) 0,01
Perfluorundekansulfonat (PFUnDS) 0,1
Perfluorundekansyre (PFUnDA) 0,01
N-etylperfluoroktansulfonamid (EtFOSA)* 1
Perfluorbutansulfanomid (FBSA)* 0,1
N-etylperfluoroktansulfonamidetanol (EtFOSE)* 1
N-etylperfluoroktansulfonamid-HAc (EtFOSAA)* 0,1
N-metylperfluoroktansulfonamid (MeFOSA)* 1
N-metylperfluoroktansulfonamidetanol (MeFOSE)* 1
N-metylperfluoroktansulfonamid-HAc (MeFOSAA)* 0,1
3:3 Fluortelomerkarboksylat (3:3 FTCA)* 0,1
5:3 Fluortelomerkarboksylat (5:3 FTCA)* 1
7:3-Fluortelomerkarboksylat (7:3 FTCA)* 1

Tabell 4. Oversikt over alle de 50 målte analyttene av per- og polyfluorerte alkylstoffer (PFAS), med kvantifiseringsgrense (LOQ) gitt på tørrvekt.

*Analytt inkludert i analysen for et begrenset utvalg av prøvene

3 - Resultater og diskusjon

3.1 - Uorganisk arsen

Konsentrasjonene av uorganisk arsen var lave i de analyserte filetprøvene av fisk (Tabell 5). Den høyeste målte enkeltkonsentrasjonen var 4,1 µg/kg våtvekt (0,0041 mg/kg), målt i en prøve av snabeluer, fulgt av en prøve av blåkveite med 3,8 µg/kg våtvekt. Nivåene var lave til tross for at gjennomsnittlig konsentrasjon av totalarsen varierte fra 2,3 mg/kg (2300 µg/kg) i lysing til 28,5 mg/kg i rødspette. Andelen uorganisk arsen av totalarsen i fiskeprøvene varierte fra <0,0006 % og opp til <0,59 %. Prøvene som hadde høyest andel uorganisk arsen hadde det fordi konsentrasjonen av totalarsen var lav, ikke fordi uorganisk arsen var høyt. For de artene som i 2010 ble analysert for uorganisk arsen, det vil si torsk, blåkveite, brosme og Atlantisk kveite (Julshamn m.fl., 2012b), bekrefter de nye analysene de lave konsentrasjonene som ble målt den gang.

Reker hadde høyere konsentrasjoner av uorganisk arsen enn fisk, og hele reker hadde høyere konsentrasjon av uorganisk arsen enn pillede reker, med gjennomsnittsverdier på henholdsvis 43,8 og 15,5 µg/kg (Tabell 5). Prosentandelen uorganisk arsen av totalarsen var likevel lav, med gjennomsnitt på 0,244 % i hele reker og 0,072 % i pillede reker. Konsentrasjonen av totalarsen var svært høy og høyere i pillede reker (snitt 28,7 mg/kg) enn i hele reker (snitt 19,6 mg/kg), og derfor var andelen uorganisk arsen av totalarsen betydelig høyere i hele reker enn i pillede reker.

Reker fra Barentshavet hadde høyere konsentrasjoner av både totalarsen og uorganisk arsen enn reker fra Nordsjøen og Helgelandskysten (Figur 1). Andelen uorganisk arsen av totalarsen i hele reker var høyest i Barentshavet, lavere i Nordsjøen og lavest i reker fisket på Helgelandskysten. I pillede reker var det liten forskjell mellom havområdene i andel uorganisk arsen. Det er ikke kjent hvorfor det er høyere arsenkonsentrasjoner i reker fra Barentshavet sammenlignet med de andre havområdene. I overvåkning knyttet til forvaltningsplanene er det tidligere vist at både torsk og reker fra Barentshavet har høyere konsentrasjoner av totalarsen enn torsk fra Nordsjøen og kysten av Norskehavet (Frantzen m.fl., 2022). Det er også vist høyere konsentrasjoner av totalarsen i sedimentprøver fra Barentshavet sammenlignet med andre områder (Mareano - samler kunnskap om havet | Mareano - samler kunnskap om havet.

Siden reker har såpass høye konsentrasjoner av totalarsen, ville det ha vært interessant i fremtiden å undersøke nærmere hvilke organiske arsenformer som finnes i rekene, ved hjelp av en metode for spesiering av organisk arsen som nylig er utviklet og validert ved Havforskningsinstituttet.

Disse resultatene dokumenterer lave nivåer av uorganisk arsen i et utvalg av norsk sjømat, på tross av at konsentrasjonene av totalarsen kan være nokså høye. Uorganisk arsen er den giftigste arsenformen (EFSA, 2024; 2009). I EU og Norge finnes ingen grenseverdier for totalarsen, mens grenseverdier for uorganisk arsen er gitt for enkelte typer mat, som ris og risprodukter, juice og babymat (Forordning (EU) 2023/915). Den laveste grenseverdien gjelder morsmelkerstatning som selges i flytende form, der er grenseverdien på 10 µg/kg. Per i dag finnes det ingen grenseverdier i EU og Norge for hverken totalarsen eller uorganisk arsen i sjømat. I EU pågår et arbeid med utvikling av grenseverdier for uorganisk arsen i sjømat, derfor er det viktig å fortsette å øke datagrunnlaget på dette.

Art N Uorg. As (µg/kg vv) TAs (mg/kg vv) Uorg. As (% av TAs)
Snabeluer (Sebastes mentella) 30 <1,1 – 4,1 (3) 2,91 (0,39 – 6,8) <0,02 – <0,27
Breiflabb (Lophius piscatorius) 50 <1 – 2,1 (1) 20,2 (4,8 – 62) <0,002 – <0,021
Lyr (Pollachius virens) 50 <1 – 1,8 (2) 4,98 (1,6 – 16) <0,006 – <0,12
Rødspette (Pleuronectes platessa) 50 <0.95 – <2,1 (1) 28,5 (4,3-171) <0,0006 - <0,047
Blåkveite (Reinhardtius hippoglossoides) 37 <1 – 3,8 (14*) 8,18 (2,2 – 15) <0,0071 – 0,10
Brosme (Brosme brosme) 70 <1 - <2 (0) 6,15 (0,17 – 77) <0.0013 - <0,59
Torsk (Gadus morhua) 70 <1 – 3,7 (6) 10,2 (0,41 – 79) <0,0018 - <0,26
Lysing (Merluccius mercluccius) 50 <1 - <2 (0) 2,30 (0,47 – 6,4) <0,016 – <0,29
Kveite (Hippoglossus hippoglossus) 34 <1,1 – 3,5 (4) 15,6 (4,3 – 43) <0,005 – <0,05
Reker (Pandalus borealis) 18      
Hele reker 12 43,8 (6,1 - 98) 19,6 (9,0 – 57) 0,244 (0,044 – 0,61)
Pillede reker 6 15,5 (7,1 – 24) 28,7 (12 – 89) 0,0716 (0,025 – 0,12)

Tabell 5. Konsentrasjoner av uorganisk arsen (Uorg. As, µg/kg våtvekt, vv), totalarsen (TAs, mg/kg vv) og uorganisk arsen gitt i % av totalarsen, per art. Antall prøver ≥LOQ er gitt i parentes. Der verdiene i minst 50 % av prøver er ≥ LOQ, er det oppgitt gjennomsnitt, minste og største verdi (snitt (min-maks)). Ellers er resultatene vist som minste - største enkeltverdi.

*Alle prøvene med resultater ≥ LOQ ble tatt utenfor kysten øst for Nordkapp

 

Uorganisk As i reker
Figur 1. Uorganisk arsen (µg/kg våtvekt) (A), totalarsen (B) og andel uorganisk arsen i % av totalarsen (C) i hele og pillede reker prøvetatt i 2022-2023; sammenligning av reker fra Barentshavet, kysten mot Norskehavet og Nordsjøen. Gjennomsnitt, minste og største verdi er gitt. NB! Ulik enhet på hver av y-aksene.

3.2 - Metylkvikksølv

Konsentrasjonene av metylkvikksølv i de analyserte filetprøvene av fisk og pillede og hele reker, er gitt i Tabell 6. Gjennomsnittlig konsentrasjon av metylkvikksølv og totalkvikksølv i filetprøver av fisk varierte fra 0,048 og 0,049 mg/kg våtvekt i hyse til 0,63 og 0,64 mg/kg våtvekt i Atlantisk kveite. Laveste og høyeste målte enkeltverdi av både metylkvikksølv og totalkvikksølv var henholdsvis 0,011 og 2,0 mg/kg våtvekt, målt i henholdsvis torsk og kveite.

Andelen metylkvikksølv av totalkvikksølv i fiskefilet varierte fra 82 til 100 %, og gjennomsnittlig andel per art varierte fra 95,7 % i brosme til 98,9 % i hyse. Det var svært god korrelasjon mellom konsentrasjonen av metylkvikksølv og konsentrasjonen av totalkvikksølv i fiskefilet med en R2 på hele 0,9988 (Figur 2A).

Hele reker hadde en lavere prosentandel metylkvikksølv enn pillede reker (Tabell 6). Gjennomsnittlig prosentandel metylkvikksølv var 61,5 % i hele reker og 98,8 % i pillede reker. Mens pillede reker er mer eller mindre rent muskelkjøtt, og er den delen vi vanligvis spiser, inneholder hele reker også kroppens indre organer og skall, der andre kvikksølvformer kan akkumuleres.

Variasjonen mellom geografiske områder for totalkvikksølv i de ulike artene er diskutert i andre rapporter og publikasjoner (Nilsen m.fl., 2010, Nilsen m.fl., 2012, Julshamn m.fl., 2013a, Julshamn m.fl., 2013b, Nilsen m.fl., 2013, Nilsen m.fl., 2016, Azad m.fl., 2019b, Frantzen m.fl., 2020, Nilsen m.fl., 2020b, Kögel m.fl., 2021, Frantzen m.fl., 2022, Bank m.fl., 2023; Ho m.fl., 2021), med et større og mer representativt prøveomfang enn det som er inkludert her. Siden metylkvikksølvkonsentrasjonen fulgte totalkvikksølvkonsentrasjonen tett, vil derfor ikke variasjonen av metylkvikksølv mellom de ulike områdene bli diskutert nærmere her.

Art   MeHg mg/kg vv THg mg/kg vv MeHg %
  N Snitt (median) Min-maks Snitt (median) Min-maks Snitt (median) Min-maks
Hyse 50 0,048 (0,043) 0,012 - 0,14 0,049 (0,043) 0,012 - 0,15 98,9 (100) 92 - 100
Breiflabb 50 0,203 (0,16) 0,019 - 0,71 0,209 (0,16) 0,019 - 0,73 96,8 (97) 91 - 100
Snabeluer 30 0,181 (0,15) 0,016 - 0,36 0,189 (0,15) 0,016 - 0,38 96,1 (96) 92 - 100
Kveite 34 0,630 (0,21) 0,033 – 2,0 0,640 (0,21) 0,035 – 2,0 97,5 (98) 91 - 100
Lysing 50 0,091 (0,075) 0,025 - 0,22 0,094 (0,079) 0,025 - 0,23 96,2 (96) 91 - 100
Brosme 70 0,274 (0,25) 0,050 - 0,74 0,287 (0,26) 0,050 - 0,80 95,7 (95) 82 - 100
Sei 50 0,087 (0,070) 0,020 - 0,27 0,091 (0,074) 0,021 - 0,29 96,1 (96) 91 - 100
Torsk 70 0,077 (0,040) 0,011 - 0,77 0,081 (0,042) 0,011 - 0,80 96,7 (96) 91 - 100
Reker hele 12* 0,025 (0,022) 0,012 - 0,048 0,040 (0,033) 0,023 - 0,072 61,5 (64) 43 - 72
Reker pillede 6* 0,050 (0,040) 0,019 - 0,091 0,051 (0,040) 0,019 - 0,097 98,8 (100) 94 - 100
Blåkveite 37 0,097 (0,062) 0,018 - 0,42 0,099 (0,063) 0,018 - 0,42 97,6 (97) 93 - 100
Tabell 6. Konsentrasjoner per art av metylkvikksølv (MeHg, mg/kg våtvekt, vv), totalkvikksølv (THg, mg/kg vv) og andel metylkvikksølv av totalkvikksølvkonsentrasjonen (MeHg, %). Gjennomsnitt (median), minste og største verdi er gitt. Røde tall er over grenseverdien for totalkvikksølv i henhold til EU 2023/915.

*Samleprøver

 

Korrelasjon mellom totalkvikksølv og metylkvikksølv i fisk og i reker
Figur 2. Konsentrasjon av metylkvikksølv (mg/kg våtvekt) plottet mot konsentrasjon av totalkvikksølv (mg/kg våtvekt) i filet av alle de analyserte fiskeartene (A) og i hele og pillede reker (B). R2 angir den lineære korrelasjonskoeffisienten mellom metylkvikksølv og totalkvikksølv.

