Gå til hovedinnhold

Fremmedstoffer i villfisk 2024

— Mattilsynets kontrollprogram for villfisk og kartlegging av brosme fra Nordfjord, Storfjorden og Romsdalsfjorden

Forord

I 2024 ble det for første gang gjennomført offisiell kontroll av uønskede stoffer i norsk villfisk i henhold til EU-krav, der Mattilsynet selv tok ut prøvene på fiskemottak i hele landet, mens prøveopparbeiding og analyse ble gjennomført hos Havforskningsinstituttet. Mattilsynet ved seksjon for kjemisk mattrygghet bestemte hvilke arter som skulle inkluderes i kontrollprogrammet, basert på en omfattende risikovurdering gjort ved HI, og Mattilsynet og HI utarbeidet sammen protokoll og instruks for prøvetakingen. Kontrollprogrammet hadde ikke vært mulig å gjennomføre uten innsatsen til en rekke av Mattilsynets inspektører langs hele kysten, som fikk uttak og forsendelse av villfanget fisk lagt til arbeidsoppgavene sine. Vi kom litt sent i gang dette første året, av praktiske grunner, og noen prøver kom litt sent på året, men til slutt ble det gjennomført med nesten det antallet prøver som var planlagt.

I tillegg til kontroll, ble det også gjennomført en grundig kartlegging av miljøgifter i brosme fra tre fjorder på Nordvestlandet; Nordfjord, Storfjorden og Romsdalsfjorden. Det var en utfordring å skaffe alle prøvene, men det gikk fint takket være fantastisk innsats fra fisker Atle Geir Teige som fisket i alle tre fjordene, og Geir Egil Smenes som fisket i indre deler av Storfjorden. Vi vil også takke for uvurderlig hjelp av Nils Roar Hareide og Ørjan Sørstrønen Vabø ved Runde miljøsenter til å organisere prøvetakingen, ta imot, fryse ned og sende store mengder fisk fra de tre fjordene.

Når prøvene kom til HI i Bergen sto prøvemottak, med teknisk ansvarlig Anne Margethe Aase i spissen, klar til å ta imot, registrere og opparbeide all fisken og videreformidle prøvene til de ulike analyselaboratoriene, samt å frysetørke prøvene og beregne tørrstoffinnhold. Analyser for metaller med multielementmetoden, samt metylkvikksølv, uorganisk arsen, organisk arsen og fettinnhold ble gjennmført ved laboratorium for uorganisk kjemi ledet av Marita Eide Kristoffersen. Analysene for dioksiner, PCB, PBDE og PFAS ble utført ved Kjemi- og fremmedstofflaboratoriet, under ledelse av Bergitte Reiersen. Analyser for HBCD og TBBP-A ble utført hos Eurofins.

Takk til alle som har bidratt i gjennomføringen av prosjektet!      

 

 

Sammendrag

I denne rapporten rapporteres resultater fra kontrollprogrammet for fremmedstoffer for villfisk 2024, der Mattilsynets inspektører tok ut prøver av villfisk hos bedrifter til analyse for fremmedstoffer med grenseverdi for omsetning. I tillegg rapporteres resultater fra kartlegging, som var todelt: Kartlegging - miljøgifter uten grenseverdi, der prøver tatt ut gjennom kontrollprogrammet ble analysert for flere kjemiske stoffer med behov for mer data, og Kartlegging - fjorder, der vi i 2024 undersøkte innholdet av miljøgifter i brosme (Brosme brosme) fra tre fjorder på Nordvestlandet. I kontrollprogrammet for 2024 ble til sammen 195 samleprøver av i alt 15 ulike fiskearter tatt ut og analysert. Det ble tatt ut 47 prøver av makrell og sild, 21 prøver av torsk og hyse, 20 prøver av brosme, 13 av atlantisk kveite, 10 av sei, fem av lange og tre av brisling og breiflabb. I tillegg ble det tatt en prøve av hver av artene blåkveite, uer, lyr, berggylt og rognkjeks. I kontrollprogrammet er målet å kontrollere at innholdet av fremmedstoffer er under grenseverdiene for omsetning satt i EU og i Norge, og kontrollplanen skal være risikobasert. Alle prøvene tatt ut i kontrollprogrammet ble analysert for kvikksølv, kadmium og bly samt perfluorerte alkylstoffer (PFAS), mens 109 prøver, i hovedsak fete fiskearter, ble analysert for dioksiner og dioksinlignende (dl-) PCB, samt ikke-dioksinlignende PCB, sum PCB6. Resultatene viste at to prøver hadde konsentrasjoner av kvikksølv over grenseverdien på 0,5 mg/kg våtvekt. Det var en prøve av brosme, fisket langs kysten av Vestland, og en prøve av lange fisket langs kysten av Nordland. Sistnevnte besto av svært store langer. Kvikksølvkonsentrasjonene var ellers generelt høyest i breiflabb, brosme og lange og lavest i makrell. Konsentrasjonene økte ellers med gjennomsnittsstørrelsen på fisken.  Nivået av kadmium og bly var svært lave og under bestemmelsesgrensene (LOQ) i mange av prøvene. 

Nivåene av PFAS var generelt lave i muskelprøver av villfisk analysert i kontrollprogrammet. Av de fire PFAS det er satt grenseverdier for, var de fleste prøvene under LOQ for PFOA, PFNA og PFHxS. Flere prøver viste målbare verdier for PFOS, og den høyeste målte verdien av PFOS og sum PFAS4 var i brisling, fulgt av atlantisk kveite og torsk. Dioksiner og PCB ble bestemt i 47 prøver av makrell, 40 prøver av sild, 13 prøver av atlantisk kveite, tre prøver av brisling, to prøver av breiflabb og en prøve av hver av artene uer, blåkveite, berggylt og rognkjeks. Den høyeste konsentrasjonen av sum dioksiner og dl-PCB ble målt i en prøve av brisling, og rognkjeksprøven hadde nest høyest konsentrasjon, fulgt av blåkveite, makrell og sild. Også for sum PCB6 hadde brisling høyest gjennomsnittskonsentrasjon, fulgt av rognkjeks og deretter makrell og sild.

For «Kartlegging - miljøgifter uten grenseverdi» ble uorganisk arsen bestemt i alle prøvene tatt ut i kontrollprogrammet. Resultatene bekreftet at konsentrasjonene av uorganisk arsen er svært lave i norsk fisk, med konsentrasjoner opp til 0,020 mg/kg, der den høyeste konsentrasjonen og høyest medianverdi ble målt i makrell. Også andelen uorganisk arsen av totalarsen var høyest i makrell, men var likevel lav med en median på 0,4 %. Vannløselige former av organisk arsen ble bestemt i totalt 83 prøver av torsk, kveite, hyse, makrell og sild. For torsk, kveite og hyse var arsenobetain dominerende, som forventet, med en gjennomsnittlig prosentandel arsenobetain av totalarsen på henholdsvis 73 %, 86 % og 71 %. For makrell og sild utgjorde arsenobetain henholdsvis 6 % og 22 % av totalmengden arsen. Dimetylarsinat forekom i målbare konsentrasjoner og utgjorde 1,3 % av totalarsen for makrell og sild. Det var en stor andel av totalarsen som ikke ble identifisert med analysemetoden for vannløselige organiske arsenformer, og det er sannsynlig at dette er lipidløselige arsenformer (arsenolipider). Som en del av kjemikartleggingen ble kontrollprøvene tatt ut av fete fiskearter også analysert for bromerte flammehemmere, herunder PBDE, α-, β- og γ-HBCD og TBBP-A. Nivået av PBDE var høyest i brisling, fulgt av makrell og sild. Konsentrasjonen av sum PBDE7 i sild var klart høyere i prøver tatt ut i region Sør og Vest enn i prøver tatt ut lenger nord, selv om fisken i prøvene var mindre. Det samme mønsteret ble ikke sett for α-HBCD, der konsentrasjonene var høyest i sild tatt ut i region Nord.

Brosme fra fjorder på Vestlandet har tidligere vist høye konsentrasjoner av kvikksølv i filet. Analyser av filet fra 154 brosmer prøvetatt ved til sammen ni ulike lokaliteter i Romsdalsfjorden, Storfjorden og Nordfjorden, viste også relativt høye kvikksølvkonsentrasjoner. Nivået var høyest i Romsdalsfjorden, med 0,676 mg/kg våtvekt, som er over grenseverdien på 0,5 mg/kg. Konsentrasjonene av kvikksølv i brosme fra Storfjorden og Nordfjord var i gjennomsnitt like over og under grenseverdien. Det var ingen økende trend for kvikksølv fra ytterst til innerst i fjordene, og høyest nivåer ble målt i brosme fra Ytre Romsdalsfjorden og Ytre Storfjord, med gjennomsnitt på 0,74 mg/kg begge steder. Konsentrasjonene økte med økende lengde på fisken og var høyere i hunnfisk enn i hannfisk. Når lengde og kjønn var korrigert for, var kvikksølvnivået noe høyere i ytre deler av Storfjorden enn i alle andre områder. Metylkvikksølv utgjorde mellom 65 % og 97 % av totalkvikksølv, med gjennomsnitt ± standardavvik på 92,7 ± 3,8 %, og det var en god lineær korrelasjon mellom konsentrasjonene av totalkvikksølv og metylkvikksølv. Konsentrasjonene av arsen varierte mellom fjordene og var høyere i brosme fra Nordfjord enn i de to andre fjordene, når lengde og fettinnhold i fisken var tatt høyde for. Nivået av uorganisk arsen var under LOQ i alle prøvene. Resultater er ellers rapportert for en lang rekke andre metaller i filet, der konsentrasjonene av kadmium, bly, sølv, kobolt, krom, molybden, nikkel og vanadium var under LOQ i de aller fleste prøvene. Konsentrasjonene av kadmium og bly i alle prøvene var også langt under grenseverdiene på henholdsvis 0,05 og 0,3 mg/kg våtvekt.