I dag finnes grenseverdier i EU og Norge for totalkvikksølv i sjømat (Forodning (EU) 2023/915, Forskrift om visse forurensende stoffer i næringsmidler, 2015). Det er imdilertid ønskelig med mer data på metylkvikksølv i sjømat, da kunnskap om hvor mye av totalkvikksølv som er metylkvikksølv i ulike arter vil kunne bidra til å forbedre eksponerings- og risikovurderinger (Commission recommendation (EU) 2022/1342). Dataene samlet inn for norsk fisk i denne undersøkelsen vil gi et viktig bidrag til dette arbeidet. De nye resultatene, som viser gjennomsnittlig andel metylkvikksølv i ulike fiskearter mellom 96 og 99 % av totalkvikksølv, bekrefter at totalkvikksølv i stor grad fungerer godt som «proxy», en stedfortreder, for metylkvikksølv i fiskefilet.


3.3 - Perfluorerte alkylstoffer

Konsentrasjonene av de fire PFAS-forbindelsene, summen av de fire (Sum PFAS4) som det er grenseverdier for og summen av alle PFAS målt i dette arbeidet med konsentrasjoner ≥ LOQ (heretter kalt «sum alle målte PFAS»), er gitt i Tabell 7. Resultatene for hver enkelt PFAS-forbindelse per art er gitt i vedlegget, Tabell A1-A9. Noen av forbindelsene ble bare bestemt i et fåtall av prøvene, og mange av forbindelsene var alltid under LOQ.

Filet av rødspette og hele reker hadde de høyeste gjennomsnittlige konsentrasjonene av sum PFAS4, med gjennomsnittskonsentrasjoner på henholdsvis 1,73 og 1,44 µg/kg våtvekt. Deretter var rekkefølgen for gjennomsnittlig sum PFAS4 blant de analyserte prøvene som følger: Pillede reker > kveite > hyse> blåkveite > torsk > snabeluer > sei. To prøver av Atlantisk kveite og en av rødspette var over en eller flere av grenseverdiene som er satt for fire ulike PFAS-forbindelser og summen av disse (Tabell 7). Prøvene av alle andre fiskearter og reker analysert her, var innenfor grenseverdiene.

Resultater for summen av alle PFAS-forbindelsene som ble målt i konsentrasjoner over LOQ, inkludert de som det ikke er grenseverdier for (sum alle målte PFAS), er også vist i Tabell 7. Hele og pillede reker hadde de høyeste totalkonsentrasjonene, med gjennomsnitt på henholdsvis 4,1 og 3,2 µg/kg våtvekt, fulgt av rødspette (2,1 µg/kg), kveite (1,9 µg/kg) og hyse (1,0 µg/kg). Blåkveite, sei, torsk og snabeluer hadde alle nokså like gjennomsnittlige totalkonsentrasjoner, mellom 0,46 og 0,55 µg/kg våtvekt.

Analyse for PFAS ble gjort i frysetørkede prøver. Det er i ettertid stilt spørsmål ved om frysetørking kan påvirke konsentrasjonen av PFNA og PFOA. Disse forbindelsene er blitt nevnt å være flyktig og derfor kunne fordampe noe. Dette er imidlertid høyst usikkert. For å vite sikkert hvordan frysetørking eventuelt påvirker PFAS-konsentrasjonene i fiskefilet, burde det gjennomføres forsøk der samme prøve blir analysert både med og uten frysetørking.

  PFHxS
µg/kg vv
PFOS
µg/kg vv
PFOA
µg/kg vv
PFNA
µg/kg vv
Sum PFAS4 µg/kg vv Sum PFAStot, µg/kg vv
Grenseverdier 0.20/1.53 2.0/7.02/3.03 0.20/1.02/0.73 0.50/2.52/1.03 2.0/8.02/5.03  
  Snitt (median) Min-maks Snitt (median) Min-maks Snitt (median) Min-maks Snitt (median) Min-maks Snitt (median) Min-maks Snitt (median) Min-maks
Blåkveite
N = 20
0,0049 (0,004) <0,0023 - 0,013 0,206 (0,21) 0,080 - 0,35 <0,0019-<0,0029 0,055 (0,042) 0,011 - 0,18 0,265 (0,26) 0,091 - 0,42 0,465 (0,50) 0,18 – 0,69
n≥ LOQ 16 20 0 20    
Hyse
N = 30
0,0088 (0,009) <0,0021 - 0,054 0,176 (0,19) 0,060 - 0,30 0,025 (0,022) 0,003 - 0,096 0,155 (0,16) 0,0099 - 0,48 0,361 (0,38) 0,078 - 0,88 1,04 (0,96) 0,56 – 1,7
n≥ LOQ 10 30 30 30    
Kveite
N = 18
0,070 (0,025) <0,004 - 0,22 0,464 (0,37) 0,090 - 1,3 0,019 (0,016) <0,0019 – 0,063 0,196 (0,064) 0,019 - 0,65 0,74 (0,45) 0,12 - 2,2 1,92 (0,65) 0,36 – 6,9
n≥ LOQ 8 18 7 18    
Reker, hele
N=12
0,0154 (0,014) <0,0081 - 0,027 1,07 (1,0) 0,79 - 1,5 0,079 (0,059) 0,002 - 0,18 0,275 (0,26) 0,17 - 0,48 1,44 (1,5) 1,0 - 1,8 4,13 (3,5) 2,1 – 6,6
n≥ LOQ 10 12 10 12    
Reker, pillede**
N = 6
0,026 (0,008) <0,0027 - 0,12 0,617 (0,74) 0,002 - 0,80 0,046 (0,041) 0,015 - 0,086 0,158 (0,14) 0,095 - 0,24 0,830 (0,94) 0,15 - 1,1 3,23 (3,6) 2,4 – 5,0
n≥ LOQ 5 6 6 6    
Rødspette*
N=30
0,026 (0,010) <0,0017 - 0,19 1,44 (0,84) 0,023 - 5,6 0,012 (0,0082) <0,0019 - 0,069 0,260 (0,094) 0,027 - 3,5 1,73 (0,91) 0,11 – 9,1 2,10 (2,9) 0,21 – 12
n≥ LOQ 20 30 28 30    
Sei
N = 30
0,0039 (0,002) <0,0017 - 0,010 0,130 (0,11) 0,021 - 0,350 0,003 (0,002) <0,0017 - 0,010 0,0183 (0,018) 0,003 - 0,051 0,152 (0,14) 0,026 - 0,38 0,551 (0,43) 0,15 – 1,4
n≥ LOQ 4 30 14 30    
Torsk
N = 40
0,0033 (0,002) <0,0018 - 0,020 0,166 (0,16) 0,023 - 0,43 0,007 (0,004) <0,0018 - 0,053 0,0447 (0,041) <0,0068 - 0,18 0,216 (0,19) 0,039 - 0,53 0,459 (0,43) 0,15 – 0,88
n≥ LOQ 7 40 28 39    
Snabeluer
N = 20
<0,021 - <0,028 0,121 (0,12) 0,063 - 0,20 (0,025) <0,022 - 0,055 0,095 (0,087) <0,022 - 0,16 0,165 (0,14) 0 - 0,38 0,476 (0,41) 0,20 – 1,0
n≥ LOQ 0 10 5 19 19  

Tabell 7. Konsentrasjoner av perfluorerte alkylstoffer (PFAS, µg/kg våtvekt) i ulike fiskearter. Resultater er vist for perfluorheksansulfonat (PFHxS), perfluoroktansulfonat (PFOS), perfluoroktansyre (PFOA) og perfluornonansyre (PFNA) og sum av disse (Sum PFAS4; lower bound sum1). Gjennomsnitt (median), minste og største verdi (min-max) er gitt per art, og antall prøver (N) samt antall prøver med målbar konsentrasjon (n≥ LOQ). Sum PFAStot summerer konsentrasjonene av alle PFAS analysert for i dette arbeidet og som hadde konsentrasjoner ≥ LOQ. Resultater for alle enkelt-PFAS er gitt i vedlegg, Tabell A1-A9.

1 Konsentrasjoner av enkeltforbindelser under kvantifiseringsgrensen (<LOQ) er satt lik 0
2 Grenseverdi som gjelder en rekke fiskearter; her bare representert av rødspette
3 Grenseverdi som gjelder muskelkjøtt av krepsdyr


3.3.1 - Atlantisk kveite

Av 18 analyserte prøver av Atlantisk kveite, hadde to fisk konsentrasjoner av PFAS i filet som overskred grenseverdier. I de to prøvene var konsentrasjonene av PFNA henholdsvis 0,64 og 0,65 µg/kg våtvekt, over grenseverdien på 0,5 µg/kg. Konsentrasjonen av PFHxS i den ene av de to prøvene var på 0,22 og like over grenseverdien på 0,2 µg/kg våtvekt, mens konsentrasjonen var under grenseverdien i den andre prøven. Den ene kveiten hadde dessuten en konsentrasjon av sum PFAS4 på 2,2 mg/kg, like over grenseverdien på 2,0 µg/kg, mens den andre hadde en konsentrasjon av sum PFAS4 lik grenseverdien. De to kveitene som hadde nivåer over grenseverdiene, var begge fisket i området Ytre Sklinnadjupet.

Gjennomsnittlig sum PFAS4 og sum alle målte PFAS i kveite var henholdsvis 0,736 og 1,92 µg/kg våtvekt (median henholdsvis 0,45 og 0,69 µg/kg) (Tabell 7). De forbindelsene som hadde høyest konsentrasjoner (>0,1 µg/kg), var i synkende rekkefølge etter gjennomsnitt: PFTrDA, PFOS, PFUnDA, PFNA, PFDA og PFDoDA (Tabell A1).

Kveite fra Ytre Sklinnadjupet hadde generelt mye høyere PFAS-konsentrasjoner enn kveite fisket sør i område 07, i Norskehavet utenfor Møre (Figur 3). Ytre Sklinnadjupet er det området hvor kveite i flere omganger har vist forhøyede konsentrasjoner av kvikksølv og dioksiner og dioksinlignende PCB, som har medført fiskeforbud (Nilsen m.fl., 2016, Nilsen m.fl., 2019a, Nilsen m.fl., 2020a). Det er interessant at også PFAS-konsentrasjonene er høyere i de kveitene som ble fra Ytre Slinnadjupet enn i kveitene fra det andre området som er undersøkt. Samtidig må det presiseres at bare 9 fisk fra hvert av de to områdene ble analysert, noe som er for lite til å trekke sikre konklusjoner om geografisk variasjon. Det er mulig at PFAS bør inkluderes i videre undersøkelser av miljøgifter i området Ytre Sklinnadjupet.

PFAS i kveite og rødspette
Figur 3. Konsentrasjon av Sum PFAS4 (Lower bound (LB) summen av PFOS, PFOA, PFHxS og PFNA) og sum alle målte PFAS i Atlantisk kveite (venstre) og rødspette (høyre) prøvetatt i ulike områder. De røde linjene angir grenseverdiene for sum PFAS4 som gjelder for de fleste fiskearter (2,0 µg/kg) og for rødspette (8,0 µg /kg).

3.3.2 - Rødspette

Rødspette er en av fiskeartene som det er satt høyere grenseverdier for enn de som gjelder de fleste fiskearter (Tabell 1). Én rødspette hadde PFNA over grenseverdien på 2,5 µg/kg våtvekt, med 3,5 µg/kg, og denne var også over grenseverdien for sum PFAS4 på 8,0 µg/kg våtvekt, med hele 9,1 µg/kg. Den nest høyeste konsentrasjonen av sum PFAS4 i rødspette var 4,6 µg/kg våtvekt.

Gjennomsnittlig sum PFAS4 i rødspette var 1,73 µg/kg, og gjennomsnitt for summen av alle målte PFAS var 2,10 µg/kg. PFAS i rødspette var dominert av PFOS. Gjennomsnittlig konsentrasjon av PFOS var 1,44 µg/kg, som utgjorde 69 % av totalsummen og 83 % av sum PFAS4. Andre forbindelser med konsentrasjoner over 0,1 µg/kg, var PFNA og PFDA (Tabell A4).

Rødspetten med høyest PFAS-konsentrasjoner ble prøvetatt ved Meløy i Nordland (Figur 3). Det var likevel ikke vesentlig forskjell i gjennomsnittlig PFAS-nivå mellom rødspetter fra Meløy i Nordland og fra Øygarden i Vestland. PFAS-nivået var klart lavere i rødspetter prøvetatt i Finnmark sammenlignet med de to områdene lenger sør.