Det var forhøyede konsentrasjoner av PFAS i filet av brosme fisket ved flere av fjordlokalitetene, men særlig Anda i Nordfjord, nær Sandane lufthavn, skilte seg ut med relativt høye konsentrasjoner av både PFOS, PFOA og PFNA og gjennomsnittlige konsentrasjoner av PFOA og PFNA over grenseverdiene på 0,2 og 0,5 µg/kg våtvekt. Andre lokaliteter som hadde enkelte PFAS-forbindelser over grenseverdier i noen individer var Stårheim i Nordfjord, Ytre Romsdalsfjorden og Ytre Storfjorden. Det var stort sett hunnfisk som hadde de høyeste konsentrasjonene av PFAS. Brosme er mager fisk som akkumulerer fettløselige organiske miljøgifter i leveren. Lever fra 77 av brosmene tatt ut i de tre fjordene ble analysert for dioksiner, PCB og PBDE, og resultatene bekreftet det som har vært funnet tidligere, at brosmelever akkumulerer høye konsentrasjoner av fettløselige organiske miljøgifter. Gjennomsnittskonsentrasjonene av sum dioksiner og dl-PCB varierte blant lokalitetene fra 24,3 til 57,8 ng TE/kg våtvekt, og var altså godt over grenseverdien for lever på 20 ng TE/kg ved alle lokalitetene. Konsentrasjonene av sum PCB6 i lever av brosme var også svært høye, med opp til 4650 µg/kg i en enkeltfisk og gjennomsnittskonsentrasjoner for lokalitetene fra 279 til 1059 µg/kg. Nivåene var altså alle steder godt over grenseverdien som gjelder PCB6 i lever, på 200 µg/kg våtvekt. Konsentrasjonene av PBDE7 var høyest brosme fra Romsdalsfjorden og den ytterste lokaliteten i Storfjorden. Konsentrasjonene av disse organiske miljøgiftene varierte i ulik grad med størrelse, fettinnhold og kjønn, og når disse faktorene var tatt høyde for var det lite variasjon mellom fjordene og de ulike lokalitetene i fjordene. Unntaket var for PBDE i hannfisk, der det var høyere konsentrasjon av PBDE7 i Ytre Storfjorden enn alle andre steder. Det at nivået av dioksiner og dioksinlignende PCB og ikke-dioksinlignende PCB i brosmelever var såpass mye høyere enn grenseverdiene som gjelder fiskelever, understreker viktigheten av å følge det eksisterende rådet gitt av Mattilsynet, om å unngå å spise lever av selvfanget fisk tatt langs kysten.

1 - Innledning

Denne rapporten omhandler to ulike deler av overvåkings- og kartleggingsprogrammet «Fremmedstoffer i villfisk», gjennomført for Mattilsynet i 2024. Vi rapporterer resultater for kontrollprogrammet, der Mattilsynets inspektører tar ut prøver av villfisk hos bedrifter til analyse for fremmedstoffer med grenseverdi for omsetning, samt for kartlegging. Kartleggingen er todelt: Kartlegging - miljøgifter uten grenseverdi, der prøver tatt ut gjennom kontrollprogrammet blir analysert for flere kjemiske stoffer der det er behov for mer data, og Kartlegging - fjorder, der vi i 2024 undersøkte innholdet av miljøgifter i brosme fra tre fjorder på Nordvestlandet.

1.1 - Kontrollprogrammet

Fisk og annen sjømat akkumulerer fremmedstoffer, eller miljøgifter, i ulik grad. For å hindre at mat med de høyeste nivåene av skadelige miljøgifter blir spist, er det etablert grenseverdier som gjelder ved omsetning (I Norge: Forskrift om visse forurensende stoffer i næringsmidler, FOR-2015-07-03-870; i EU: Commission regulation (EU) 915//2023). Dokumentasjon på at norsk fisk ikke overskrider grenseverdiene, har så langt vært sikret gjennom omfattende kartlegging og overvåking av fremmedstoffer i sjømat, gjennomført av Havforskningsinstituttet (HI) og finansiert av Mattilsynet, Fiskeri- og havbruksnæringens forskningsfond eller direkte fra Nærings- og fiskeridepartementet.

Norge er forpliktet til å følge kontrollforordningen, gitt i EU regelverket 2017/625 (For-2020-03-03-704), som sier at offisielle kontroller skal gjennomføres av «kompetente myndigheter» basert på flerårige kontrollplaner. Fra 2022 ble det et krav om å inkludere villfanget sjømat i flerårige kontrollplaner. Reguleringene 2022/931 og 2022/932 fastsetter at «antall prøver skal bli bestemt av hver medlemsstat i henhold til produksjonsnivå og de identifiserte problemene».

I 2024 gjennomførte Mattilsynet den offentlige kontrollen av fremmedstoffer i villfanget sjømat i henhold til kontrollforordningen. Artene som ble inkludert var valgt ut basert på en risikovurdering gjennomført av HI, som var basert på eksisterende data på ulike miljøgifter i norsk sjømat, opparbeidet gjennom ulike kartleggings- og overvåkingsprosjekter. Høyt produksjonsvolum, risiko for overskridelse av grenseverdier, risiko for overskridelse av tolerable inntaksverdier for ulike stoffer (TWI) og kunnskapsmangel, var de ulike faktorene som ble lagt til grunn i denne vurderingen. Utvalget av arter i kontrollprogrammet for 2024 ble valgt ut basert på konklusjonene i denne risikovurderingen (Nilsen m.fl., 2025).

Noen arter, som torsk, hyse, makrell og sild ble valgt ut fra stort fangstvolum. Brosme og kveite ble valgt ut fordi de har tidligere har vist potensiale for å akkumulere kvikksølv og/eller organiske miljøgifter til relativt høye nivåer, noen ganger over grenseverdiene. Brisling ble valgt ut som en art med kunnskapsmangel, da det sist ble gjort en kartlegging i 2010.

I selve kontrollprogrammet blir det kun analysert for stoffer som det er satt grenseverdier for, da målet med kontrollprogrammet er å kontrollere at sjømaten er under grenseverdier, og å avdekke det dersom noen partier inneholder fisk med nivåer som overskrider grenseverdiene. I kontrollprogrammet ble de magre fiskeartene analysert for metaller og per- og polyfluorerte forbindelser (PFAS), mens de fete fiskeartene i tillegg ble analysert for dioksiner, dioksinlignende polyklorerte bifenyler (PCB) og ikke-dioksinlignende PCB.

I 2024 ble kontrollprogrammet gjennomført ved at inspektører ved ulike avdelinger av Mattilsynet tok ut prøver ved kommersielle fiskemottak, som så ble sendt inn til HI for prøveopparbeiding og analyse. Til sammen ble det tatt ut og analysert 195 prøver av 15 ulike fiskearter.

1.2 - Kartlegging - miljøgifter uten grenseverdi

Prøvene tatt ut i kontrollprogrammet ble også analysert for stoffer som det ikke er grenseverdier for, men der Mattilsynet ønsker mer data. De fete artene ble analysert for bromerte flammehemmere (PBDE, HBCD og TBBP-A). Alle prøvene ble også analysert for uorganisk arsen, på grunn av identifisert datamangel. I tillegg ble noen utvalgte arter som tidligere har vist høye verdier for totalarsen, samt fete fiskearter, også analysert for organisk arsen med en nyutviklet metode for vannløselige organiske arsenforbindelser.

1.3 - Kartlegging – miljøgifter i brosme fra fjorder

Brosme er en populær art blant noen aktive fritidsfiskere, og det er sannsynlig at disse fisker mye lokalt til eget forbruk. I dype fjorder der det ellers ikke fiskes så mye på «vanlige» arter som finnes på relativt grunt vann, er brosme en av de artene som det fiskes en del på. Innholdet av miljøgifter i brosme kan derfor ha betydning for det totale inntaket av miljøgifter blant fritidsfiskere og deres familier.

Dette er særlig aktuelt fordi brosme tidligere er vist å kunne akkumulere høye konsentrasjoner av kvikksølv i fileten, med særlig høye konsentrasjoner inne i fjorder på Vestlandet (Kvangarsnes, 2010, Kvangarsnes m.fl., 2012, Azad m.fl., 2019a, Azad, 2021, Frantzen og Måge, 2016). Først i Hardangerfjorden og senere i Sognefjorden har Mattilsynet innført advarsler mot å spise brosme (lenke til advarsel) grunnet overskridelser av grenseverdien for kvikksølv. De høye kvikksølvnivåene i brosme i Hardangerfjorden ble tilskrevet den historiske forurensningen fra industri i Sørfjorden, som fortsatt finnes i bunnsedimentene. I Sognefjorden, derimot, er det ikke noen åpenbare primærkilder til kvikksølvforurensning, og forklaringen på de høye kvikksølvkonsentrasjonene er derfor antatt å ligge i fjordens topografi: Avrenning fra det store nedbørsfeltet rundt fjorden fører langtransportert forurensning ut i fjorden, og kvikksølvet blir trolig raskt metylert og tatt opp i næringskjeden idet det kommer ut i fjorden. Trolig er det også begrenset utskifting av vannmassene i dypere deler av fjorden (Meyer m.fl., 2020), som gjør at det blir en oppkonsentrering av kvikksølv og andre miljøgifter. Dersom det er fjordtopografi, og ikke punktkilder, som er hovedårsaken til de høye kvikksølvkonsentrasjonene i brosme fra Sognefjorden, kan det samme være tilfellet også i andre norske fjorder med lignende egenskaper.

Selv om en del fjordområder ble dekket av den store kartleggingen gjennomført i 2013-2015 (Frantzen og Måge, 2016), er det fortsatt veldig mange fjorder som ikke er undersøkt for kvikksølv i brosme. Og på grunn av potensialet for høyt inntak av selvfanget brosme for folk som fisker til eget forbruk, kan risikoen for å overskride TWI være høy selv om konsentrasjonene ikke er over grenseverdiene.

På bakgrunn av dette er det i 2024 gjennomført en kartlegging av miljøgifter i brosme fisket i tre fjorder som aldri tidligere, eller ikke på svært lenge, har blitt undersøkt for miljøgifter i brosme. Det finnes mange slike fjorder, men i 2024 valgte vi å undersøke brosme fisket i tre store fjorder på Nord-Vestlandet; Nordfjord, Storfjorden og Romsdalsfjorden.

Prøvene av brosmefilet ble analysert for metaller og PFAS, samt uorganisk arsen og metylkvikksølv. Brosme er mager fisk og akkumulerer lite organiske miljøgifter i fileten, men konsentrasjonene av organiske miljøgifter er høye i lever sammenlignet med andre torskefisk-arter som torsk og sei (Frantzen og Måge, 2016). Selv om lever antas å være lite brukt som mat, og Mattilsynet advarer mot å spise lever av selvfanget fisk tatt i kystområdene (Ikke spis fiskelever fra selvfangst | Mattilsynet), kan disse målingene gi en indikasjon på forurensningsnivået i de ulike områdene. Lever av et begrenset antall brosmer fra hver lokalitet ble derfor analysert for dioksiner, dioksinlignende PCB og polybromerte difenyletere (PBDE).