Såpass høye PFAS-konsentrasjoner i rødspette var i utgangspunktet uventet, siden nivåene av andre miljøgifter som metaller, dioksiner og PCB analysert i rødspette under kartleggingen i 2016-2018, var generelt lave og uten noen overskridelser av grenseverdier (Frantzen m.fl., 2020). Den gang ble det analysert for PFAS i samleprøver av filet og lever, men de fleste PFAS i de fleste prøvene var da under målemetodens kvantifiseringsgrenser som var betydelig høyere enn i vår undersøkelse nå. En undersøkelse fra Belgia viste imidlertid tilsvarende til høyere PFAS-konsentrasjoner i muskel av rødspette med gjennomsnittlig sum PFAS4 på over 3,5 µg/kg (Cara m.fl., 2022). Det kan virke som om rødspette har en særlig evne til å binde PFAS, enten det skyldes fysiologi eller det svært bunntilknyttede leveviset.

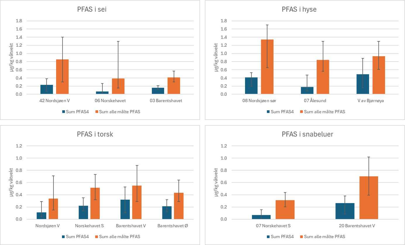
3.3.3 - Hyse

Hyse var den av torskefiskene analysert her som hadde høyest konsentrasjoner av PFAS (Tabell 7). Gjennomsnittlig sum PFAS4 og sum alle målte PFAS var henholdsvis 0,361 og 1,04 µg/kg våtvekt. Det betyr at andre PFAS enn de med grenseverdi utgjorde en relativt stor andel. Likevel var summen av alle de 50 målte PFAS forbindelsene under 2,0 µg/kg, grenseverdien for sum PFAS4 som gjelder for de fleste fiskearter. De mest dominerende av forbindelsene, med konsentrasjoner høyere enn 0,1 µg/kg, var i synkende rekkefølge: PFPeS, PFOS, PFNA og FOSA (Tabell A3). Videre var det en rekke andre PFAS-forbindelser som også bidro.

Den samlede belastningen av alle målte PFAS i hyse, var høyest i Nordsjøen og lavere ved Ålesund og vest av Bjørnøya (Figur 4), men det var stor variasjon innenfor hvert område. For sum PFAS4 var gjennomsnittsnivåene nokså like i Nordsjøen og vest av Bjørnøya, og litt lavere ved Ålesund.

 

PFAS i torskefisk og snabeluer
Figur 4. Konsentrasjon av Sum PFAS4 (Lower bound (LB) sum av PFOS, PFOA, PFHxS og PFNA) og sum alle målte PFAS i sei (oppe, venstre), hyse (oppe, høyre), torsk (nede, venstre) og snabeluer (nede, høyre), prøvetatt i ulike områder. Grenseverdien for sum PFAS4 som gjelder for de fleste fiskearter er 2,0 µg/kg.

 

3.3.4 - Blåkveite

Gjennomsnittlig sum PFAS4 og sum alle målte PFAS i filet av blåkveite, var henholdsvis 0,265 og 0,465 µg/kg våtvekt (Tabell 7). PFOS dominerte summen med et gjennomsnitt på 0,206 µg/kg (Tabell A2). I synkende rekkefølge bidro deretter PFUnDA, PFNA og PFDA mest til den samlede summen av alle målte PFAS (Tabell A2). Det var omtrent samme nivå av sum PFAS4 og sum alle målte PFAS i blåkveite fra de to områdene Tromsøflaket og utenfor Øst-Finnmark, med bare litt høyere gjennomsnitt ved Tromsøflaket og stor variasjon innenfor områdene (Figur 5).

 

PFAS i blåkveite
Figur 5. Konsentrasjon av Sum PFAS4 (Lower bound (LB) summen av PFOS, PFOA, PFHxS og PFNA) og sum alle målte PFAS i blåkveite, prøvetatt i ulike områder. Grenseverdien for sum PFAS4 som gjelder for de fleste fiskearter er 2,0 µg/kg.

 

3.3.5 - Torsk

Gjennomsnittlig konsentrasjon av sum PFAS4 og sum alle målte PFAS i filet av torsk, var henholdsvis 0,216 og 0,459 µg/kg våtvekt (Tabell 7 og A7). PFOS var den dominerende forbindelsen, med et gjennomsnitt på 0,166 µg/kg som utgjør 77 % av sum PFAS4 og 36 % av sum alle målte. Deretter fulgte i synkende rekkefølge PFUnDA, FOSA, PFNA, PFTrA og PFDA med mellom 6 % og 17 % av totalsummen.

Gjennomsnittlig konsentrasjon av sum PFAS4 og sum alle målte PFAS var høyest i torsk prøvetatt vest i Barentshavet og sør i Norskehavet (Svinøyhavet) og lavest i torsk fra Nordsjøen (Figur 4).

3.3.6 - Snabeluer

Gjennomsnittlig konsentrasjon av sum PFAS4 var 0,165 µg/kg og sum alle målte PFAS 0,505 µg/kg (Tabell 7 og A6). PFUnDA og PFOS utgjorde omtrent like mye og til sammen rundt halvparten av totalsummen. Ellers bidro PFNA, PFTrDA og FOSA mellom 12 % og 19 % og PFDA og PFDoDA henholdsvis 6 % og 10 % av den samlede summen av målte PFAS.

Konsentrasjonene av sum PFAS4 og sum alle målte PFAS i filet av snabeluer var mye høyere i Barentshavet enn sør i Norskehavet (Figur 4). Dette var motsatt av det som ble funnet for andre organiske miljøgifter og kvikksølv i snabeluer i den store kartleggingen, der prøver av de samme fiskene ble analysert (pluss flere) (Nilsen m.fl., 2020b). Nivåene av dioksiner, PCB, PBDE og kvikksølv i snabeluer var høyere i område 07 i Norskehavet enn i område 20 i Barentshavet. I den nevnte kartleggingen ble det også analysert for PFAS i samleprøver, men de aller fleste prøvene hadde kun konsentrasjoner under LOQ, og det var ikke mulig å si noe om geografiske forskjeller for PFAS. I denne undersøkelsen ble kun ti prøver av enkeltfisk fra hvert område analysert for PFAS, noe som er for lite til å trekke sikre konklusjoner om geografiske forskjeller.

3.3.7 - Sei

Gjennomsnittlig konsentrasjon av sum PFAS4 i filet av sei var 0,152 µg/kg våtvekt, mens den samlede summen av alle målte PFAS var 0,551 µg/kg (Tabell 7 og A5). FOSA og PFOS hadde høyest gjennomsnittskonsentrasjoner og utgjorde henholdsvis 36 % og 24 % av totalsummen, etterfulgt av PFUnDA (17 %), FHxSA (11 %), og en hel rekke andre PFAS-forbindelser som hver i snitt bidro mellom 0,4 % og 6 % (Tabell A5).

Gjennomsnittlig sum PFAS4 var lavere i sei fra Norskehavet enn i sei fra både Nordsjøen og Barentshavet, mens gjennomsnittssummen av alle målte PFAS var høyere i sei fra Nordsjøen enn i sei fra både Norskehavet og Barentshavet (Figur 4). Det var stor variasjon og for lavt antall prøver til å trekke konklusjoner om geografiske forskjeller.

3.3.8 - Reker

Som nevnt var både hele og pillede, kokte reker blant prøvetypene med de høyeste gjennomsnittlige PFAS-konsentrasjonene. Likevel var det ingen prøver av pillede reker som var over grenseverdiene som gjelder for muskel av krepsdyr og som er satt høyere enn for de fleste fiskeslag, men lavere enn for arter som rødspette (Tabell 7). Grenseverdiene som gjelder muskel av reker for PFOS, PFOA, PFNA, PFHxS og summen av disse er på henholdsvis 3,0, 0,7, 1,0, 1,5, og 5,0 µg/kg våtvekt. Grenseverdiene gjelder ikke for hele reker, men om de hadde gjort det, ville konsentrasjonene likevel ha vært under grenseverdiene i alle de analyserte samleprøvene. Også prøver av hele reker fra Barentshavet, analysert i 2022 og 2021, hadde konsentrasjoner av PFOS, PFOA, PFNA og PFHxS og summen av disse, lavere enn grenseverdiene som gjelder nå (Forurensning i reker i Barentshavet (miljodirektoratet.no)).

Forbindelsene som utgjorde mesteparten av summen av alle PFAS i hele reker var PFOS, PFTrDA, PFUnDA, PFDA, FOSA, PFNA, PFDoDA og PFTeDA, som alle hadde gjennomsnittskonsentrasjoner over 0,2 µg/kg (Vedlegg Tabell A8).

Variasjon mellom områdene for sum PFAS4 og sum alle målte PFAS i hele og pillede reker er vist i Figur 6. Det var relativt liten forskjell for sum PFAS4, men gjennomsnittskonsentrasjonen av summen av alle PFAS var klart høyest i reker prøvetatt i Sandnessjøen på Helgelandskysten (Alsteinsfjord sør ved flyplass), fulgt av reker fra Nordsjøen, og lavest i reker fra Barentshavet. Særlig nivåene av PFTrDA, FOSA og PFUnDA var høyere ved flyplassen i Sandnessjøen enn i de andre områdene. I pillede reker var det de samme stoffene som dominerte, men stort sett i litt lavere konsentrasjoner. Rekene prøvetatt nær flyplassen i Sandnessjøen kan være forurenset av PFAS fra flyplassen, da PFAS-holdig brannslukningsskum har vært mye brukt til brannøvelser på flyplasser. Sandnessjøen flyplass ble i 2019 rapportert å ha høy miljørisiko med hensyn på utlekking av PFAS (Avinor, 2019). Selv om disse stoffene ikke lenger skal være i bruk i brannslukningsskum, ligger forurensningen igjen i grunnen. Det er få prøver som er analysert, så resultatene bør tolkes med forsiktighet.

 

PFAS i reker
Figur 6. Konsentrasjon av Sum PFAS4 (Lower bound (LB) summen av PFOS, PFOA, PFHxS og PFNA) og sum alle målte PFAS i kokte reker prøvetatt i ulike områder, hele (venstre) og pillede (høyre). Grenseverdien for sum PFAS4 som gjelder for rekemuskel (her: reker, pillede) er 5,0 µg/kg.

 

4 - Konklusjoner

Konsentrasjonene av uorganisk arsen var svært lave i filet av alle de undersøkte fiskeartene, med høyeste andel uorganisk arsen under 0,6 % av totalarsen. Den høyeste konsentrasjonen av uorganisk arsen som ble målt i fisk var 4,1 µg/kg våtvekt, målt i en prøve av snabeluer.

Reker hadde høyere konsentrasjon av uorganisk arsen enn fisk, med gjennomsnittskonsentrasjoner på 43,8 og 15,5 µg/kg våtvekt i henholdsvis hele og pillede, kokte reker. Også i reker utgjorde uorganisk arsen en svært lav andel av totalarsen, opp til 0,61 % i hele reker og 0,12 % i pillede reker.

Målinger av metylkvikksølv og totalkvikksølv i samme prøve bekreftet antakelsen om at mesteparten av kvikksølvet vi finner i filet av fisk, er metylkvikksølv. Gjennomsnittlig andel metylkvikksølv av totalkvikksølv i fiskefilet varierte fra 95,7 % i brosme til 98,9 % i hyse. Konsentrasjonene av metylkvikksølv fulgte totalkvikksølvkonsentrasjonene tett.

Som forventet hadde hele reker en lavere prosentandel metylkvikksølv enn pillede reker. Gjennomsnittlig prosentandel metylkvikksølv var 61,5 % i hele reker og 98,8 % i pillede reker. Men konsentrasjonene av både totalkvikksølv og metylkvikksølv i hele og pillede reker var uansett lave og lavere enn i alle de undersøkte fiskeartene.

Det ble analysert for 50 ulike PFAS-forbindelser i opptil 206 prøver av fiskemuskel og i hele og pillede reker. To prøver av Atlantisk kveite og en prøve av rødspette hadde konsentrasjoner som overskred en eller flere av grenseverdiene som nylig er satt for perfluoroktylsulfonat (PFOS), perfluoroktansyre (PFOA), perfluornonansyre (PFNA) og perfluorheksansulfonat (PFHxS), samt for summen av disse (Sum PFAS4).

Den høyeste gjennomsnittskonsentrasjonen av sum PFAS4 ble målt i rødspette, fulgt av hele og pillede reker > kveite > hyse >blåkveite > torsk > snabeluer > sei. For summen av alle målte PFAS var rekkefølgen: Hele reker > pillede reker > rødspette > kveite > hyse > blåkveite = sei = torsk = snabeluer. Det er interessant at rødspette har såpass høye konsentrasjoner av PFAS4, siden denne arten generelt har lave nivåer av andre miljøgifter som er analysert tidligere.

Det varierte mellom arter hvilke enkeltforbindelser som hadde høyest konsentrasjoner, men PFOS utgjorde en vesentlig andel av totalsummen hos de fleste av artene, fra et gjennomsnitt på 17 % i hyse til 69 % i rødspette. Av de resterende tre PFAS som det er satt grenseverdier for, var det PFNA som forekom i høyest konsentrasjoner, med andeler av totalsummen fra 3,3 % i sei til 19 % i snabeluer. PFHxS og PFOA) bidro relativt lite til totalen; fra null til henholdsvis 1,2 og 2,4 %.

Andre PFAS-forbindelser som utgjorde en vesentlig andel av totalsummen av målte PFAS i ulike arter, var perfluortidekansyre (PFTrDA; kveite og reker), perfluorundekansyre (PFUnDA; blåkveite, snabeluer og torsk) og perfluoroktansulfonamid (FOSA; sei, torsk). Av de 50 ulike PFAS-forbindelsene som var med i analysen, var 23 under målbart nivå (<LOQ) i alle prøvene.

Det var ingen generell geografisk trend for nivåene av PFAS. Konsentrasjonene av sum PFAS4 og summen av alle de 50 målte PFAS varierte mellom områder på ulike måter i de ulike artene.

Reker prøvetatt nær Sandnessjøen flyplass hadde høyere PFAS-konsentrasjoner enn reker fra Nordsjøen og Barentshavet. Dette kan skyldes utlekking av grunnforurensning fra flyplassen, som resultat av tidligere bruk av PFAS-holdig brannskum.

I Atlantisk kveite ble de høyeste PFAS-konsentrasjonene funnet i fisk fra Ytre Sklinnadjupet, det samme området der et fiskefelt har blitt stengt på grunn av høye konsentrasjoner av kvikksølv, dioksiner og dioksinlignende PCB.

5 - Referanser

Avinor (2019). Reporting for Part 3 of the Norwegian Environment Agency's orders: "Overall assessment of PFAS contamination at Avinor's airports. Assessment of local impacts. Environment-03. https://avinor.no/globalassets/_konsern/miljo-og-samfunn/pfos/rapporter/reporting-for-part-3_assessment-of-local-impacts.pdf

Azad, A.M., Frantzen, S., Bank, M.S., Johnsen, I.A., Tessier, E., Amouroux, D., Madsen, L. og Maage, A. (2019a). Spatial distribution of mercury in seawater, sediment, and seafood from the Hardangerfjord ecosystem, Norway. Science of the Total Environment 667: 622-637. https://doi.org/10.1016/j.scitotenv.2019.02.352 .

Azad, A.M., Frantzen, S., Bank, M.S., Nilsen, B.M., Duinker, A., Madsen, L. og Maage, A. (2019b). Effects of geography and species variation on selenium and mercury molar ratios in Northeast Atlantic marine fish communities. Science of the Total Environment 652: 1482-1496. https://doi.org/10.1016/j.scitotenv.2018.10.405

Azad, A.M., Frantzen, S., Bank, M., Maage, A. (2021). Mercury bioaccumulation pathways in tusk (Brosme brosme) from Sognefjord, Norway: Insights from C and N isotopes. Environmental Pollution 269: 115997. https://doi.org/10.1016/j.envpol.2020.115997.

Bank, M.S., Yiou, M.Z. og Staby, A. (2023). Contaminants in European Hake (Merluccius merluccius) from the Northeast Atlantic Ocean. Rapport fra havforskningen. 2023-43. https://www.hi.no/hi/nettrapporter/rapport-fra-havforskningen-en-2023-43

Cara, B., Lies, T., Thimo, G., Robin, L. og Lieven, B. (2022). Bioaccumulation and trophic transfer of perfluorinated alkyl substances (PFAS) in marine biota from the Belgian North Sea: Distribution and human health risk implications. Environmental Pollution 311: 119907. https://doi.org/10.1016/j.envpol.2022.119907 .

EFSA (2009). EFSA panel on contaminants in the food chain (CONTAM); Scientific opinion on arsenic in food. EFSA Journal 2009 7(10): 199 pp.

EFSA (2024). EFSA panel on contaminants in the food chain (CONTAM); Update of the risk assessment of inorganic arsenic in food. Efsa Journal 22(1). https://doi.org/10.2903/j.efsa.2024.8488 .

EU (2022). Commossion recommendation (EU) 2022/1342 of 28 July 2022 on the monitoring of mercury in fish, crustaceans and molluscs. Official Journal of the European Untion L 201/71. EUR-Lex - 32022H1342 - EN - EUR-Lex (europa.eu)

EU (2023). Commission Regulation (EU) 2023/915 of 25 April 2023 on maximum levels for certain contaminants in food and repealing Regulation (EC) No 1881/2006 (Text with EEA relevance). Official Journal of the European Union. L119/103. Regulation - 2023/915 - EN - EUR-Lex (europa.eu)

Forskrift om visse forurensende stoffer i næringsmidler (2015). FOR-2015-07-03-870 . Helse- og omsorgsdepartementet. 

Frantzen, S., Boitsov, S., Dehnhard, N., Duinker, A., Grøsvik, B.E., Heimstad, E., Hjermann, D., Jensen, H., Jensen, L.K., Leiknes, Ø., Nilsen, B.M., Routti, H., Schøyen, M. og Skjerdal, H.K. (2022). Forurensning i de norske havområdene - Barentshavet, Norskehavet og Nordsjøen - Rapport fra Overvåkingsgruppen 2021. Rapport fra havforskningen. 2022-3. 87. https://www.hi.no/templates/reporteditor/report-pdf?id=54784&25976793

Frantzen, S., Nilsen, B.M. og Sanden, M. (2020). Fremmedstoffer i rødspette, breiflabb og lyr - Sluttrapport for kartleggingsprogrammet "Fremmedstoffer i villfisk med vekt på kystnære farvann" 2016-2018. Rapport fra Havforskningen. 2020-20. 75 s. https://www.hi.no/en/hi/nettrapporter/rapport-fra-havforskningen-2020-20

Grunnaleite (2014). Totalkvikksølv og metylkvikksølv i filet og lever av brosme fiska i Boknafjorden, samanlikna med Hardangerfjorden og Lofoten. Kjemisk Institutt, Universitetet i Bergen. Master of Science: 90 s.

Ho, Q.T., Bank, M.S., Azad, A.M., Nilsen, B.M., Frantzen, S., Boitsov, S., Maage, A., Kogel, T., Sanden, M., Froyland, L., Hannisdal, R., Hove, H., Lundebye, A.K., Ostbakken, O.J.N. og Madsen, L. (2021). Co-occurrence of contaminants in marine fish from the North East Atlantic Ocean: Implications for human risk assessment. Environment International 157. https://doi.org/10.1016/j.envint.2021.106858

Julshamn, K., Duinker, A., Nilsen, B.M., Frantzen, S., Måge, A., Valdersnes, S. og Nedreaas, K.H. (2013a). A baseline study of levels of mercury, arsenic, cadmium and lead in Northeast Arctic cod (Gadus morhua) from different parts of the Barents Sea. Marine Pollution Bulletin 67(1-2): 187-195. https://www.sciencedirect.com/science/article/pii/S0025326X12005760?via%3Dihub

Julshamn, K., Duinker, A., Nilsen, B.M., Nedreaas, K. og Maage, A. (2013b). A baseline study of metals in cod (Gadus morhua) from the North Sea and coastal Norwegian waters, with focus on mercury, arsenic, cadmium and lead. Marine Pollution Bulletin 72(1): 264-273. http://dx.doi.org/10.1016/j.marpolbul.2013.04.018 .

Julshamn, K., Nilsen, B.M., Frantzen, S., Valdersnes, S., Maage, A., Nedreaas, K. og Sloth, J.J. (2012a). Total and inorganic arsenic in fish samples from Norwegian waters. Food Additives & Contaminants Part B-Surveillance 5(4): 229-235. 10.1080/19393210.2012.698312. 

Julshamn, K., Nilsen, B.M., Frantzen, S., Valdersnes, S., Måge, A., Nedreaas, K.H. og Sloth, J.J. (2012b). Total and inorganic arsenic in fish samples from Norwegian waters. Food Additives and Contaminants 5(4): 229-235. http://dx.doi.org10.1080/19393210.2012.698312 .

Kögel, T., Frantzen, S., Bakkejord, J.A., Kjellevold, M. og Maage, A. (2021). Basisundersøkelse av fremmedstoffer i hyse - Tungmetaller, sporelementer og organiske miljøgifter i hyse (Melanogrammus aeglefinus) fra Skagerrak, Nordsjøen, Norskehavet og Barentshavet. Rapport fra Havforskningen. 2021-35. 60. https://www.hi.no/templates/reporteditor/report-pdf?id=48066&92043089

Nilsen, B.M., Bank, M.S. og Sanden, M. (2019a). Kvikksølv og organiske miljøgifter i Atlantisk kveite – Ny innsikt fra stabile isotoper av nitrogen og karbon. Rapport fra Havforskningen. 2019-20. 18. https://www.hi.no/hi/nettrapporter/rapport-fra-havforskningen-2019-20

Nilsen, B.M., Boitsov, S., Frantzen, S., Berg, E. og Sanden, M. (2020a). Miljøgifter i atlantisk kveite fra kyst- og havområder i Norskehavet - 2019. Oppfølging av kartleggingsundersøkelsen for atlantisk kveite i 2013-2016. Rapport fra Havforskningen. 2020-35. https://www.hi.no/hi/nettrapporter/rapport-fra-havforskningen-2020-35

Nilsen, B.M., Frantzen, S., Julshamn, K., Nedreaas, K. og Måge, A. (2013). Basisundersøkelse av fremmedstoffer i sei (Pollachius virens) fra Nordsjøen. Sluttrapport for prosjektet "Fremmedstoffer i villfisk med vekt på kystnære farvann". 56 s. http://nifes.no/report/basisundersokelse-av-fremmedstoffer-i-sei-pollachius-virens-fra-nordsjoen/

Nilsen, B.M., Frantzen, S., Nedreaas, K. og Julshamn, K. (2010). Basisundersøkelse av fremmedstoffer i blåkveite (Reinhardtius hippoglossoides). 42 s. https://www.hi.no/hi/nettrapporter/rapporter-nifes/2010/basisundersokelse-av-fremmedstoffer-i-blakveite

Nilsen, B.M., Frantzen, S. og Sanden, M. (2019b). Undersøkelse av miljøgifter i atlantisk kveite fra kysten av Trøndelag og Nordland : Sammenligning med resultater fra kartleggingsundersøkelsen for atlantisk kveite i 2013-2016. 25. https://www.uib.no/nye-doktorgrader/129801/hovedkilder-og-drivere-kvikks%C3%B8lv-i-norske-fiskearter

Nilsen, B.M., Frantzen, S. og Sanden, M. (2020b). Fremmedstoffer i snabeluer (Sebastes mentella) og vanlig uer (Sebastes norvegicus) - Sluttrapport for kartleggingsprogrammet "Miljøgifter i fisk og fiskevarer" 2016-2018. Rapport fra Havforskningen. 2020-11. 63 s. Fremmedstoffer i snabeluer (Sebastes mentella) og vanlig uer (Sebastes norvegicus) | Havforskningsinstituttet (hi.no)

Nilsen, B.M., Julshamn, K., Duinker, A., Nedreaas, K. og Måge, A. (2012). Basisundersøkelse av fremmedstoffer i sei (Pollachius virens) fra Norskehavet og Barentshavet. Sluttrapport. 44 s. http://nifes.no/wp-content/uploads/2013/04/Basisundersokelse-sei-20131.pdf

Nilsen, B.M., Nedreaas, K. og Måge, A. (2016). Kartlegging av fremmedstoffer i Atlantisk kveite (Hippoglossus hippoglossus). Sluttrapport for programmet "Miljøgifter i fisk og fiskevarer" 2013-2015. 82 s. Kartlegging av fremmedstoffer i Atlantisk kveite (Hippoglossus hippoglossus).

Rua-Ibarz, A., Bolea-Fernandez, E., Måge, A., Frantzen, S., Sanden, M. og Vanhaecke, F. (2019). Tracing Mercury Pollution along the Norwegian Coast via Elemental, Speciation, and Isotopic Analysis of Liver and Muscle Tissue of Deep-Water Marine Fish (Brosme brosme). Environmental Science and Technology 53(4): 1776-1785. http://dx.doi.org10.1021/acs.est.8b04706 .

Sverrisson, G., Frantzen, S., Måge, A. og Azad, A.M. (2018). Biomagnifisering av kvikksølv i Sognefjorden. Kjemisk Institutt, Universitetet i Bergen. Master of Science. 103 s.