1.4 - Forkortelser

AB – Arsenobetain
AC – Arsenokolin
Ag – Sølv
As – Arsen
Cd – Kadmium
cm – centimeter
Co – Kobolt
Cr – Krom
Cu – Kobber
dl-PCB – Dioksinlignende polyklorerte bifenyler (summen av mono-orto og non-orto PCB)
DMA - Dimetylarsinat
EFSA – European Food Safety Authority EFSA | Trusted science for safe food (europa.eu)
EU – European Union
Fe – jern
FOSA – Perfluoroktylsulfonamid
g – gram
GC-MS – Gasskromatografi-massespektrometri
GC-MS/MS – Gasskromatografi-dobbelt massespektrometri
GC-ICPMS - Gasskromatografi- Induktivt koblet masse-plasma spektrometri
HBCD - Heksabromsyklodekan
Hg – Kvikksølv
HI – Havforskningsinstituttet
HPLC-ICPMS – Væskekromatografi - Induktivt koblet masse-plasma spektrometri
HRGC-HRMS – Høyoppløsende gasskromatografi – høyoppløsende massespektrometri
ICP-MS – Induktivt koblet masse-plasma spektrometri
kg – kilogram
LC-MS/MS – Væskekromatografi med kvadrupol massespektrometri
LC-QQQ - Væskekromatografi med trippel kvadrupol MS/MS
LB – Lowerbound: Ved konsentrasjoner under LOQ settes verdien lik 0
LOQ – Kvantifiseringsgrense. Den laveste konsentrasjonen av et stoff som en analysemetode kan måle med en gitt måleusikkerhet
MeHg - Metylkvikksølv
mg – milligram
µg – mikrogram
MMHg - Monometylkvikksølv
Mn – Mangan
Mo – Molybden
mo-PCB – mono-orto PCB
MU – måleusikkerhet
ng – nanogram
Ni – Nikkel
no-PCB – non-orto PCB
NVG-sild – Norsk vårgytende sild
Pb – Bly
PBDE – Polybromerte difenyletere; PBDE7 – Sum av syv PBDE (PBDE-28, -47, -99, -100,- 153, -154 og -183)
PCB – Polyklorerte bifenyler
PCB6 – Sum av seks ikke-dioksinlignende PCB (PCB-28, -52, 101, -138, -153 og -180)
PCB7 – Sum av syv PCB; PCB6 + PCB-118
PCDD – Polyklorerte dibenzodioksiner (dioksiner)
PCDF – Polyklorerte dibenzofuraner (furaner)
PCDD/F – Sum av PCDD og PCDF
PCDD/F+dl-PCB – Sum av PCDD/F og dl-PCB
PFAS – Per- og polyfluorerte alkylstoffer
PFBA - Perfluorbutylkarboksylsyre
PFBS - Perfluorbutylsylfonsyre
PFDA – Perfluordekylkarboksylsyre
PFDS – Perfluordekylsulfonsyre
PFDoDA – Perfluordodekylkarboksylsyre
PFDoDS – Perfluordodekylsulfonsyre
PFHpA - Prefluorheptylkarboksylsyre
PFHpS - Prefluorheptylsulfonsyre
PFHxA - Perfluorheksylkarboksylsyre
PFHxDA - Perfluorheksadekylkarboksylsyre 
PFHxS – Perfluorheksansulfonsyre
PFOA – Perfluoroktylkarboksylsyre
PFOS – Perfluoroktylsulfonsyre
PFNA - Perfluornonylkarboksylsyre
PFNS - Perfluornonylsulfonsyre
PFPeA - Perfluorpentylkarboksylsyre
PFPeS - Perfluorpentylsulfonsyre
PFTeDA – Perfluortetradekylkarboksylsyre
PFTrDA – Perfluortridekylkarboksylsyre
PFUnDA – Perfluorundekylkarboksylsyre
PFUnDS – Perfluorundekylsulfonsyre
SD – Standard deviation – standardavvik
SRM - Sertifisert referansemateriale
TAs – Totalarsen
TBBP-A – Tetrabrombisfenol A
TE – Toksiske ekvivalenter; engelsk TEQ – Toxic equivalents
TEF – Toksiske ekvivalensfaktorer
TETRA – Tetrametylarsoniumion
TMAO – Trimetylarsenoksid
TMAP - Trimetylarsoniopropianat
TWI – Tolerabelt ukentlig inntak
UAs – Uorganisk arsen
UB – Upperbound: Ved konsentrasjoner under LOQ settes verdien lik LOQ
ULOQ – Upper limit of quantification
VKM – Vitenskapskomiteen for mat og miljø - Vitenskapskomiteen for mat og miljø (vkm.no)
vv – våtvekt
Zn – Sink

2 - Materiale og metoder

2.1 - Prøvetaking kontrollprogrammet

Inspektører fra Mattilsynet tok ut prøver på kommersielle fiskemottak langs hele kysten i henhold til instruks og plan for prøvetaking utarbeidet av Mattilsynet seksjon for kjemisk mattrygghet i samarbeid med HI.

Oversikt over hvilke arter og antall prøver som var planlagt å tas ut, samt antall som faktisk ble tatt ut, i hver av de tre regionene region Nord, region Midt og region Sør og Vest, er vist i Tabell 1.

  Region Nord Region Midt Region Sør og vest Alle regioner
  I plan Uttatt I plan Uttatt I plan Uttatt I plan Uttatt
Makrell 10 8 10 15 22 24 42 47
Sild 14 15 14 16 14 16 42 47
Torsk 12 10 12 6 6 5 30 21
Hyse 12 11 12 7 6 3 30 21
Atlantisk kveite 8 8 8 5 3 0 19 13
Brosme 8 6 8 10 8 4 24 20
Brisling         9 3 9 3
Blåkveite   1           1
Berggylt           1   1
Breiflabb           3   3
Lange   2   1   2   5
Lyr       1       1
Rognkjeks           1   1
Sei   2   5   3   10
Uer       1       1
Totalt 64 63 64 67 68 65 196 195
Tabell 1. Kontrollprogrammet for villfisk, 2024. Planlagt antall prøver per art og region, og det faktiske antallet prøver som ble tatt ut.

Hver prøve tatt ut i kontrollprogrammet besto av en samleprøve med prøvemateriale av muskelvev fra mellom tre og ti fisk. Antall prøver som er påkrevd i samleprøven, avhenger av størrelsen på det gjeldende partiet. Fra hver fisk ble det skåret ut et snitt (tilsvarende NQC hos laks) fra den midterste delen av fisken, i henhold til en gitt protokoll. For mindre fisk som mindre sild og makrell, ble hel sløyet fisk tatt ut. Inspektørene registrerte mål og vekt på fisken før de tok ut prøven. Prøver av atlantisk kveite besto ofte av materiale fra bare én fisk. For større kveite var instruksen at det kunne tas prøve lengst foran og bak på fisken. For brisling skulle det tas hel fisk, her ble det i to tilfeller tatt hel fisk og i ett tilfelle filet.

I prøvemottaket på HI ble prøven registrert i LIMS med medfølgende informasjon om prøveuttak, prøvens opprinnelse og vekt og lengde på fisken i samleprøven. Alt skinnfritt muskelvev fra hver fisk ble så dissekert ut, og deretter ble alt prøvemateriale som tilhørte en samleprøve samlet sammen og homogenisert, frysetørket og malt opp til et fint pulver. Deretter ble prøvematerialet fordelt til de ulike analysene.

Alle prøvene tatt ut i kontrollprogrammet ble analysert for metaller (kvikksølv, kadmium, bly, arsen m.fl.) og PFAS, mens bare de fete fiskeartene brisling, makrell, sild, atlantisk kveite og blåkveite, samt noen arter som ble tatt istedenfor kveite (breiflabb, uer, blåkveite, berggylt og rognkjeks), ble analysert for de fettløselige dioksiner og dioksinlignende PCB samt ikke-dioksinlignende PCB.

2.2 - Kartlegging - miljøgifter uten grenseverdi

Alle prøvene tatt ut i kontrollprogrammet ble analysert for uorganisk arsen i tillegg til totalarsen analysert sammen med kvikksølv, kadmium og bly. Prøver av kveite, torsk, hyse, sild og makrell ble i tillegg analysert for vannløselige organiske arsenformer med en ny metode utviklet ved HI. De fete/halvfete fiskeartene (brisling, sild, makrell, kveite, blåkveite), ble analysert for HBCD og TBBP-A ved underleverandør Eurofins. For bestemmelse av organisk arsen i sild og makrell, ble vått homogenisert prøvemateriale analysert, mens frysetørket materiale ble benyttet til analysen for de andre artene.

2.3 - Kartlegging - miljøgifter i brosme (og lange) fra fjorder

For å undersøke innholdet av miljøgifter i brosme fra Nordfjord, Storfjorden og Romsdalsfjorden, ble det planlagt å ta 25 brosmer fra to stasjoner i Romsdalsfjorden samt tre stasjoner i henholdsvis Storfjorden og Nordfjord, fordelt på indre og ytre deler av fjordsystemene. I praksis ble det tatt prøver fra to stasjoner i Romsdalsfjorden, tre i Nordfjord og fire ulike stasjoner i Storfjorden (Figur 1; Tabell 2).

På de fleste stedene ble fisket gjennomført av kystfisker Atle Geir Teige med «Delfin» og han fikk brosme i Nordfjord, Romsdalsfjorden og ved lokaliteten S1 Ytre Storfjorden. Fisket med line ble gjennomført i perioden 6. til 18. juli, og Nils Roar Hareide og Ørjan Sørstrønen Vabø ved Runde miljøsenter koordinerte arbeidet, tok imot og fryste fisken og sendte den frosne fisken til Bergen. I indre deler av Storfjorden (stasjon S2-S4) ble prøvene tatt av fisker Geir Egil Smenes med «Storseisund». Dette fisket med line ble gjennomført 28. juni, og han frøs selv ned og sendte fisken til Bergen.

Posisjonene hvor prøvene ble tatt er vist i Figur 1, og en oversikt over alle prøvene er gitt i Tabell 2. I Romsdalsfjorden og indre Storfjord ble det i tillegg til brosme tatt noen langer. 

Til sammen ble det tatt prøver av 165 fisk, hvorav 154 brosmer og 11 langer.

All fisken ble frosset hel før den ble sendt til HI i Bergen. I prøvemottaket ble fisken tint, og lengde og vekt ble bestemt. Deretter ble fisken åpnet opp og sløyd, og lever fra omtrent halvparten av fiskene ble homogenisert. Fisken ble deretter filetert, og skinnfri filet fra den ene siden av hver fisk ble homogenisert og frysetørket, og tørrstoffinnholdet ble bestemt.

Filet av hver enkelt brosme ble analysert for fettinnhold, metaller, metylkvikksølv, uorganisk arsen og PFAS, til sammen 154 prøver. Leverprøver fra til sammen 77 brosmer ble analysert for fettinnhold, dioksiner, PCB og PBDE. Filet av de 11 langene ble analysert for fettinnhold, metaller og metylkvikksølv, men ikke for uorganisk arsen eller PFAS, og det ble ikke tatt leverprøver av langene.

Kart som viser prøvetakingsposisjonene for kartleggingsprogrammet for bestemmelse av miljøgifter i brosme og noen langer i 2024.
Figur 1. Kart som viser prøvetakingsposisjonene for kartleggingsprogrammet for bestemmelse av miljøgifter i brosme og noen langer i 2024.
  Brosme   Lange
Lokalitet Antall fisk Antall lever Antall fisk
R1 Ytre Romsdalsfjord 25 12  
R2 Indre Romsdalsfjord 18 12 2
Romsdalsfjorden, tot 43 24 2
S1 Ytre Storfjord 25 8  
S2 Storfjorden, Vaksvika 9 6 2
S3 Storfjorden, Stordalsfluda 16 8 4
S4 Storfjorden, Liabygda 13 7 3
Storfjorden, tot 63 29 9
N1 Nordfjord, Totland 23 8  
N2 Nordfjord Stårheim 17 8  
N3 Nordfjord Anda 8 8  
Nordfjord, tot 48 24  
Til sammen 154 77 11

Tabell 2. Oversikt over de ulike lokalitetene i Romsdalsfjorden, Storfjorden og Nordfjord, der det ble tatt prøver av brosme og lange til kartlegging av miljøgifter. Antall prøver tatt ved hver lokalitet er vist for henholdsvis brosme og lange, og for brosme er det også vist hvor mange leverprøver som ble tatt ut til analyse for dioksiner, PCB og PBDE. Det ble ikke tatt ut leverprøver av lange.


2.4 - Kjemisk analyse

Med unntak av analysene for HBCD og TBBP-A som ble utført ved Eurofins, ble alle analysene gjennomført ved HIs laboratorier, og de aller fleste analysene som er utført i prosjektet er akkreditert i henhold til ISO 17025. HI er Nasjonalt referanselaboratorium innen en rekke fagområder, deriblant metaller og persistente organiske miljøgifter (POPs), og deltar årlig på møter i regi av de Europeiske referanselaboratoriene (EURL). Alle metoder som benyttes er kvalitetssikret gjennom valideringsprosedyrer og deltakelse i ringtester, og for mange metoder også ved analyse av sertifiserte referansematerialer (SRM). En oversikt over de kjemiske analysene utført i dette prosjektet, med metodenummer, navn og akkrediteringsstatus, er gitt i Tabell 3.

2.4.1 - Tørrstoffinnhold ved frysetørking (metode 377)

Tørrstoffbestemmelse ble gjort ved å veie prøvene før og etter frysetørking. De fleste kjemiske analysene ble gjort på frysetørket materiale og deretter regnet tilbake til våtvekt ved hjelp av tørrstoffinnholdet. Unntakene var analyser av leverprøver, samt analyse av sild og makrell for organisk arsen, som ble utført på vått homogenisert prøvemateriale. Frysetørkmetoden er akkreditert for næringsmidler og fiskefor.

2.4.2 - Fettbestemmelse, 30 % isopropanol i etylacetat (metode 091)

Prøver som skulle analyseres for fettløselige organiske miljøgifter (samleprøver av filet og lever) ble analysert for fettinnhold. Våte, homogeniserte prøver ble ekstrahert med 30 % isopropanol i etylacetat. Ekstraksjonsmiddelet ble dampet av og fettet veid. Metoden definerer «fett» som den fraksjon som er løselig i 30 % isopropanol i etylacetat, primært upolare lipider. Metoden er akkreditert i henhold til ISO 17025. Kvantifiseringsgrense og måleusikkerhet er gitt i Tabell 4.

2.4.3 - Multielementanalyse (metode 197)

Metaller i fiskemuskel ble bestemt ved ICP-MS etter nedbryting i mikrobølgeovn som beskrevet av Julshamn m.fl. (2007). Følgende grunnstoffer ble kvantifisert: arsen, kadmium, kvikksølv, bly, sølv, kobber, jern, kobolt, sink, selen, mangan, vanadium, molybden, krom og nikkel. Metoden er akkreditert for kobber, sink, arsen, kadmium, kvikksølv, bly og selen. Kvantifiseringsgrenser er beregnet på tørr prøve for hvert av grunnstoffene, og LOQ og måleusikkerhet for de akkrediterte stoffene er gitt i Tabell 4. Riktigheten til metoden ble sikret ved analyse av SRM.

2.4.4 - Uorganisk arsen ved HPLC-ICPMS (metode 261)

Konsentrasjon av uorganisk arsen ble bestemt ved bruk av HPLC-ICPMS. Frysetørket prøve ble tilsatt 0,1 M HNO3  i 3 % H2O2 og ekstrahert i vannbad ved 90 °C i 1 time. Uorganisk arsen består av arsenitt As(III) og arsenat As(V), og måles som summen av disse i den ekstraherte prøven ved å benytte anionbytter HPLC koblet til ICPMS. Konsentrasjonen av uorganisk arsen ble bestemt ved hjelp av ekstern standardkurve.

Metode 261 er basert på NS 16802:2016, og er akkreditert for marint biologisk vev og fôr. Metodens LOQ og måleusikkerhet er gitt i Tabell 4. For å sikre riktigheten til metoden ble det analysert SRM BCR-627 (tunfisk-muskelvev).

Tall på total mengde arsen (totalarsen) fås gjennom metode 197, og andelen uorganisk arsen av totalarsen ble beregnet og angitt i prosent.

2.4.5 - Organisk arsen med HPLC-ICPMS (kationbyttet) (metode 649)

Organiske vannløselige arsenforbindelser ble bestemt ved bruk av HPLC-ICPMS. De organiske arsenforbindelsene ble ekstraherert fra prøven ved å tilsette en løsning av metanol/vann, satt på vannbad i 30 minutter, før ekstraktene ble filtrert og fortynnet og analysert med ionebytter-HPLC-ICPMS. De organiske arsenforbindelsene (spesiene) ble separert ved bruk av kationbytterkromatografi, der kationiske forbindelser separeres ved deres bindinger til ladde ioner på stasjonærfasen. Kvantifisering av arsenforbindelsene ble utført ved bruk av eksterne kalibreringskurver av forbindelsene.

Metode 649 er ikke akkreditert, men validert og er basert på en metode utarbeidet ved HI av Tibon m.fl. (2021). Metoden er validert for bestemmelse av de kation-organiske arsenforbindelsene arsenobetain (AB), dimetylarsinat (DMA), trimetylarsinoksid (TMAO), arsenokolin (AC) og tetrametylarsoniumion (TETRA) i marint biologisk vev og fôr. 

Riktighet for metoden er 94 til 107 % basert på analyse av SRM BCR-627 (tunfisk-muskelvev). Metoden har blitt validert for TMAP, men ekstrapolert ved bruk av DMA som standard da det ikke finnes kommersiell standard av forbindelsen. Riktighet for TMAP er derfor basert på Tibon m.fl. (2021).

LOQ og måleusikkerhet for de ulike arsenforbindelsene som bestemmes er gitt i Tabell 4.

2.4.6 - Metyl- og totalkvikksølvbestemmelse ved GC-ICPMS (metode 390)

Metylkvikksølv ble bestemt ved bruk av isotopfortynning og GC-ICPMS. Prøven ble tilsatt isotopanriket spikeløsning av henholdsvis metylkvikksølv og uorganisk kvikksølv (199Hg og 201MMHg), og ekstrahert med tetrametylammoniumhydroksid på rotator. Løsningen ble pH-justert, tilsatt derivatiseringsreagens og derivatiserte kvikksølvforbindelser ble ekstrahert over i heksan. Heksanekstraktet ble analysert på GC-ICPMS og kvantifisert ved hjelp av isotopfortynning.

Metoden er basert på NS 16801:2016 og NMKL 202, og er akkreditert for sjømat, sjømatprodukter og fôr. For å sikre riktighet av metoden, ble SRM analysert.

Resultatet gis ut som metylkvikksølv og totalkvikksølv (sum av metylkvikksølv og uorganisk kvikksølv). Måleområde og måleusikkerhet for metylkvikksølv og totalkvikksølv ved to ulike konsentrasjonsnivåer er gitt i Tabell 4.

2.4.7 - PFAS med LC-MS/MS (metode 349)

Per- og polyfluorerte forbindelser (PFAS) ble bestemt ved bruk av LC-MS/MS. Innveid prøvemengde ble tilsatt merkede internstandarder og metanol og ekstrahert i ultralydbad. Etter sentrifugering ble supernatanten dekantert over i en sprøyte og filtrert gjennom 0,45 µm nylonfilter før vann ble tilsatt etterfulgt av opprensing på ASPEC. Prøvene ble tilsatt gjenvinningsstandard og til slutt analysert på LC-HRMS (Orbitrap-MS, Exploris 120, Thermo Scientific) eller LC-QQQ (MS/MS, 6495, Agilent Tehcnologies). Kvantifisering ble gjort ved hjelp av massemerkete internstandarder og analyttene rapportert som anioner. Tabell 5 viser forbindelsene som kan kvantifiseres med metoden.

Metoden bestemmer 22 ulike PFAS-forbindelser og sum PFAS4, og er akkreditert for PFOS, PFOA, PFNA og PFHxS og summen av disse fire (Sum PFAS4). De øvrige analyttene er uakkreditert, men validert. Bruken av to ulike instrumenter (LC-HRMS og LC-QQQ) gir ulik LOQ for de fleste analyttene, som vist i Tabell 5. LOQ for de akkrediterte forbindelsene var alle lavere enn grenseverdiene som gjelder for disse forbindelsene.

Riktighet ble vurdert i valideringen ved å analysere prøver tilsatt kjent mengde av analyttene. Riktighet ble beregnet som prosentvis gjenfinning av tilsatt mengde og er godkjent for den enkelte analytt for konsentrasjoner mellom LOQ og ULOQ (nedre og øvre kvantifiseringsgrense) for hvert av analyseinstrumentene. Riktighet ble også vurdert ut fra analyse av SRM IRMM-427 (fish tissue) fra Joint Research Centre (JRC) og analyse av to ringtestprøver fra QUASIMEME, hhv. «bream tissue» og «mussel tissue». Analyse av SRM og ringtestmateriale viste tilfredsstillende resultat for begge analyseinstrumentene.

Presisjon er beregnet som intern reproduserbarhet i spikeforsøk for de ulike matrisegruppene. Krav til presisjon er oppfylt for alle analytt-/matrisekombinasjoner innenfor det fastsatte måleområdet for hvert av instrumentene.

I dette prosjektet ble alle brosmeprøvene fra kartleggingen analysert med samme instrument, LC-QQQ, for å kunne sammenligne resultatene. Prøvene fra kontrollprogrammet ble analysert med enten LC-HRMS eller LC-QQQ, da hovedformålet var å kontrollere at prøvene var innenfor grenseverdiene. LOQ og måleusikkerhet for hver av de analyserte PFAS-forbindelsene på hvert av de to instrumentene er gitt i Tabell 5.

2.4.8 - Dioksiner, PCB og PBDE (metode 292)

Filet- og leverprøver ble ekstrahert, renset og analysert for dioksiner og furaner, PCB og PBDE. PCDD, PCDF og non-orto PCB ble bestemt på HRGC-HRMS og mono-orto PCB, PCB6 og PBDE ble bestemt på GC-MSMS. Alle konsentrasjoner ble beregnet ved hjelp av isotopfortynning og intern standard. Metoden kvantifiserer ti ulike kongenere av PBDE, inkludert syv kongenere som summeres til en sum PBDE7 (PBDE-28, 47, 99, 100, 153, 154 og 183). I tillegg kvantifiseres PBDE-66, 119, og 138. Metoden kvantifiserer også seks ikke-dioksinlignende PCB, PCB6 (PCB-28, 52, 101, 138, 153 og 180). Videre kvantifiserer metoden syv ulike dioksiner, ti furaner, fire non-orto PCB og åtte mono-orto PCB. For dioksiner, furaner og dioksinlignende PCB ble toksiske ekvivalentverdier (TE), beregnet ved å multiplisere konsentrasjonene med kongenernes toksiske ekvivalensfaktorer (TEF-2005) (Van den Berg m.fl., 2006). Beregningen av kongenersummer blir utført etter en "upper bound" prosedyre, hvor konsentrasjoner av kongenere under LOQ blir satt lik LOQ. Metoden er akkreditert i henhold til ISO 17025:2017, og analysekvaliteten overvåkes jevnlig ved deltakelse i ringtester og ved analyse av sertifiserte prøver. Kvantifiseringsgrenser og måleusikkerhet for de ulike stoffgruppene er oppgitt i Tabell 4.