Wiech, M., Frantzen, S., Reecht, Y., Hallfredsson, E.H. og Nilsen, B.M. (2023). Fremmedstoffer i flekksteinbit, gråsteinbit og vassild/strømsild. Rapport fra havforskningen. 2023-52. https://www.hi.no/hi/nettrapporter/rapport-fra-havforskningen-2023-52 - sec-3-11

6 - Vedlegg

PFAS i Atlantisk kveite , µg/kg våtvekt N Mean Median Min Max Ant ≥ LOQ
Sum alle oppgitte PFAS eksl. LOQ 18 1.92 0.69 0.36 6.9  
Sum PFAS4 (EFSA) uten LOQ 18 0.736 0.45 0.12 2.2  
Perfluortridekansyre (PFTrDA) 18 0.550 0.14 0.039 2.2 18
Perfluoroktylsulfonat (PFOS) 18 0.464 0.37 0.090 1.3 18
Perfluorundekansyre (PFUnDA) 18 0.349 0.14 0.063 1.3 18
Perfluornonansyre (PFNA) 18 0.196 0.064 0.019 0.65 18
Perfluordekansyre (PFDA) 18 0.150 0.048 0.017 0.48 18
Perfluordodekansyre (PFDoDA) 18 0.141 0.045 <0.023 0.52 17
Perfluortetradekansyre (PFTeDA) 18 0.0710 0.026 <0.010 0.28 16
Perfluoroktansyre (PFOA) 18   0.016 <0.0019 0.06 7
Perfluorheksansulfonat (PFHxS) 18   0.025 <0.0039 0.22 8
Perfluorheksansulfonamid (FHxSA) 18   <0.022 <0.0098 0.038 1
Perfluoroktansulfonamid (FOSA) 18   <0.022 <0.0098 0.066 2
10:2 Fluortelomersulfonat (10:2 FTS) 18     <0.0019 <0.026 0
3:3 Fluortelomerkarboksylat (3:3 FTCA) 18     <0.019 <0.026 0
4:2 Fluortelomersulfonat (FTS) 18     <0.0019 <0.026 0
5:3 Fluortelomerkarboksylat (5:3 FTCA) 18     <0.019 <0.26 0
6:2 Cl-PFAES (9-klorheksadekafluor-3-oksanonan-1-sulfonat) 18     <0.0019 <0.026 0
6:2 Fluortelomersulfonat (FTS) (H4PFOS) 18     <0.0019 <0.026 0
7:3-Fluortelomerkarboksylat (7:3 FTCA) 18     <0.019 <0.26 0
7H-Dodekafluorheptansyre (HPFHpA) 18     <0.019 <0.026 0
8:2 Cl-PFAES (11-kloreikosafluor-3-oksaundekan-1-sulfonat) 18     <0.0019 <0.026 0
8:2 Fluortelomersulfonat (FTS) 18     <0.0019 <0.026 0
DONA (Dodekafluor-3H-4,8-dioksanonansyre) 18     <0.019 <0.026 0
HFPO-DA (GenX) 18     <0.019 <0.026 0
N-etylperfluoroktansulfonamid-HAc (EtFOSAA) 18     <0.019 <0.026 0
N-metylperfluoroktansulfonamid-HAc (MeFOSAA) 18     <0.019 <0.026 0
Perfluor(2-etoksyetan)sulfonat (PFEESA) 18     <0.0019 <0.026 0
Perfluorpropansulfonat (PFPrS) 18     <0.019 <0.026 0
Perfluor-3,6-dioksoheptansyre (NFDHA/3,6-OPFHpA) 18     <0.0019 <0.026 0
Perfluor-3-metoksypropansyre (PFMPA/PF4OPeA) 18     <0.0019 <0.026 0
Perfluor-4-metoksybutansyre (PFMBA/PF5OHxA) 18     <0.0019 <0.026 0
Perfluorbutansulfonamid (PFBSA) 18     <0.019 <0.099 0
Perfluorbutansulfonat (PFBS) 18     <0.0019 <0.026 0
Perfluorbutansyre (PFBA) 18     <0.055 <0.26 0
Perfluordekansulfonsyre (PFDS) 18     <0.019 <0.026 0
Perfluordodekansulfonat (PFDoS) 18     <0.019 <0.26 0
Perfluorheksadekansyre (PFHxDA) 18     <0.0019 <0.22 0
Perfluorheksansyre (PFHxA) 18     <0.019 <0.026 0
Perfluorheptansulfonat (PFHpS) 18     <0.0019 <0.026 0
Perfluorheptansyre (PFHpA) 18     <0.0019 <0.026 0
Perfluornonansulfonat (PFNS) 18     <0.019 <0.026 0
Perfluor-4-(perfluoretyl)sykloheksylsulfonat (PFECHS) 18     <0.0019 <0.026 0
Perfluoroktadekansyre (PFODA) 18     <0.0019 <0.26 0
Perfluortridekansulfonat (PFTrDS) 18     <0.019 <0.25 0
Perfluorpentansulfonat (PFPeS) 18     <0.0019 <0.026 0
Perfluorpentansyre (PFPeA) 18     <0.019 <0.026 0
Perfluorundekansulfonat (PFUnDS) 18     <0.019 <0.026 0
N-etylperfluoroktansulfonamid (EtFOSA) 1     <0.25 <0.26 0
N-etylperfluoroktansulfonamidetanol (EtFOSE) 1     <0.25 <0.26 0
N-metylperfluoroktansulfonamid (MeFOSA) 1     <0.25 <0.26 0
N-metylperfluoroktansulfonamidetanol (MeFOSE) 0          
Tabell A1. Konsentrasjoner av 50 ulike perfluorerte alkylstoffer (µg/kg våtvekt) i Atlantisk kveite (Hippoglossus hippoglossus). Resultatene er gitt som gjennomsnitt, median, minste og største verdi og antall prøver med målbart resultat (Antall >= LOQ). Dersom prøver andel <LOQ er under 50 %, er ikke gjennomsnitt gitt. For prøver der noen prøver er <LOQ, er konsentrasjonen satt lik LOQ ved beregning av gjennomsnitt.

 

PFAS i blåkveite, µg/kg våtvekt N Mean Median Min Max Ant ≥ LOQ
Sum alle oppgitte PFAS eksl. LOQ 20 0.465 0.50 0.18 0.69  
Sum PFAS4 (EFSA) uten LOQ 20 0.265 0.26 0.091 0.42  
Perfluoroktylsulfonat (PFOS) 20 0.206 0.205 0.080 0.350 20
Perfluorundekansyre (PFUnDA) 20 0.0990 0.091 0.030 0.18 20
Perfluornonansyre (PFNA) 20 0.0550 0.042 0.0110 0.180 20
Perfluordekansyre (PFDA) 20 0.0372 0.034 0.0082 0.075 20
Perfluorbutansulfonamid (PFBSA) 20 0.0164 0.008 0.0040 0.094 20
Perfluordodekansyre (PFDoDA) 20 0.0160 0.014 0.0057 0.057 20
Perfluortetradekansyre (PFTeDA) 20 0.0073 0.005 <0.0025 0.047 19
Perfluorheksansulfonat (PFHxS) 20 0.0049 0.004 <0.0023 0.013 16
6:2 Fluortelomersulfonat (FTS) (H4PFOS) 20 0.0043 0.0030 <0.002 0.020 12
N-etylperfluoroktansulfonamid-HAc (EtFOSAA) 20   0.025 <0.019 0.13 1
Perfluortridekansyre (PFTrA) 20   0.024 <0.0024 0.037 3
Perfluortridekansulfonat (PFTrDS) 20   0.024 <0.019 0.060 1
Perfluoroktansulfonamid (FOSA) 20   0.011 <0.0023 0.017 5
Perfluor-3-metoksypropansyre (PFMPA/PF4OPeA) 20   0.003 <0.0021 0.048 4
Perfluorheksansulfonamid (FHxSA) 20   0.002 <0.0019 0.0076 3
Perfluoroktadekansyre (PFODA) 20   0.002 <0.0019 0.036 1
10:2 Fluortelomersulfonat (10:2 FTS) 20     <0.0019 <0.0029  
4:2 Fluortelomersulfonat (FTS) 20     <0.0019 <0.0029  
5:3 Fluortelomerkarboksylat (5:3 FTCA) 20     <0.019 <0.029  
6:2 Cl-PFAES (9-klorheksadekafluor-3-oksanonan-1-sulfonat) 20     <0.0019 <0.0029  
7:3-Fluortelomerkarboksylat (7:3 FTCA) 20     <0.019 <0.029  
7H-Dodekafluorheptansyre (HPFHpA) 20     <0.019 <0.029  
8:2 Cl-PFAES (11-kloreikosafluor-3-oksaundekan-1-sulfonat) 20     <0.0019 <0.0029  
8:2 Fluortelomersulfonat (FTS) 20     <0.0019 <0.0029  
DONA (Dodekafluor-3H-4,8-dioksanonansyre) 20     <0.019 <0.029  
HFPO-DA (GenX) 20     <0.019 <0.029  
N-metylperfluoroktansulfonamid-HAc (MeFOSAA) 20     <0.019 <0.13  
Perfluor(2-etoksyetan)sulfonat (PFEESA) 20     <0.0019 <0.0029  
Perfluorpropansulfonat (PFPrS) 20     <0.019 <0.029  
Perfluor-3,6-dioksoheptansyre (NFDHA/3,6-OPFHpA) 20     <0.0019 <0.0029  
Perfluor-4-metoksybutansyre (PFMBA/PF5OHxA) 20     <0.0019 <0.0029  
Perfluorbutansulfonat (PFBS) 20     <0.0019 <0.0029  
Perfluorbutansyre (PFBA) 20     <0.057 <0.087  
Perfluordekansulfonsyre (PFDS) 20     <0.019 <0.029  
Perfluordodekansulfonat (PFDoS) 20     <0.019 <0.029  
Perfluorheksadekansyre (PFHxDA) 20     <0.0019 <0.0029  
Perfluorheksansyre (PFHxA) 20     <0.019 <0.029  
Perfluorheptansulfonat (PFHpS) 20     <0.0019 <0.0029  
Perfluorheptansyre (PFHpA) 20     <0.0019 <0.0029  
Perfluornonansulfonat (PFNS) 20     <0.019 <0.029  
Perfluoro-4-(perfluoretyl)sykloheksylsulfonat 20     <0.0019 <0.0029  
Perfluoroktansyre (PFOA) 20     <0.0019 <0.0029  
Perfluorpentansulfonat (PFPeS) 20     <0.0019 <0.0029  
Perfluorpentansyre (PFPeA) 20     <0.019 <0.029  
Perfluorundekansulfonat (PFUnDS) 20     <0.019 <0.029  
3:3 Fluortelomerkarboksylat (3:3 FTCA) 4     <0.023 <0.025  
N-etylperfluoroktansulfonamid (EtFOSA) 0          
N-etylperfluoroktansulfonamidetanol (EtFOSE) 0          
N-metylperfluoroktansulfonamid (MeFOSA) 0          
N-metylperfluoroktansulfonamidetanol (MeFOSE) 0          
Tabell A2. Konsentrasjoner av 50 ulike perfluorerte alkylstoffer (µg/kg våtvekt) i blåkveite (Reinhardtius hippoglossoides). Resultatene er gitt som gjennomsnitt, median, minste og største verdi og antall prøver med målbart resultat (Antall >= LOQ). Dersom prøver andel <LOQ er under 50 %, er ikke gjennomsnitt vist. For prøver der noen prøver er <LOQ, er konsentrasjonen satt lik LOQ ved beregning av gjennomsnitt.