2.4.9 - HBCD og TBBP-A (Eurofins metode nr. GFB71 og GFB86)

Heksabromcyclodekan (HBCD) ble bestemt på vått materiale hos underleverandør Eurofins med LC-MS/MS. Tre ulike HBCD-kongenere ble bestemt, α-HCBD, β-HBCD og γ-HBCD, samt lowerbound-summen av disse. Tetrabrombisfenol-A (TBBP-A) ble også bestemt hos Eurofins med LC-MS/MS. Kvantifiseringsgrenser og måleusikkerhet for de ulike analyttene er gitt i Tabell 4.


2.4.10 - Tabeller over analyser utført samt akkrediteringsstatus

Metodenr. Metodenavn Akkrediterte parametere Akkrediterte matrikser
197 Multi-element bestemmelse med ICP-MS As, Cd, Cu, Hg, Pb, Se, Zn Næringsmidler, fôr, vev og vevsvæsker
292 Felles ekstraksjonsmetode og analyse på GC-MS/MS (PBDE og mono-ortho PCB) og HRGC-HRMS (dioksiner, furaner, non-ortho PCB)  PBDE-28, 47, 99, 100, 153, 154, 183 PCB-28, 52, 101, 138, 153, 180
Mono-ortho PCBer, non-ortho, PCBer,  PCDFer,  PCDDer
Fisk, fiskeprodukter, olje, bivalver og fôr.
349 Bestemmelse av PFAS med LC-MS/MS PFOS, PFOA, PFNA, PFHxS, sum PFAS4 Fet og mager fisk og fiskelever
377 Tørrstoffbestemmelse ved frysetørking Tørrstoff Næringsmidler, fôr, vev og vevsvæsker
91 Fettbestemmelse med 30 % isopropanol i etylacetat Totalfett Næringsmidler, fôr, vev og vevsvæsker
261 Uorganisk arsen ved HPLC-ICPMS Uorganisk As Marint biologisk vev og fôr
390 Metyl- og totalkvikksølv-bestemmelse, GC-ICPMS MeHg, THg Sjømat, sjømatprodukter og fiskefôr
649 Organisk arsen Ikke akkreditert Ikke akkreditert
Eurofins GFB71 Heksabromsyklodekan (3 HBCD) Alpha-HBCD,  beta-HBCD, 
gamma-HBCD
Fiskeoljer, -mel, -fôr og --filet
Eurofins GBP86 Tetrabrombisfenol A (TBBPA) Tetrabrombisfenol-A (TBBPA) Fiskeoljer, -mel, -fôr og -filet

Tabell 3. Analyser utført med informasjon om hvilke parametere og matriser de er akkreditert for.

Analytt

Instrumentering/Metode

Akkreditering

LOQ

MU (%)

Arsen

ICP-MS

Ja

0,01 mg/kg tv

20a)

Kadmium

ICP-MS

Ja

0,005 mg/kg tv

20a)

Kvikksølv

ICP-MS

Ja

0,005 mg/kg tv

25a)

Bly

ICP-MS

Ja

0,03 mg/kg tv

25a)

Kobber

ICP-MS

Ja

0,1 mg/kg tv

25a)

Sink

ICP-MS

Ja

0,5 mg/kg tv

20a)

Selen

ICP-MS

Ja

0,01 mg/kg tv

25a)

Jern

ICP-MS

Nei

0,5 mg/kg tv

25a)

Kobolt

ICP-MS

Nei

0,02 mg/kg tv

20a)

Mangan

ICP-MS

Nei

0,03 mg/kg tv

20a)

Molybden

ICP-MS

Nei

0,1 mg/kg tv

20a)

Nikkel

ICP-MS

Nei

0,3 mg/kg tv

40

Krom

ICP-MS

Nei

0,03 mg/kg tv

40

Sølv

ICP-MS

Nei

0,01 mg/kg tv

25a)

Vanadium

ICP-MS

Nei

0,005 mg/kg tv

20a)

Uorganisk arsen

GC-ICPMS

Ja

0,0022 mg/kg tv

15-25

Dimetylarsinat (DMA)

HPLC-ICPMS (kationbyttet)

Nei

0,0073 mg/kg tv

20

Arsenobetain (AB)

HPLC-ICPMS (kationbyttet)

Nei

0,01 mg/kg tv

20

Trimetylarsinoksid (TMAO)

HPLC-ICPMS (kationbyttet)

Nei

0,004 mg/kg tv

40

Asenokolin (AC)

HPLC-ICPMS (kationbyttet)

Nei

0,008 mg/kg tv

15-25

Tetrametylarsoniumion (TETRA)

HPLC-ICPMS (kationbyttet)

Nei

0,009 mg/kg tv

15-25

Metylkvikksølv

GC-ICPMS

Ja

0,003 mg/kg tv

25-35b)

Totalkvikksølv (MeHg + Uorg.Hg)

GC-ICPMS

Ja

0,006 mg/kg tv

25-45c)

PCDDs and PCDFs

HRGC/HRMS

Ja

0,008-0,4 pg/g vve)

20-35d)

Non-ortho PCBs

HRGC/HRMS

Ja

0,008-0,4 pg/g vve)

25-40d)

Mono-ortho PCBs

GC-MSMS

Ja

10 pg/g vvg)

30-50e)

PCB6

GC-MSMS

Ja

0,03 ng/g vvg)

30

PBDE7

GC-MSMS

Ja

0,002-0,013 ng/g vve)

30-50e)

Tørrstoffinnhold

Frysetørking

Ja

2 g/100 g

10-35f)

Fettinnhold

Gravimetri-etylacetat og isopropanol

Ja

0,1 g/100 g oil

5-12f)

HBCD α-, β-, γ-

LC-MS/MS

Ja

0,006 pg/g vv

40

TBBP-A

LC-MS/MS

Ja

0,1 ng/g vv

40


Tabell 4. Oversikt over uønskede stoffer inkludert, metoder som er benyttet, akkrediteringsstatus, kvantifiseringsgrenser (LOQ) og måleusikkerhet (MU).

a) Måleusikkerhet (MU) ved kons. >10xLOQ. For lavere kons.er MU 70% for Hg og 40 % for andre gr.stoff
b) Opp til 0,03 mg/kg: 35 % – høyere 25 %
c) Opp til 0,08 mg/kg: 45 % - høyere 25 %
d) Avhengig av konsentrasjonsnivå (for hver kongener)
e) Avhengig av analytt (kongener)
f)  Avhengig av konsentrasjonenivå
g) For fet fisk

Analytt

LOQ (µg/kg)

MU (%)

Akkreditering

 

HRMS

QQQ

HRMS

QQQ

HRMS

QQQ

Perfluorbutylkarboksylsyre PFBA

1,0

5,0*

30-50

40

nei

nei

Perfluorpentylkarboksylsyre PFPeA

0,50

0,20*

30-40

50

nei

nei

Perfluorheksylkarboksylsyre PFHxA

0,50

1,0

20-40

40

nei

nei

Perfluorheptylkarboksylsyre PFHpA

0,20

0,20

20-40

30

nei

nei

Perfluoroktylkarboksylsyre PFOA

0,20

0,10

20-40

30

ja

ja

Perfluornonylkarboksylsyre PFNA

0,50

0,10

20-40

30

ja

ja

Perfluordekylkarboksylsyre PFDA

0,10

0,10

20-50

30-40

nei

nei

Perfluorundekylkarboksylsyre PFUnDA

0,20

1,0

20-40

30

nei

nei

Perfluordodekylkarboksylsyre PFDoDA

0,50

0,10

40-50

40

nei

nei

Perfluortridekylkarboksylsyre PFTrDA

0,50

1,0

40-50

40

nei

nei

Perfluortetradekyl karboksylsyre PFTeDA

0,50

0,10

40-50

40

nei

nei

Perfluorheksadekylkarboksylsyre PFHxDA

1,0

0,10

40-50

30-40

nei

nei

Perfluorbutylsulfonsyre PFBS

0,10

0,10

20-50

30

nei

nei

Perfluorpentylsulfonsyre PFPeS

0,10

0,10

40-50

30

nei

nei

Perfluorheksylsulfonsyre PFHxS

0,10

0,10

20-40

30

ja

ja

Perfluorheptylsulfonsyre PFHpS

0,10

1,0

30-40

40

nei

nei

Perfluoroktylsulfonsyre PFOS

0,10

0,20

20-40

40

ja

ja

Perfluornonylsulfonsyre PFNS

0,10

0,10

20-40

30

nei

nei

Perfluordekylsulfonsyre PFDS

0,10

0,10

20-40

40

nei

nei

Perfluorundekylsulfonsyre PFUnDS

0,20

0,10

20-40

30

nei

nei

Perfluordodekylsulfonsyre PFDoDS

0,50

0,10

20-40

30

nei

nei

Perfluoroktylsulfonamid FOSA

0,50

0,10

20-40

40

nei

nei

Tabell 5. PFAS-metoden. Kvantifiseringsgrenser (LOQ, µg/kg) og måleusikkerhet (MU) for hver PFAS-analytt ved analyse av fiskemuskel på de to instrumentene LC-HRMS og LC-QQQ-MS.

* Screening deteksjonsgrense. Funn over grensen må bekreftes på LC-HRMS

3 - Resultater og diskusjon

3.1 - Kontrollprogrammet

3.1.1 - Kvikksølv, kadmium og bly

Nivået av kvikksølv i samleprøvene tatt ut i kontrollprogrammet varierte fra 0,012 til 0,71 mg/kg våtvekt, med lavest konsentrasjon i en prøve av hyse tatt ut i region Nord, og høyest i en prøve av brosme tatt ut i region Sør og Vest (Tabell 6, Tabell 23). To prøver hadde et kvikksølvnivå over grenseverdien på 0,5 mg/kg våtvekt. Det var én prøve av brosme (tre fisk) tatt ut hos Nordhordaland Fisk i Kalvåg, fisket i område 28/04 i juni 2024, og én prøve av lange (fem fisk) tatt ut hos Brimo fiskeforedling AS, fisket på grensen mellom Meløy og Gildeskål i Nordland i november 2024. De tre brosmene var ikke spesielt store, mens de fem langene var svært store, i gjennomsnitt 1,08 meter og 10,3 kg.

Alle andre prøver var godt under de respektive grenseverdiene som gjelder for kvikksølv, og også under den laveste grenseverdien som gjelder for mange av artene, på 0,3 mg/kg.

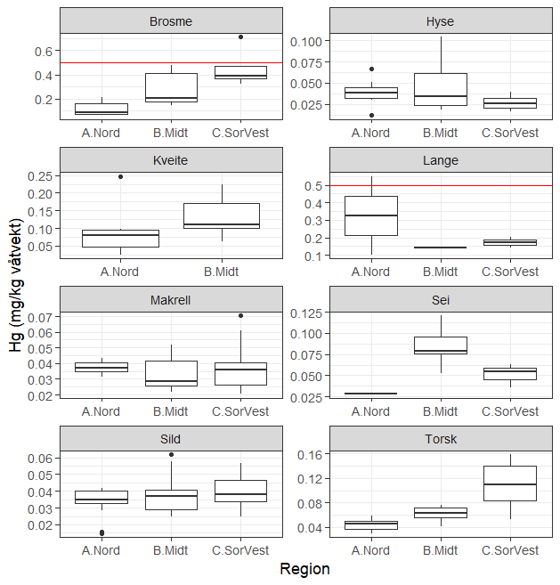
Breiflabb var arten med høyest median kvikksølvkonsentrasjon, 0,22 mg/kg våtvekt, fulgt av brosme med 0,20 mg/kg og lange med 0,14 mg/kg (Tabell 6, Figur 2). Brosme hadde størst spredning i kvikksølvkonsentrasjon (Figur 2). Av artene som det ble tatt mer enn én prøve av, hadde brisling, makrell og sild de laveste gjennomsnittlige kvikksølvkonsentrasjonene. Kvikksølvnivået var svært lavt både i prøven av blåkveite og i prøven av rognkjeks (Tabell 5).

Sammenlignet med tilgjengelige data på kvikksølv i ulike fiskearter, stemmer resultatene på kvikksølv i de undersøkte fiskeartene godt (Frantzen and Maage, 2016; Kögel m.fl., 2021; Nilsen m.fl., 2012, 2013;

Hg (mg/kg våtvekt)                  
Art N Gjennomsnitt SD min maks median Q25 Q75 Grenseverdi
Atlantisk kveite 13 0,11 0,069 0,024 0,25 0,094 0,062 0,11 1,0
Atlantisk torsk 21 0,065 0,034 0,030 0,16 0,055 0,043 0,072 0,3
Brosme 20 0,27 0,17 0,061 0,71 0,20 0,15 0,39 0,5
Hyse 21 0,040 0,021 0,012 0,10 0,037 0,028 0,049 0,3
Lange 5 0,23 0,18 0,10 0,55 0,14 0,14 0,20 0,5
Makrell 47 0,036 0,011 0,020 0,071 0,035 0,027 0,042 0,3
Sei 10 0,063 0,030 0,028 0,12 0,059 0,035 0,078 0,3
Sild 47 0,037 0,010 0,015 0,062 0,036 0,032 0,041 0,3
Breiflabb 3 0,23 0,058 0,17 0,29 0,22 0,17 0,29 0,5
Brisling 3 0,030 0,021 0,017 0,054 0,020 0,017 0,054 0,3
Berggylt 1 0,15             0,5
Blåkveite 1 0,021             0,5
Lyr 1 0,077             0,3
Rognkjeks 1 0,033             0,5
Uer 1 0,20             0,5
Alle artene 195 0,078 0,099 0,012 0,71 0,041 0,033 0,073  

Tabell 6. Kvikksølvkonsentrasjon (mg/kg våtvekt) i de ulike fiskeartene. Antall prøver (N), gjennomsnitt, standardavvik (SD) minste (min) og største verdi (maks), median samt nedre og øvre kvartil (Q25 og Q75) er vist.


 

Boksplott som viser kvikksølvkonsentrasjon i samleprøver av fiskemuskel av ulike arter tatt ut i kontrollprogrammet for villfisk i 2024. Boksplottet viser median, kvartiler, minste og største verdi. Prikkene markerer uteliggere. Rød og blå linje markerer grenseverdiene på 0,5 mg/kg (brosme, lange og breiflabb) og 0,3 mg/kg (torsk, sei, hyse, sild, makrell, brisling). Grenseverdien på 1,0 som kun gjelder kveite her, er utenfor skalaen. Arter det bare ble tatt én prøve av, er ikke tatt med i figuren.
Figur 2. Kvikksølvkonsentrasjon i samleprøver av fiskemuskel av ulike arter tatt ut i kontrollprogrammet for villfisk i 2024. Boksplottet viser median, kvartiler, minste og største verdi. Prikkene markerer uteliggere. Rød og blå linje markerer grenseverdiene på 0,5 mg/kg (brosme, lange og breiflabb) og 0,3 mg/kg (torsk, sei, hyse, sild, makrell, brisling). Grenseverdien på 1,0 som kun gjelder kveite her, er utenfor skalaen. Arter det bare ble tatt én prøve av, er ikke tatt med i figuren.

Frantzen m.fl., 2015, 2020, 2024a; Julshamn m.fl., 2011, 2013a,b; Nilsen og Måge, 2016; Sjømatdata | hi.no). Et av unntakene er atlantisk kveite, der kvikksølvkonsentrasjonene funnet i denne undersøkelsen er relativt lave sammenlignet med resultatene fra basisundersøkelsen og annen overvåkning (Nilsen m.fl., 2016, 2019a,b, 2020; Sjømatdata | hi.no). En mulig forklaring på dette kan være at kveitene tatt ut i dette kontrollprogrammet, var relativt små med gjennomsnittsstørrelser under 8 kg i alle prøvene så nær som én.

Figur 3 viser for hver art hvordan kvikksølvkonsentrasjonene varierte mellom regionene, for de artene som det ble tatt prøver av i mer enn en region. Det var en økning fra region Nord og sørover for brosme, kveite og torsk, mens for lange var det høyest mediankonsentrasjon i nord, med stor spredning. For sei var det høyest konsentrasjoner i region Midt og lavest i region Nord. For makrell, sild og hyse var det ingen klare forskjeller mellom regionene.

Noen av forskjellene, eller mangel på forskjeller, i kvikksølvnivå mellom regionene, kan skyldes ulik størrelse på fisken. Kvikksølvkonsentrasjon øker ofte med fiskens alder og størrelse fordi kvikksølv akkumuleres over tid. I Figur 4 er kvikksølvkonsentrasjon plottet mot gjennomsnittsvekt for hver art og hver region. Ofte varierer størrelsen på fisken innenfor en art mye mellom regionene. For eksempel var seien i prøvene størst i region Midt, middels i region Sør og Vest og minst i region Nord, i likhet med kvikksølvkonsentrasjonene. Størrelse var altså trolig årsaken til variasjonen mellom regionene i kvikksølvkonsentrasjon hos sei. Prøven av lange fra Nordland som hadde kvikksølvnivå over grenseverdi, hadde også svært stor gjennomsnittsvekt, mens alle de andre langeprøvene fra alle tre regioner hadde både mye mindre snittvekt og lavere kvikksølvnivå.


Kvikksølvkonsentrasjoner (mg/kg våtvekt) i fiskemuskel fra forskjellige regioner, per art. Boksplottene viser median, kvartiler og minste og største verdi utenom uteliggere, samt uteliggere. For brosme og lange markerer rød linje grenseverdien på 0,5 mg/kg våtvekt. For de øvrige artene faller grenseverdien utenfor skalaen.
Figur 3. Kvikksølvkonsentrasjoner (mg/kg våtvekt) i fiskemuskel fra forskjellige regioner, per art. Boksplottene viser median, kvartiler og minste og største verdi utenom uteliggere, samt uteliggere. For brosme og lange markerer rød linje grenseverdien på 0,5 mg/kg våtvekt. For de øvrige artene faller grenseverdien utenfor skalaen.

Forskjeller i størrelse kan imidlertid ikke forklare alle forskjeller i kvikksølvkonsentrasjoner mellom regionene. Kveite fra region Midt hadde klart høyere kvikksølvnivå enn kveite fra region Nord, selv om prøvene fra disse to regionene var innenfor samme størrelsesspekter. Også for torskeprøver tatt ut i region Sør og Vest, var det tydelig at disse hadde høyere kvikksølvnivå enn torsk fra Nord og Midt, uavhengig av størrelse. Og torsken fra region Midt var både mindre i størrelse og hadde høyere kvikksølvkonsentrasjoner enn torskeprøvene tatt ut i region Nord.

For sild fra region Sør og Vest, som i henhold til Figur 3 ikke hadde betydelig høyere kvikksølvkonsentrasjoner enn sild fra Midt og Nord, viser Figur 4 at kvikksølvnivået i prøvene tatt ut i region Sør og Vest, ved samme gjennomsnittsstørrelse var høyere enn i prøvene som var tatt ut i region Midt og Nord. Silden tatt ut i region Sør og Vest var trolig mest Nordsjøsild, mens de som var tatt ut i Midt og Nord sannsynligvis hovedsakelig var norsk vårgytende (NVG-) sild. Også for makrell var det antydning til at kvikksølvnivået var høyere i region Sør og Vest enn i region Midt og Nord, selv ved samme størrelse, men forskjellen var ikke like tydelig.

For brosme var det klart høyere kvikksølvnivå i prøver fra region Midt enn region Nord, uavhengig av størrelse. Brosme fra region Sør og Vest var generelt større og hadde høyere kvikksølvkonsentrasjoner enn brosme tatt ut lenger nord, men her var det ingen positiv sammenheng mellom størrelse og kvikksølvnivå. Brosmeprøven som hadde kvikksølvnivå over grenseverdien, hadde lavest gjennomsnittsvekt av alle brosmeprøvene tatt ut i region Sør og Vest. Her var det trolig andre faktorer enn størrelse som hadde større betydning for variasjonen i kvikksølvnivå, som for eksempel hvor brosmene var fisket.

Kadmiumkonsentrasjonen i prøvene varierte fra <0,0006 mg/kg til 0,028 mg/kg, med den høyeste konsentrasjonen målt i en prøve av makrell (Tabell 7). Ingen prøver hadde konsentrasjoner over grenseverdien på 0,05 mg/kg som gjelder de fleste fiskearter, eller 0,1 mg/kg som gjelder for enkelte arter inkludert makrell. I de fleste prøvene av de fleste artene analysert her, var kadmiumkonsentrasjonene under LOQ, men prøver av makrell, brisling og sild hadde i de aller fleste tilfellene målbare kadmiumkonsentrasjoner. Mediankonsentrasjonen av kadmium var høyest hos makrell, med 0,016 mg/kg, fulgt av brisling med 0,015 mg/kg og sild med 0,006 mg/kg. I tidligere undersøkelser har vi funnet tilsvarende konsentrasjoner av kadmium i disse fiskeartene. I basisundersøkelsen for makrell var samlet gjennomsnitt for kadmium 0,015 mg/kg våtvekt (Frantzen m.fl., 2024a). I basisundersøkelsen for sild var gjennomsnittlig kadmiumkonsentrasjon 0,010 mg/kg våtvekt (Frantzen m.fl., 2015). Og brisling kartlagt i 2010 hadde gjennomsnittlige kadmiumkonsentrasjoner mellom 0,003 og 0,016 mg/kg i ulike områder (Julshamn m.fl., 2011). Det kan se ut som om pelagisk, planktonspisende fisk har høyere kadmiumnivåer enn bunnlevende arter.