 

PFAS i hyse , µg/kg våtvekt N Mean Median Min Max Ant ≥ LOQ
Sum alle oppgitte PFAS eksl. LOQ 30 1.04 0.96 0.56 1.7  
Sum PFAS4 (EFSA) uten LOQ 30 0.361 0.38 0.078 0.88  
Perfluorpentansulfonat (PFPeS) 30 0.204 0.16 <0.0018 0.74 25
Perfluoroktylsulfonat (PFOS) 30 0.176 0.19 0.060 0.30 30
Perfluornonansyre (PFNA) 30 0.155 0.16 0.0099 0.48 30
Perfluoroktansulfonamid (FOSA) 30 0.146 0.13 0.020 0.35 30
Perfluorheksansulfonamid (FHxSA) 30 0.081 0.067 0.015000 0.33 30
Perfluorundekansyre (PFUnDA) 30 0.070 0.071 <0.0019 0.15 28
Perfluortridekansyre (PFTrA) 30 0.057 0.050 <0.0021 0.17 28
Perfluorbutansulfonamid (PFBSA) 30 0.046 0.039 0.0032 0.13 30
Perfluordekansyre (PFDA) 30 0.046 0.044 <0.002 0.12 29
Perfluoroktansyre (PFOA) 30 0.025 0.022 0.0030 0.096 30
Perfluordodekansyre (PFDoDA) 30 0.013 0.013 0.0045 0.024 30
Perfluortetradekansyre (PFTeDA) 30 0.009 0.009 <0.0019 0.018 24
10:2 Fluortelomersulfonat (10:2 FTS) 30   <0.002 <0.0018 0.004 1
6:2 Fluortelomersulfonat (FTS) (H4PFOS) 30   <0.002 <0.0018 0.008 2
7:3-Fluortelomerkarboksylat (7:3 FTCA) 29   <0.021 <0.019 0.038 5
Perfluorbutansulfonat (PFBS) 30   <0.0021 <0.0018 0.037 6
Perfluorheksansulfonat (PFHxS) 30   <0.0091 <0.0021 0.054 10
Perfluorheptansulfonat (PFHpS) 30   <0.002 <0.0018 0.003 2
Perfluorheptansyre (PFHpA) 30   <0.0021 <0.0018 0.010 2
Perfluortridekansulfonat (PFTrDS) 30   <0.0205 <0.018 0.098 1
3:3 Fluortelomerkarboksylat (3:3 FTCA) 29     <0.018 <0.022 0
4:2 Fluortelomersulfonat (FTS) 30     <0.0018 <0.0022 0
5:3 Fluortelomerkarboksylat (5:3 FTCA) 29     <0.01 <0.022 0
6:2 Cl-PFAES (9-klorheksadekafluor-3-oksanonan-1-sulfonat) 30     <0.0018 <0.0022 0
7H-Dodekafluorheptansyre (HPFHpA) 30     <0.018 <0.022 0
8:2 Cl-PFAES (11-kloreikosafluor-3-oksaundekan-1-sulfonat) 30     <0.0018 <0.0022 0
8:2 Fluortelomersulfonat (FTS) 30     <0.0018 <0.0022 0
DONA (Dodekafluor-3H-4,8-dioksanonansyre) 30     <0.018 <0.022 0
HFPO-DA (GenX) 30     <0.018 <0.022 0
N-etylperfluoroktansulfonamid-HAc (EtFOSAA) 29     <0.018 <0.022 0
N-metylperfluoroktansulfonamid-HAc (MeFOSAA) 30     <0.018 <0.022 0
Perfluor(2-etoksyetan)sulfonat (PFEESA) 30     <0.0018 <0.0022 0
Perfluor-1-propansulfonat 30     <0.018 <0.022 0
Perfluor-3,6-dioksoheptansyre (NFDHA/3,6-OPFHpA) 30     <0.0018 <0.0022 0
Perfluor-3-metoksypropansyre (PFMPA/PF4OPeA) 30     <0.0018 <0.0022 0
Perfluor-4-metoksybutansyre (PFMBA/PF5OHxA) 30     <0.0018 <0.0022 0
Perfluorbutansyre (PFBA) 30     <0.053 <0.067 0
Perfluordekansulfonsyre (PFDS) 30     <0.018 <0.1 0
Perfluordodekansulfonat (PFDoS) 30     <0.018 <0.041 0
Perfluorheksadekansyre (PFHxDA) 30     <0.0018 <0.0022 0
Perfluorheksansyre (PFHxA) 30     <0.018 <0.022 0
Perfluornonansulfonat (PFNS) 30     <0.018 <0.022 0
Perfluor-4-(perfluoretyl)sykloheksylsulfonat  (PFECHS) 30     <0.0018 <0.0022 0
Perfluoroktadekansyre (PFODA) 30     <0.0018 <0.0022 0
Perfluorpentansyre (PFPeA) 30     <0.018 <0.022 0
Perfluorundekansulfonat (PFUnDS) 30     <0.018 <0.022 0
N-etylperfluoroktansulfonamid (EtFOSA) 0          
N-etylperfluoroktansulfonamidetanol (EtFOSE) 0          
N-metylperfluoroktansulfonamid (MeFOSA) 0          
N-metylperfluoroktansulfonamidetanol (MeFOSE) 0          
Tabell A3. Konsentrasjoner av 50 ulike perfluorerte alkylstoffer (µg/kg våtvekt) i hyse (Melanogrammus aeglefinus). Resultatene er gitt som gjennomsnitt, median, minste og største verdi og antall prøver med målbart resultat (Antall >= LOQ). Dersom prøver andel <LOQ er under 50 %, er ikke gjennomsnitt vist. For prøver der noen prøver er <LOQ, er konsentrasjonen satt lik LOQ ved beregning av gjennomsnitt.

 

PFAS i rødspette, µg/kg våtvekt N Mean Median Min Max Ant ≥ LOQ
Sum alle oppgitte PFAS eksl. LOQ 30 2.10 1.2 0.21 12  
Sum PFAS4 (EFSA) uten LOQ 30 1.73 0.91 0.11 9.1  
Perfluoroktylsulfonat (PFOS) 30 1.44 0.84 <0.023 5.6 29
Perfluornonansyre (PFNA) 30 0.260 0.094 0.027 3.5 30
Perfluordekansyre (PFDA) 30 0.112 0.066 <0.013 1.2 29
Perfluorbutansulfonamid (PFBSA) 30 0.082 0.039 <0.0016 0.42 19
Perfluortridekansyre (PFTrDA) 30 0.051 0.022 <0.0016 0.26 16
Perfluorheksansulfonat (PFHxS) 30 0.026 0.010 <0.0017 0.19 20
Perfluordodekansyre (PFDoDA) 30 0.020 0.019 <0.0022 0.065 26
Perfluoroktansyre (PFOA) 30 0.012 0.008 <0.00190 0.07 28
Perfluortetradekansyre (PFTeDA) 30   0.008 <0.0020 0.10 13
Perfluor-3-metoksypropansyre (PFMPA/PF4OPeA) 30   <0.0021 <0.0014 0.19 3
Perfluorheksansulfonamid (FHxSA) 30   <0.016 <0.0014 0.26 14
Perfluorheptansulfonat (PFHpS) 30   <0.0022 <0.0015 0.056 4
Perfluor-4-(perfluoretyl)sykloheksylsulfonat (PFECHS) 30   <0.0022 <0.0015 0.019 1
Perfluoroktansulfonamid (FOSA) 30   <0.012 <0.0015 0.38 14
Perfluortridekansulfonat(PFTrDS) 30   <0.021 <0.014 0.041 1
Perfluorundekansyre (PFUnDA) 30   <0.0022 <0.0015 0.63 8
10:2 Fluortelomersulfonat (10:2 FTS) 30   <0.0022 <0.0016 0.019 9
6:2 Fluortelomersulfonat (FTS) (H4PFOS) 30   <0.0022 <0.0014 0.019 2
8:2 Fluortelomersulfonat (FTS) 30   <0.0022 <0.0015 0.019 3
4:2 Fluortelomersulfonat (FTS) 30     <0.0014 <0.019 0
6:2 Cl-PFAES (9-klorheksadekafluor-3-oksanonan-1-sulfonat) 30     <0.0014 <0.019 0
7H-Dodekafluorheptansyre (HPFHpA) 30     <0.014 <0.025 0
8:2 Cl-PFAES (11-kloreikosafluor-3-oksaundekan-1-sulfonat) 30     <0.0014 <0.019 0
DONA (Dodekafluor-3H-4,8-dioksanonansyre) 30     <0.014 <0.025 0
HFPO-DA (GenX) 30     <0.014 <0.19 0
N-etylperfluoroktansulfonamid-HAc (EtFOSAA) 30     <0.014 <0.13 0
N-metylperfluoroktansulfonamid-HAc (MeFOSAA) 30     <0.014 <0.13 0
Perfluor(2-etoksyetan)sulfonat (PFEESA) 30     <0.0014 <0.019 0
Perfluorpropansulfonat (PFPrS) 30     <0.014 <0.19 0
Perfluor-3,6-dioksoheptansyre (NFDHA/3,6-OPFHpA) 30     <0.0014 <0.019 0
Perfluor-4-metoksybutansyre (PFMBA/PF5OHxA) 30     <0.0014 <0.024 0
Perfluorbutansulfonat (PFBS) 30     <0.0014 <0.19 0
Perfluorbutansyre (PFBA) 30     <0.042 <0.19 0
Perfluordekansulfonsyre (PFDS) 30     <0.014 <0.19 0
Perfluordodekansulfonat (PFDoS) 30     <0.015 <0.19 0
Perfluorheksadekansyre (PFHxDA) 30     <0.0014 <0.019 0
Perfluorheksansyre (PFHxA) 30     <0.014 <0.19 0
Perfluorheptansyre (PFHpA) 30     <0.0014 <0.19 0
Perfluornonansulfonat (PFNS) 30     <0.014 <0.025 0
Perfluoroktadekansyre (PFODA) 30     <0.0014 <0.018 0
Perfluorpentansulfonat (PFPeS) 30     <0.0014 <0.018 0
Perfluorpentansyre (PFPeA) 30     <0.014 <0.025 0
Perfluorundekansulfonat (PFUnDS) 30     <0.015 <0.19 0
7:3-Fluortelomerkarboksylat (7:3 FTCA) 4     <0.014 <0.19 0
3:3 Fluortelomerkarboksylat (3:3 FTCA) 1     <0.014 <0.014 0
5:3 Fluortelomerkarboksylat (5:3 FTCA) 1     <0.014 <0.014 0
N-etylperfluoroktansulfonamid (EtFOSA) 1     <0.010 <0.010 0
N-etylperfluoroktansulfonamidetanol (EtFOSE) 0          
N-metylperfluoroktansulfonamid (MeFOSA) 0          
N-metylperfluoroktansulfonamidetanol (MeFOSE) 0          
Tabell A4. Konsentrasjoner av 50 ulike perfluorerte alkylstoffer (µg/kg våtvekt) i rødspette (Pleuronectes platessa). Resultatene er gitt som gjennomsnitt, median, minste og største verdi og antall prøver med målbart resultat (Antall >= LOQ). Dersom prøver andel <LOQ er under 50 %, er ikke gjennomsnitt vist. For prøver der noen prøver er <LOQ, er konsentrasjonen satt lik LOQ ved beregning av gjennomsnitt.

 

PFAS i sei , µg/kg våtvekt N Mean Median Min Max Ant ≥ LOQ
Sum alle oppgitte PFAS eksl. LOQ 30 0.551 0.43 0.15 1.4 30
Sum PFAS4 (EFSA) uten LOQ 30 0.152 0.14 0.026 0.38 30
Perfluoroktansulfonamid (FOSA) 30 0.196 0.14 0.043 0.75 30
Perfluoroktylsulfonat (PFOS) 30 0.130 0.11 0.021 0.350 30
Perfluorundekansyre (PFUnDA) 30 0.0926 0.077 0.020 0.26 30
Perfluorheksansulfonamid (FHxSA) 30 0.0626 0.020 <0.0096 0.20 14
Perfluortridekansyre (PFTrA) 30 0.0332 0.023 <0.0018 0.11 24
Perfluorbutansulfonamid (PFBSA) 23 0.0250 0.019 <0.01 0.065 15
Perfluordekansyre (PFDA) 30 0.0240 0.019 0.0027 0.091 30
Perfluordodekansyre (PFDoDA) 30 0.0186 0.015 0.0032 0.061 30
Perfluornonansyre (PFNA) 30 0.0183 0.018 0.0025 0.051 30
Perfluortetradekansyre (PFTeDA) 30 0.0088 0.0072 <0.0019 0.022 23
6:2 Fluortelomersulfonat (FTS) (H4PFOS) 30 0.0027 0.0020 <0.0017 0.006 15
Perfluoroktansyre (PFOA) 30   <0.002 <0.0017 0.010 14
Perfluorheksansulfonat (PFHxS) 30   <0.002 <0.0017 0.010 4
Perfluoroktadekansyre (PFODA) 30   <0.0019 <0.0017 0.054 1
Perfluorheksansyre (PFHxA) 30     <0.017 <0.02 0
Perfluorheptansulfonat (PFHpS) 30     <0.0017 <0.002 0
Perfluorheptansyre (PFHpA) 30     <0.0017 <0.002 0
Perfluornonansulfonat (PFNS) 30     <0.017 <0.095 0
Perfluor-4-(perfluoretyl)sykloheksylsulfonat (PFECHS) 30     <0.0017 <0.002 0
Perfluorotridekansulfonat (PFTrDS) 30     <0.017 <0.099 0
Perfluorpentansulfonat (PFPeS) 30     <0.0017 <0.002 0
Perfluorpentansyre (PFPeA) 30     <0.017 <0.02 0
Perfluorundekansulfonat (PFUnDS) 30     <0.017 <0.099 0
10:2 Fluortelomersulfonat (10:2 FTS) 30     <0.0017 <0.0095 0
3:3 Fluortelomerkarboksylat (3:3 FTCA) 20     <0.017 <0.02 0
4:2 Fluortelomersulfonat (FTS) 30     <0.0017 <0.002 0
5:3 Fluortelomerkarboksylat (5:3 FTCA) 20     <0.017 <0.02 0
6:2 Cl-PFAES (9-klorheksadekafluor-3-oksanonan-1-sulfonat) 30     <0.0017 <0.002 0
7:3-Fluortelomerkarboksylat (7:3 FTCA) 27     <0.017 <0.02 0
7H-Dodekafluorheptansyre (HPFHpA) 30     <0.017 <0.02 0
8:2 Cl-PFAES (11-kloreikosafluor-3-oksaundekan-1-sulfonat) 30     <0.0017 <0.002 0
8:2 Fluortelomersulfonat (FTS) 29     <0.0017 <0.002 0
DONA (Dodekafluor-3H-4,8-dioksanonansyre) 30     <0.017 <0.02 0
HFPO-DA (GenX) 30     <0.017 <0.02 0
N-etylperfluoroktansulfonamid-HAc (EtFOSAA) 28     <0.017 <0.099 0
N-metylperfluoroktansulfonamid-HAc (MeFOSAA) 28     <0.017 <0.099 0
Perfluor(2-etoksyetan)sulfonat (PFEESA) 30     <0.0017 <0.002 0
Perfluorpropansulfonat (PFPrS) 30     <0.017 <0.02 0
Perfluor-3,6-dioksoheptansyre (NFDHA/3,6-OPFHpA) 30     <0.0017 <0.002 0
Perfluor-3-metoksypropansyre (PFMPA/PF4OPeA) 30     <0.0017 <0.002 0
Perfluor-4-metoksybutansyre (PFMBA/PF5OHxA) 30     <0.0017 <0.002 0
Perfluorbutansulfonat (PFBS) 30     <0.0017 <0.002 0
Perfluorbutansyre (PFBA) 30     <0.051 <0.061 0
Perfluordekansulfonsyre (PFDS) 30     <0.017 <0.099 0
Perfluordodekansulfonat (PFDoS) 30     <0.017 <0.099 0
Perfluorheksadekansyre (PFHxDA) 30     <0.0017 <0.002 0
N-etylperfluoroktansulfonamid (EtFOSA) 0          
N-etylperfluoroktansulfonamidetanol (EtFOSE) 0          
N-metylperfluoroktansulfonamid (MeFOSA) 0          
N-metylperfluoroktansulfonamidetanol (MeFOSE) 0          
Tabell A5. Konsentrasjoner av 50 ulike perfluorerte alkylstoffer (µg/kg våtvekt) i sei (Pollachius virens). Resultatene er gitt som gjennomsnitt, median, minste og største verdi og antall prøver med målbart resultat (Antall >= LOQ). Dersom prøver andel <LOQ er under 50 %, er ikke gjennomsnitt vist. For prøver der noen prøver er <LOQ, er konsentrasjonen satt lik LOQ ved beregning av gjennomsnitt.

 

PFAS i snabeluer, µg/kg våtvekt N Mean Median Min Max Ant ≥ LOQ
Sum alle oppgitte PFAS eksl. LOQ 20 0.505 0.44 0.20 1.0  
Sum PFAS4 (EFSA) uten LOQ 20 0.165 0.14 0.00 0.38  
Perfluorundekansyre (PFUnDA) 20 0.141 0.13 0.059 0.37 20
Perfluoroktylsulfonat (PFOS) 20 0.121 0.12 <0.063 0.20 10
Perfluornonansyre (PFNA) 20 0.0954 0.087 <0.022 0.16 19
Perfluortridekansyre (PFTrA) 20 0.0711 0.065 0.037 0.13 20
Perfluoroktansulfonamid (FOSA) 20 0.0610 0.057 0.028 0.12 20
Perfluordekansyre (PFDA) 20 0.0484 0.046 <0.022 0.097 14
Perfluordodekansyre (PFDoDA) 20 0.0318 0.030 <0.022 0.054 13
Perfluoroktansyre (PFOA) 20   <0.025 <0.022 0.055 5
10:2 Fluortelomersulfonat (10:2 FTS) 20     <0.021 <0.028 0
3:3 Fluortelomerkarboksylat (3:3 FTCA) 20     <0.021 <0.028 0
4:2 Fluortelomersulfonat (FTS) 20     <0.021 <0.028 0
5:3 Fluortelomerkarboksylat (5:3 FTCA) 20     <0.21 <0.28 0
6:2 Cl-PFAES (9-klorheksadekafluor-3-oksanonan-1-sulfonat) 20     <0.021 <0.028 0
6:2 Fluortelomersulfonat (FTS) (H4PFOS) 20     <0.021 <0.028 0
7:3-Fluortelomerkarboksylat (7:3 FTCA) 20     <0.21 <0.28 0
7H-Dodekafluorheptansyre (HPFHpA) 20     <0.021 <0.028 0
8:2 Cl-PFAES (11-kloreikosafluor-3-oksaundekan-1-sulfonat) 20     <0.021 <0.028 0
8:2 Fluortelomersulfonat (FTS) 20     <0.021 <0.028 0
DONA (Dodekafluor-3H-4,8-dioksanonansyre) 20     <0.021 <0.028 0
HFPO-DA (GenX) 20     <0.021 <0.028 0
N-etylperfluoroktansulfonamid (EtFOSA) 20     <0.21 <0.28 0
N-etylperfluoroktansulfonamidetanol (EtFOSE) 20     <0.21 <0.28 0
N-etylperfluoroktansulfonamid-HAc (EtFOSAA) 20     <0.021 <0.028 0
N-metylperfluoroktansulfonamid (MeFOSA) 20     <0.21 <0.28 0
N-metylperfluoroktansulfonamid-HAc (MeFOSAA) 20     <0.021 <0.028 0
Perfluor(2-etoksyetan)sulfonat (PFEESA) 20     <0.021 <0.028 0
Perfluorpropansulfonat (PFPrS) 20     <0.021 <0.028 0
Perfluor-3,6-dioksoheptansyre (NFDHA/3,6-OPFHpA) 20     <0.021 <0.028 0
Perfluor-3-metoksypropansyre (PFMPA/PF4OPeA) 20     <0.021 <0.028 0
Perfluor-4-metoksybutansyre (PFMBA/PF5OHxA) 20     <0.021 <0.028 0
Perfluorbutansulfonamid (PFBSA) 20     <0.021 <0.028 0
Perfluorbutansulfonat (PFBS) 20     <0.021 <0.028 0
Perfluorbutansyre (PFBA) 20     <0.21 <0.28 0
Perfluordekansulfonsyre (PFDS) 20     <0.021 <0.028 0
Perfluordodekansulfonat (PFDoS) 20     <0.21 <0.28 0
Perfluorheksadekansyre (PFHxDA) 20     <0.021 <0.028 0
Perfluorheksansulfonamid (FHxSA) 20     <0.021 <0.028 0
Perfluorheksansulfonat (PFHxS) 20     <0.021 <0.028 0
Perfluorheksansyre (PFHxA) 20     <0.021 <0.028 0
Perfluorheptansulfonat (PFHpS) 20     <0.021 <0.028 0
Perfluorheptansyre (PFHpA) 20     <0.021 <0.028 0
Perfluornonansulfonat (PFNS) 20     <0.021 <0.028 0
Perfluor-4-(perfluoretyl)sykloheksylsulfonsyre (PFECHS) 20     <0.021 <0.028 0
Perfluoroktadekansyre (PFODA) 20     <0.21 <0.28 0
Perfluortridekansulfonat(PFTrDS) 20     <0.021 <0.028 0
Perfluorpentansulfonat (PFPeS) 20     <0.021 <0.028 0
Perfluorpentansyre (PFPeA) 20     <0.021 <0.028 0
Perfluortetradekansyre (PFTeDA) 20     <0.021 <0.028 0
Perfluorundekansulfonat (PFUnDS) 20     <0.021 <0.028 0
N-metylperfluoroktansulfonamidetanol (MeFOSE) 0          

Tabell A6. Konsentrasjoner av 50 ulike perfluorerte alkylstoffer (µg/kg våtvekt) i snabeluer (Sebastes mentella). Resultatene er gitt som gjennomsnitt, median, minste og største verdi og antall prøver med målbart resultat (Antall >= LOQ). Dersom prøver andel <LOQ er under 50 %, er ikke gjennomsnitt vist. For prøver der noen prøver er <LOQ, er konsentrasjonen satt lik LOQ ved beregning av gjennomsnitt.

 