Bly viste svært lavt nivå i alle artene, med konsentrasjoner under LOQ (<0,003 - <0,010 mg/kg våtvekt) i 191 av 195 analyserte prøver. De fire prøvene med målbare konsentrasjoner hadde konsentrasjoner på 0,009 og 0,010 mg/kg. Dette var én prøve av hver av artene breiflabb, hyse, brisling og atlantisk kveite. Alle blyverdiene var langt under grenseverdien for bly på 0,3 mg/kg våtvekt.

Resultatene for andre metaller som ikke har grenseverdi, men som ble analysert sammen med kvikksølv, kadmium og bly i multielementmetoden, er gitt i vedlegget (Tabell 24).


Spredningsplott som viser forholdet mellom gjennomsnittsvekt (g) og kvikksølvkonsentrasjon (mg/kg våtvekt) i samleprøver av fiskemuskel, per art. De ulike fargene markerer de ulike regionene der prøvene ble tatt ut.
Figur 4. Forholdet mellom gjennomsnittsvekt (g) og kvikksølvkonsentrasjon (mg/kg våtvekt) i samleprøver av fiskemuskel, per art. De ulike fargene markerer de ulike regionene der prøvene ble tatt ut.
Kadmium, mg/kg våtvekt             
Art N n <LOQ snitt min maks median Q25 Q75
Makrell 47 0 0,016 0,004 0,028 0,016 0,01 0,020
Brisling 3 0 0,014 0,008 0,019 0,015 0,008 0,019
Sild 47 1 0,007 <0,002 0,021 0,006 0,005 0,008
Atlantisk kveite 13 11   <0,0006 0,002 0,001 0,001 0,001
Sei 10 8   <0,0009 0,002 0,001 0,0009 0,001
Atlantisk torsk 21 21   <0,0007 <0,001 0,0009 0,0008 0,001
Brosme 20 17   <0,0008 0,003 0,0009 0,0009 0,001
Hyse 21 21   <0,0008 <0,001 0,0009 0,0009 0,001
Lange 5 5   <0,0009 <0,001 0,0009 0,0009 0,0009
Breiflabb 3 3   <0,0007 <0,0008 0,0007 0,0007 0,0008
Blåkveite 1 1   <0,001        
Berggylt 1 0   0,002        
Rognkjeks 1 0   0,008        
Lyr 1 1   <0,0009        
Uer 1 1   <0,0009        
Til sammen 195 90   <0,0006 0,028 0,003 0,0009 0,009

Tabell 7. Kadmiumkonsentrasjon i de analyserte fiskeartene. Antall prøver under LOQ er gitt (n < LOQ). Gjennomsnitt er gitt for arter der resultatet for mer enn 50 % av prøvene er ≥ LOQ. Median og kvartiler (Q25 og Q75) er angitt med upperbound konsentrasjon, det vil si at konsentrasjon < LOQ er satt lik LOQ.

 


3.1.2 - Per- og polyfluorerte alkylstoffer

Alle prøvene i kontrollprogrammet ble analysert for PFAS, og ingen av dem hadde konsentrasjoner over grenseverdiene som gjelder for PFOS, PFOA, PFNA og PFHxS og summen av disse, sum PFAS4 (Tabell 8). PFHxS var under LOQ på 0,1 µg/kg våtvekt i alle prøvene. PFOA var under LOQ på 0,1 eller 0,2 µg/kg i alle prøvene bortsett fra én prøve av brisling som hadde en målbar verdi på 0,18 µg/kg. Fem prøver hadde målbare, men lave konsentrasjoner av PFNA.

PFOS var også under LOQ i mange prøver, men her var det mange flere prøver med målbare verdier enn for de andre tre forbindelsene. Konsentrasjonene av PFOS varierte fra <0,1 til 0,98 µg/kg, med den høyeste verdien i en prøve av brisling. Kveite hadde målbare konsentrasjoner av PFOS i ti av 13 prøver, og en gjennomsnittskonsentrasjon på 0,24 µg/kg. Torsk hadde målbare PFOS-konsentrasjoner i 12 av 21 prøver, og en gjennomsnittsverdi på 0,19 µg/kg.

Sum PFAS4 er summen av PFOS, PFOA, PFNA og PFHxS, der verdier under LOQ er satt lik 0. Brisling hadde den høyeste enkeltverdien av sum PFAS4, med 1,3 µg/kg i én av prøvene, men sum PFAS4 var null i de andre to prøvene. Brislingprøven med den høyeste konsentrasjonen var tatt fra et parti fisket i Nordfjord. Kveite hadde en gjennomsnittlig sum PFAS4 på 0,21 µg/kg og torsk et gjennomsnitt på 0,12 µg/kg, mens alle andre arter hadde lavere gjennomsnittsverdier. Hyse hadde imidlertid en av de høyeste maksverdiene med 0,44 µg/kg. Berggylt og blåkveite, der det bare ble målt én prøve av hver, hadde konsentrasjoner av både PFOS og sum PFAS4 på henholdsvis 0,23 og 0,41 µg/kg.

I 2023 analyserte vi i Mattilsynets villfiskprogram en rekke fiskearter for PFAS, med analyse gjennomført av Eurofins med lavere LOQ-verdier for mange av stoffene (Frantzen m.fl., 2024c). Siden LOQ-ene er så ulike i de to analysemetodene, blir sum PFAS4 vanskelig å sammenligne, men det er mulig å sammenligne enkeltstoffene. Blåkveiteprøven analysert her hadde høyere konsentrasjon av PFOS enn blåkveite analysert i 2023. Hyse hadde konsentrasjoner i noenlunde samme område i de to prosjektene, men med noen høyere enkeltverdier for PFNA i 2023. Kveite hadde omtrent samme gjennomsnittskonsentrasjoner i dette kartleggingsprogrammet som det som ble målt i 2023 i kveite fra andre områder enn Sklinnadjupet. Konsentrasjonene av enkeltstoffene målt i sei i 2023 var for det meste lavere enn våre LOQ, som vi også fant her. For torsk var konsentrasjonen av alle enkeltstoffene målt i 2023 i samme område som nå (PFOS) eller under våre LOQ-verdier (alle andre stoffer).

Resultatene for andre PFAS-forbindelser enn de som er satt grenseverdi for, er gitt i vedlegget (Tabell 25). Av disse var det FOSA, PFHxDa og PFBS som hadde mer enn én prøve med målbar verdi. PFHxA var over LOQ i én prøve av Nordsjøsild, og denne hadde en konsentrasjon på hele 1,3 µg/kg våtvekt.

Enhet µg/kg vv

 

PFOS

PFOA

PFNA

PFHxS

SUM PFAS4 LB

ML

2,0 / 7,0A

0,20 /1,0A

0,50 / 2,5A

0,20

2,0 / 8,0

Art

N

Snitt (median)
(min-maks)
(n>LOQ)

min-maks (n>LOQ)
 

min-maks (n>LOQ)
 


min
 

Snitt (median)
min - maks
 

Breiflabb

3


0,15-<0,2 (1)


<0,1-<0,2


<0,1-<0,5


<0,1

0,050 (0)
0 - 0,15

Brisling

3


<0,2-0,98 (1)


<0,1-0,18 (1)


<0,1-0,11 (1)


<0,1

0,43 (0)
0 - 1,3

Brosme

20


<0,1-<0,2 (1B)


<0,1-<0,2


<0,1-<0,5 (1B)


<0,1

0,013
(0)
0 - 0,15

Hyse

21


<0,1-0,35 (3)


<0,1-<0,2


<0,1-0,20 (2)


<0,1

0,052 (0)
0 - 0,44

Kveite

13

0,24 (0,22)
0,11 - 0,36 (10)


<0,1-<0,2


<0,1-<0,5 (1B)


<0,1

0,21 (0,23)
0 - 0,53

Lange

5

<0,1-<0,2

<0,1-<0,2

<0,1-<0,5

<0,1

0

Makrell

47


<0,1-<0,2 (2B)


<0,1-<0,2


<0,1-<0,5


<0,1

0,006 (0)
0 - 0,16

Sei

10


<0,1-<0,2 (1B)


<0,1-<0,2


<0,1-<0,5


<0,1

0,012 (0)
0 - 0,12

Sild

46

<0,1-<0,2

<0,1-<0,2

<0,1-<0,5

<0,1

0

Torsk

21

0,19 (0,20)
<0,1 - 0,36 (12)


<0,1-<0,2


<0,1-<0,5


<0,1

0,12 (0,11)
0 - 0,36

Berggylt

1

0,23

<0,1

<0,1

<0,1

0,23

Blåkveite

1

0,41

<0,1

<0,1

<0,1

0,41

Lyr

1

0,12

<0,2

<0,1

<0,1

0,12

Rognkjeks

1

<0,2

<0,1

<0,1

<0,1

0

Uer

1

<0,1

<0,2

<0,5

<0,1

0

Totalsum

194


<0,1 – 0,98


<0,1-<0,2


<0,1-<0,5


<0,1

0,047 (0)
0 - 1,3


Tabell 8. Resultater for de fire PFAS-forbindelsene det er satt grenseverdier for i EU og Norge; Perfluoroktansulfonat (PFOS), perfluoroktansyre (PFOA), perfluornonansyre (PFNA) og perfluorheksansulfonat (PFHxS), samt summen av disse (sum PFAS4, beregnet med «lowerbound» LOQ, LB). Grenseverdier som gjelder ved omsetning er også gitt (ML).

AGrenseverdi som gjelder for enkelte arter, her kun brisling
BDet var målbare konsentrasjoner med verdi mellom minste og største <LOQ-verdi.

 

3.1.3 - Dioksiner og dioksinlignende PCB

Resultatene for sum dioksiner, sum dioksinlignende PCB (dl-PCB) og sum dioksiner og dl-PCB i de artene som ble analysert for dette er vist i Tabell 9, Tabell 10 og Tabell 11. Atlantisk kveite, makrell, sild og brisling var artene som i utgangspunktet skulle analyseres for disse fettløselige organiske miljøgiftene, men i tillegg ble noen av artene som ble tatt ut i stedet for kveite, det vil si breiflabb, uer, blåkveite, berggylt og rognkjeks, analysert for disse stoffene.

Gjennomsnittlig konsentrasjon av sum dioksiner og dl-PCB varierte fra 0,052 ng TE/kg i breiflabb til 1,4 ng TE/kg i rognkjeks, men bare henholdsvis to og én prøve(r) av disse artene ble analysert. Brisling, der tre prøver ble analysert, hadde en gjennomsnittskonsentrasjon på 1,1 ng TE/kg og den høyeste enkeltverdien av sum dioksiner og dl-PCB på 1,7 ng TE/kg. Alle prøvene hadde konsentrasjoner langt under grenseverdien som gjelder for dioksiner og dl-PCB i sjømat, på 6,5 ng TE/kg våtvekt. Brislingprøvene som ble analysert som filet hadde den høyeste konsentrasjonen, mens de som ble analysert som hel fisk hadde noe lavere konsentrasjoner, selv om fettinnholdet var høyere i prøvene av hel brisling enn i prøven av brislingfilet.