PFAS i torsk, µg/kg våtvekt N Mean Median Min Max Ant ≥ LOQ
Sum alle oppgitte PFAS eksl. LOQ 40 0.459 0.43 0.150 0.88  
Sum PFAS4 (EFSA) uten LOQ 40 0.216 0.19 0.039 0.53  
Perfluoroktylsulfonat (PFOS) 40 0.166 0.16 0.023 0.43 40
Perfluorundekansyre (PFUnDA) 40 0.0762 0.071 0.018 0.19 40
Perfluoroktansulfonamid (FOSA) 40 0.0757 0.041 0.021 0.26 39
Perfluornonansyre (PFNA) 40 0.0447 0.041 <0.0068 0.18 39
Perfluortridekansyre (PFTrA) 40 0.0313 0.024 <0.013 0.12 39
Perfluordekansyre (PFDA) 40 0.0290 0.026 <0.0078 0.063 39
Perfluordodekansyre (PFDoDA) 40 0.0132 0.012 <0.0045 0.029 39
Perfluoroktansyre (PFOA) 40 0.0068 0.0041 <0.0018 0.053 29
Perfluortetradekansyre (PFTeDA) 40 0.0068 0.0044 <0.0019 0.020 34
Perfluorbutansulfonamid (PFBSA) 40   <0.019 <0.0018 0.10 13
Perfluorheksansulfonamid (FHxSA) 40   <0.019 <0.0086 0.029 19
Perfluorheksansulfonat (PFHxS) 40   <0.0019 <0.0018 0.020 7
Perfluorheptansulfonat (PFHpS) 40   <0.0019 <0.0018 <0.02 1
10:2 Fluortelomersulfonat (10:2 FTS) 40     <0.0018 <0.02 0
3:3 Fluortelomerkarboksylat (3:3 FTCA) 28     <0.018 <0.02 0
4:2 Fluortelomersulfonat (FTS) 40     <0.0018 <0.02 0
5:3 Fluortelomerkarboksylat (5:3 FTCA) 28     <0.018 <0.02 0
6:2 Cl-PFAES (9-klorheksadekafluor-3-oksanonan-1-sulfonat) 40     <0.0018 <0.02 0
6:2 Fluortelomersulfonat (FTS) (H4PFOS) 40     <0.0018 <0.02 0
7:3-Fluortelomerkarboksylat (7:3 FTCA) 28     <0.018 <0.02 0
7H-Dodekafluorheptansyre (HPFHpA) 40     <0.018 <0.02 0
8:2 Cl-PFAES (11-kloreikosafluor-3-oksaundekan-1-sulfonat) 40     <0.0018 <0.02 0
8:2 Fluortelomersulfonat (FTS) 40     <0.0018 <0.02 0
DONA (Dodekafluor-3H-4,8-dioxanonanoat syre) 40     <0.018 <0.02 0
HFPO-DA (GenX) 40     <0.018 <0.02 0
N-etylperfluoroktansulfonamid-HAc (EtFOSAA) 31     <0.018 <0.02 0
N-metylperfluoroktansulfonamid-HAc (MeFOSAA) 31     <0.018 <0.02 0
Perfluor(2-etoksyetan)sulfonat (PFEESA) 40     <0.0018 <0.02 0
Perfluorpropansulfonat (PFPrS) 40     <0.018 <0.02 0
Perfluor-3,6-dioksoheptansyre (NFDHA/3,6-OPFHpA) 40     <0.0018 <0.02 0
Perfluor-3-metoksypropansyre (PFMPA/PF4OPeA) 40     <0.0018 <0.02 0
Perfluor-4-metoksybutansyre (PFMBA/PF5OHxA) 40     <0.0018 <0.02 0
Perfluorbutansulfonat (PFBS) 40     <0.0018 <0.02 0
Perfluorbutansyre (PFBA) 40     <0.054 <0.2 0
Perfluordekansulfonsyre (PFDS) 40     <0.018 <0.02 0
Perfluordodekansulfonat (PFDoS) 40     <0.018 <0.2 0
Perfluorheksadekansyre (PFHxDA) 40     <0.0018 <0.02 0
Perfluorheksansyre (PFHxA) 40     <0.018 <0.02 0
Perfluorheptansyre (PFHpA) 40     <0.0018 <0.02 0
Perfluornonansulfonat (PFNS) 40     <0.018 <0.02 0
Perfluor-4-(perfluoroetyl)sykloheksylsulfonat (PFECHS) 40     <0.0018 <0.02 0
Perfluoroktadekansyre (PFODA) 40     <0.0018 <0.2 0
Perfluor-n-tridekansulfonat (PFTrDS) 40     <0.018 <0.02 0
Perfluorpentansulfonat (PFPeS) 40     <0.0018 <0.02 0
Perfluorpentansyre (PFPeA) 40     <0.018 <0.02 0
Perfluorundekansulfonat (PFUnDS) 40     <0.018 <0.02 0
N-etylperfluoroktansulfonamid (EtFOSA) 1     <0.2 <0.2 0
N-etylperfluoroktansulfonamidetanol (EtFOSE) 1     <0.2 <0.2 0
N-metylperfluoroktansulfonamid (MeFOSA) 1     <0.2 <0.2 0
N-metylperfluoroktansulfonamidetanol (MeFOSE) 1     <0.2 <0.2 0
Tabell A7. Konsentrasjoner av 50 ulike perfluorerte alkylstoffer (µg/kg våtvekt) i torsk (Gadus morhua). Resultatene er gitt som gjennomsnitt, median, minste og største verdi og antall prøver med målbart resultat (Antall >= LOQ). Dersom prøver andel <LOQ er under 50 %, er ikke gjennomsnitt vist. For prøver der noen prøver er <LOQ, er konsentrasjonen satt lik LOQ ved beregning av gjennomsnitt.
PFAS i hele reker, µg/kg våtvekt N Mean Median Min Max Ant ≥ LOQ
Sum alle oppgitte PFAS eksl. LOQ 12 4.13 3.6 2.1 6.6  
Sum PFAS4 (EFSA) uten LOQ 12 1.44 1.5 1.0 1.8  
Perfluoroktylsulfonat (PFOS) 12 1.07 1.0 0.79 1.5 12
Perfluortridekansyre (PFTrA) 12 0.989 0.76 <0.0023 2.1 11
Perfluorundekansyre (PFUnDA) 12 0.581 0.59 <0.0022 1.1 10
Perfluordekansyre (PFDA) 12 0.305000 0.27 0.18 0.51 12
Perfluoroktansulfonamid (FOSA) 12 0.298583 0.19 0.073 0.73 12
Perfluornonansyre (PFNA) 12 0.275000 0.26 0.17 0.48 12
Perfluordodekansyre (PFDoDA) 12 0.227500 0.22 0.10 0.41 12
Perfluortetradekansyre (PFTeDA) 12 0.202083 0.16 0.052 0.63 12
Perfluoroktansyre (PFOA) 12 0.0789 0.059 <0.0023 0.18 10
Perfluorheksansulfonamid (FHxSA) 12 0.057417 0.054 0.024000 0.11 12
Perfluorbutansulfonamid (PFBSA) 12 0.023425 0.021 0.0091 0.058 12
Perfluorheksansulfonat (PFHxS) 12 0.0154 0.014 <0.0081 0.027 10
6:2 Fluortelomersulfonat (FTS) (H4PFOS) 12 0.0059 0.0029 <0.0022 0.019 7
10:2 Fluortelomersulfonat (10:2 FTS) 12 0.0040 0.0032 <0.0024 0.0073 6
N-metylperfluoroktansulfonamid-HAc (MeFOSAA) 8   <0.024 <0.022 0.043 1
Perfluorheptansyre (PFHpA) 12   <0.0025 <0.0023 0.0046 2
Perfluorpentansyre (PFPeA) 12   <0.024 <0.023 0.40 1
3:3 Fluortelomerkarboksylat (3:3 FTCA) 12     <0.022 <0.025 0
4:2 Fluortelomersulfonat (FTS) 12     <0.0022 <0.0025 0
5:3 Fluortelomerkarboksylat (5:3 FTCA) 12     <0.022 <0.025 0
6:2 Cl-PFAES (9-klorheksadekafluor-3-oksanonan-1-sulfonat) 12     <0.0022 <0.0025 0
7:3-Fluortelomerkarboksylat (7:3 FTCA) 12     <0.022 <0.025 0
7H-Dodekafluorheptansyre (HPFHpA) 12     <0.022 <0.025 0
8:2 Cl-PFAES (11-kloreikosafluor-3-oksaundekan-1-sulfonat) 12     <0.0022 <0.0025 0
8:2 Fluortelomersulfonat (FTS) 12     <0.0022 <0.0025 0
DONA (Dodekafluor-3H-4,8-dioksanonansyre) 12     <0.022 <0.025 0
HFPO-DA (GenX) 12     <0.022 <0.025 0
N-etylperfluoroktansulfonamid-HAc (EtFOSAA) 8     <0.022 <0.025 0
Perfluor(2-etoksyetan)sulfonat (PFEESA) 12     <0.0022 <0.0025 0
Perfluorpropansulfonat (PFPrS) 12     <0.022 <0.025 0
Perfluor-3,6-dioksoheptansyre (NFDHA/3,6-OPFHpA) 12     <0.0022 <0.0025 0
Perfluor-3-metoksypropansyre (PFMPA/PF4OPeA) 12     <0.0022 <0.0025 0
Perfluor-4-metoksybutansyre (PFMBA/PF5OHxA) 12     <0.0022 <0.0025 0
Perfluorbutansulfonat (PFBS) 12     <0.0022 <0.0025 0
Perfluorbutansyre (PFBA) 12     <0.067 <0.076 0
Perfluordekansulfonsyre (PFDS) 12     <0.022 <0.025 0
Perfluordodekansulfonat (PFDoS) 12     <0.022 <0.025 0
Perfluorheksadekansyre (PFHxDA) 12     <0.0022 <0.025 0
Perfluorheksansyre (PFHxA) 12     <0.022 <0.025 0
Perfluorheptansulfonat (PFHpS) 12     <0.0022 <0.0046 0
Perfluornonansulfonat (PFNS) 12     <0.022 <0.025 0
Perfluor-4-(perfluoretyl)sykloheksylsulfonat (PFECHS) 12     <0.0022 <0.0025 0
Perfluoroktadekansyre (PFODA) 12     <0.0022 <0.0025 0
Perfluortridekansulfonat (PFTrDS) 12     <0.022 <0.025 0
Perfluorpentansulfonat (PFPeS) 12     <0.0022 <0.12 0
Perfluorundekansulfonat (PFUnDS) 12     <0.022 <0.025 0
N-etylperfluoroktansulfonamid (EtFOSA) 0          
N-etylperfluoroktansulfonamidetanol (EtFOSE) 0          
N-metylperfluoroktansulfonamid (MeFOSA) 0          
N-metylperfluoroktansulfonamidetanol (MeFOSE) 0          

 

Tabell A8. Konsentrasjoner av 50 ulike perfluorerte alkylstoffer (µg/kg våtvekt) i hele kokte reker (Pandalus borealis). Resultatene er gitt som gjennomsnitt, median, minste og største verdi og antall prøver med målbart resultat (Antall >= LOQ). Dersom prøver andel <LOQ er under 50 %, er ikke gjennomsnitt vist. For prøver der noen prøver er <LOQ, er konsentrasjonen satt lik LOQ ved beregning av gjennomsnitt.

 

PFAS i pillede reker, µg/kg våtvekt N Mean Median Min Max Ant ≥ LOQ
Sum alle oppgitte PFAS eksl. LOQ 6 3.23 2.9 2.4 5.0  
Sum PFAS4 (EFSA) uten LOQ 6 0.830 0.94 0.15 1.1  
Perfluortridekansyre (PFTrA) 6 0.978 0.96 0.48 1.6 6
Perfluoroktylsulfonat (PFOS) 6 0.617 0.74 <0.0023 0.80 5
Perfluorundekansyre (PFUnDA) 6 0.565 0.52 0.40 0.80 6
Perfluordekansyre (PFDA) 6 0.233 0.19 0.13 0.45 6
Perfluortetradekansyre (PFTeDA) 6 0.198 0.16 0.065 0.37 6
Perfluordodekansyre (PFDoDA) 6 0.196 0.17 0.093 0.35 6
Perfluoroktansulfonamid (FOSA) 6 0.186 0.13 0.076 0.42 6
Perfluornonansyre (PFNA) 6 0.158 0.14 0.095 0.24 6
Perfluoroktansyre (PFOA) 6 0.0462 0.041 0.015 0.086 6
Perfluorheksansulfonamid (FHxSA) 6 0.0350 0.030 0.024 0.052 6
Perfluorheksansulfonat (PFHxS) 6 0.0260 0.0080 <0.0027 0.12 5
Perfluorbutansulfonamid (PFBSA)   0.0141 0.013 0.0071 0.027 6
10:2 Fluortelomersulfonat (10:2 FTS) 6   0.0033 <0.0025 0.0052 3
6:2 Fluortelomersulfonat (FTS) (H4PFOS) 6   <0.00265 <0.0025 0.0039 2
N-metylperfluoroktansulfonamid-HAc (MeFOSAA) 6   <0.0255 <0.023 0.052 1
Perfluorheptansyre (PFHpA) 6   <0.00255 <0.0024 0.0048 2
3:3 Fluortelomerkarboksylat (3:3 FTCA) 6     <0.023 <0.027 0
4:2 Fluortelomersulfonat (FTS) 6     <0.0023 <0.0027 0
5:3 Fluortelomerkarboksylat (5:3 FTCA) 6     <0.023 <0.027 0
6:2 Cl-PFAES (9-klorheksadekafluor-3-oksanonan-1-sulfonat) 6     <0.0023 <0.0027 0
7:3-Fluortelomerkarboksylat (7:3 FTCA) 6     <0.023 <0.027 0
7H-Dodekafluorheptansyre (HPFHpA) 6     <0.023 <0.027 0
8:2 Cl-PFAES (11-kloreikosafluor-3-oksaundekan-1-sulfonat) 6     <0.0023 <0.0027 0
8:2 Fluortelomersulfonat (FTS) 6     <0.0023 <0.0027 0
DONA (Dodekafluor-3H-4,8-dioksanonansyre) 6     <0.023 <0.027 0
HFPO-DA (GenX) 6     <0.023 <0.027 0
N-etylperfluoroktansulfonamid-HAc (EtFOSAA) 6     <0.023 <0.027 0
Perfluor(2-etoksyetan)sulfonat (PFEESA) 6     <0.0023 <0.0027 0
Perfluorpropansulfonat (PFPrS) 6     <0.023 <0.027 0
Perfluor-3,6-dioksoheptansyre (NFDHA/3,6-OPFHpA) 6     <0.0023 <0.0027 0
Perfluor-3-metoksypropansyre (PFMPA/PF4OPeA) 6     <0.0023 <0.0027 0
Perfluor-4-metoksybutansyre (PFMBA/PF5OHxA) 6     <0.0023 <0.0027 0
Perfluorbutansulfonat (PFBS) 6     <0.0023 <0.0027 0
Perfluorbutansyre (PFBA) 6     <0.069 <0.082 0
Perfluordekansulfonsyre (PFDS) 6     <0.023 <0.027 0
Perfluordodekansulfonat (PFDoS) 6     <0.023 <0.027 0
Perfluorheksadekansyre (PFHxDA) 6     <0.0023 <0.027 0
Perfluorheksansyre (PFHxA) 6     <0.023 <0.027 0
Perfluorheptansulfonat (PFHpS) 6     <0.0023 <0.0027 0
Perfluornonansulfonat (PFNS) 6     <0.023 <0.027 0
Perfluor-4-(perfluoretyl)syklohexylsulfonat  (PFECHS) 6     <0.0023 <0.0027 0
Perfluoroktadekansyre (PFODA) 6     <0.0023 <0.0027 0
Perfluortridekansulfonat (PFTrDS) 6     <0.023 <0.027 0
Perfluorpentansulfonat (PFPeS) 6     <0.0023 <0.0027 0
Perfluorpentansyre (PFPeA) 6     <0.023 <0.027 0
Perfluorundekansulfonat (PFUnDS) 6     <0.023 <0.027 0
N-etylperfluoroktansulfonamid (EtFOSA) 0          
N-etylperfluoroktansulfonamidetanol (EtFOSE) 0          
N-metylperfluoroktansulfonamid (MeFOSA) 0          
N-metylperfluoroktansulfonamidetanol (MeFOSE) 0          
Tabell A9. Konsentrasjoner av 50 ulike perfluorerte alkylstoffer (µg/kg våtvekt) i pillede kokte reker (Pandalus borealis). Resultatene er gitt som gjennomsnitt, median, minste og største verdi og antall prøver med målbart resultat (Antall >= LOQ). Dersom prøver andel <LOQ er under 50 %, er ikke gjennomsnitt vist. For prøver der noen prøver er <LOQ, er konsentrasjonen satt lik LOQ ved beregning av gjennomsnitt.