Også sum dioksiner var godt under grenseverdien på 3,5 ng TE/kg våtvekt i alle prøvene, med den høyeste konsentrasjonen i en prøve på 0,84 ng TE/kg, målt i makrell (Tabell 10). Det høyeste «gjennomsnittet» for en art var også her hos rognkjeks (kun én prøve), med 0,50 ng TE/kg.

Blant artene der det ble tatt ut flere enn én prøve, var det brisling som hadde høyest gjennomsnittskonsentrasjon av både sum dioksiner og dl-PCB, sum dioksiner og sum dl-PCB (Tabell 9, Tabell 10, Tabell 11), fulgt av makrell, sild og atlantisk kveite. Konsentrasjonene av sum dioksiner og dl-PCB målt i brisling i dette prosjektet er på omtrent samme nivå som det som har vært målt i brisling tidligere, eller litt lavere (Julshamn m.fl., 2011; Sjømatdata | hi.no). Det at to av de tre brislingprøvene ble analysert som hel fisk, ikke bare ren muskel slik som hos sild, makrell og kveite, kan ikke være forklaringen på de relativt høye verdiene sammenlignet med disse andre artene, siden det var filetprøvene av brisling som hadde høyest konsentrasjoner tross lavere fettinnhold.

Konsentrasjonene av sum dioksiner og dl-PCB målt i atlantisk kveite i kontrollprogrammet var lave sammenlignet med kveite analysert i basisundersøkelsen i 2016-2018, der gjennomsnittet for alle områder for den magre delen av fileten var 1,4 ng TE/kg våtvekt (Nilsen m.fl., 2016). Selv om det var en relativt mager del av kveitefileten som ble analysert i basisundersøkelsen («B-snitt»), var fettinnholdet betydelig høyere der, med et snitt på 4,6 g/100 g. Kveitene tatt ut i kontrollprogrammet hadde et gjennomsnittlig fettinnhold på 1,2 g/100 g og en maksverdi på 1,8 g/100 g. Dessuten var fisken tatt ut her mye mindre enn fisken i basisundersøkelsen, med en snittvekt på 5,6 kg her mot 24 kg i basisundersøkelsen. Så en kombinasjon av mindre størrelse på fisken og lavere fettinnhold i det prøvematerialet som ble tatt ut og analysert, kan trolig bidra til å forklare de lave nivåene målt i kveite i kontrollprogrammet. 

Makrell og sild var de to artene som det ble analysert flest prøver av. Makrell hadde litt høyere gjennomsnittlig konsentrasjon av sum dioksiner og dl-PCB enn sild, med snitt på henholdsvis 0,64 og 0,51 ng TE/kg våtvekt. Det var kun sum dl-PCB som utgjorde forskjellen, da sum dioksiner var nesten helt lik (Tabell 9). Gjennomsnittlig konsentrasjon av sum dl-PCB var 0,37 ng TE/kg i makrell og 0,25 ng TE/kg våtvekt i sild.

For makrell var gjennomsnittskonsentrasjonen av sum dioksiner og dl-PCB målt her litt lavere enn det som ble målt i basisundersøkelsen (2007-2009) og i oppfølgende overvåking (2012-2022) (Sjømatdata | hi.no). I den oppfølgende overvåkingen av makrell har det alltid vært inkludert prøver fra Skagerrak, der nivået av disse stoffene er betydelig høyere (Frantzen m.fl., 2010), og det kan muligens forklare at nivået målt her er gjennomsnittlig lavere.

For sild har vi to ulike bestander, NVG-sild med hovedutbredelse i Norskehavet og Nordsjøsild med hovedutbredelse i Nordsjøen. I dette prosjektet ble det tatt ut prøver fra begge bestandene. Noen av prøvene var merket «NVG-sild», noen «Nordsjøsild», og noen bare «sild». For enkelhets skyld er alt kalt «sild» i denne rapporten. Også i Sjømatdata er bestandene slått sammen og også for sild er konsentrasjonene av dioksiner og dl-PCB lavere her enn det som er målt tidligere, i basisundersøkelsene og i oppfølgende overvåking (Frantzen m.fl., 2009, 2011, Duinker et al., 2012; Sjømatdata | hi.no; Forurensning i norsk vårgytende sild i Norskehavet; Forurensning i nordsjøsild - Miljøstatus - Norges klima- og miljømål). Unntaket er det siste året, 2023, da gjennomsnittskonsentrasjonen var 0,56 ng TE/kg våtvekt (Sjømatdata | hi.no).

Sum dioksiner + dl-PCB (ng TE/kg våtvekt) Grenseverdi 6,5 ng TE/kg våtvekt
Art N snitt SD min maks median Q25 Q75
Atlantisk kveite 13 0,14 0,12 0,031 0,44 0,098 0,080 0,13
Makrell 47 0,64 0,24 0,28 1,6 0,54 0,47 0,77
Sild 40 0,51 0,13 0,25 0,84 0,48 0,40 0,60
Brisling 3 1,1 0,64 0,44 1,7 1,0 0,44 1,7
Breiflabb 2 0,052 0,011 0,044 0,060 0,052 0,044 0,060
Uer 1 0,12            
Blåkveite 1 0,64            
Berggylt 1 0,15            
Rognkjeks 1 1,4            
Alle 109 0,53 0,29 0,031 1,7 0,50 0,40 0,68
Tabell 9. Konsentrasjon (ng 2005-TE/kg våtvekt) av sum dioksiner, furaner og dioksinlignende PCB (sum dioksiner + dl-PCB) i de ulike analyserte fiskeartene. Resultatene er vist som antall prøver (N), gjennomsnitt, standardavvik (SD) minste (min) og største verdi (maks), median samt nedre og øvre kvartil (Q25 og Q75).
Sum dioksiner (ng TE/kg våtvekt) Grenseverdi 3,5 ng TE/kg våtvekt
Art N snitt SD min maks median Q25 Q75
Atlantisk kveite 13 0,09 0,10 0,021 0,40 0,053 0,045 0,088
Makrell 47 0,27 0,16 0,079 0,84 0,22 0,17 0,30
Sild 40 0,263 0,083 0,12 0,45 0,25 0,19 0,30
Brisling 3 0,34 0,12 0,21 0,44 0,36 0,21 0,44
Breiflabb 2 0,023 0,003 0,021 0,025 0,023 0,021 0,025
Uer 1 0,038            
Blåkveite 1 0,32            
Berggylt 1 0,050            
Rognkjeks 1 0,50            
Alle 109 0,243 0,145 0,021 0,84 0,22 0,16 0,30

 

Tabell 10. Konsentrasjon (ng 2005-TE/kg våtvekt) av sum dioksiner og furaner (sum dioksiner) i de ulike analyserte fiskeartene. Resultatene er vist som antall prøver (N), gjennomsnitt, standardavvik (SD) minste (min) og største verdi (maks), median samt nedre og øvre kvartil (Q25 og Q75).

Sum dl-PCB (ng TE/kg våtvekt)        
Art N snitt SD min maks median Q25 Q75
Atlantisk kveite 13 0,049 0,044 0,011 0,19 0,036 0,036 0,049
Makrell 47 0,37 0,12 0,20 0,79 0,33 0,28 0,44
Sild 40 0,25 0,06 0,12 0,48 0,24 0,22 0,28
Brisling 3 0,72 0,57 0,23 1,4 0,58 0,23 1,4
Breiflabb 2 0,028 0,009 0,022 0,034 0,028 0,022 0,034
Uer 1 0,079            
Blåkveite 1 0,32            
Berggylt 1 0,098            
Rognkjeks 1 0,89            
Alle 109 0,29 0,19 0,011 1,4 0,26 0,22 0,33

 


Tabell 11. Konsentrasjon (ng 2005-TE/kg våtvekt) av sum dioksinlignende PCB (sum dl-PCB) i de ulike analyserte fiskeartene. Resultatene er vist som antall prøver (N), gjennomsnitt, standardavvik (SD) minste (min) og største verdi (maks), median samt nedre og øvre kvartil (Q25 og Q75).

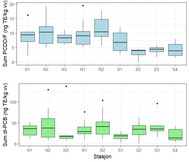
Det var lite variasjon mellom regionene i konsentrasjon av dioksiner eller dioksinlignende PCB (Figur 5). For kveite var det høyere maksverdi og større spredning i region Nord enn region Midt.

For makrell var det høyest konsentrasjoner av sum dioksiner i region Nord, litt lavere i Midt og lavest i region Sør og Vest (Figur 5), mens sum dl-PCB så ut til å være høyest i Nord og noe lavere og likt mellom regionene Midt og Sør og Vest. Det var imidlertid stor spredning blant prøvene fra Sør og Vest, der den høyeste konsentrasjonen av dl-PCB ble målt.

For sild var det svært likt mellom de tre regionene, men for sum dioksiner var det noe lavere medianverdi i prøver fra region Midt enn i prøver fra både region Nord og region Sør og Vest.

Innenfor hver av artene var det svakt positive, men nesten ingen signifikante, korrelasjoner mellom fiskens størrelse (gjennomsnittsvekt og -lengde på fisken i samleprøven) og konsentrasjoner av sum dioksiner og sum dioksinlignende PCB (Figur 6, Figur 41, Figur 42, Figur 43). Den eneste korrelasjonen som var signifikant (r = 0,93, p < 0,05), var mellom konsentrasjonen av sum dl-PCB i kveite og gjennomsnittsvekt på fisken (som for kveite ofte var vekten av én enkelt fisk).

 

Variasjon i konsentrasjon (ng TE/kg våtvekt) av sum dioksiner og furaner (Sum dioksiner, øverst) og sum dioksinlignende PCB (Sum dl-PCB, nederst) i fiskemuskel mellom regioner, for atlantisk kveite, makrell og sild. Boksplottene viser median, kvartiler og minste og største verdi utenom uteliggere. Prikkene markerer uteliggere. Grenseverdien på 3,5 ngTE/kg for sum dioksiner faller utenfor skalaen.
Figur 5. Variasjon i konsentrasjon (ng TE/kg våtvekt) av sum dioksiner og furaner (Sum dioksiner, øverst) og sum dioksinlignende PCB (Sum dl-PCB, nederst) i fiskemuskel mellom regioner, for atlantisk kveite, makrell og sild. Boksplottene viser median, kvartiler og minste og største verdi utenom uteliggere. Prikkene markerer uteliggere. Grenseverdien på 3,5 ngTE/kg for sum dioksiner faller utenfor skalaen.

 

 

 Spredningsplott som viser forholdet mellom gjennomsnittsvekt på fisken i samleprøven (snittvekt, g) og konsentrasjonen (ng TE/kg våtvekt) av sum dioksiner og furaner (Sum dioksiner, øverst) og sum dioksinlignende PCB (dl-PCB, nederst), i henholdsvis atlantisk kveite, makrell og sild.
Figur 6. Spredningsplott som viser forholdet mellom gjennomsnittsvekt på fisken i samleprøven (snittvekt, g) og konsentrasjonen (ng TE/kg våtvekt) av sum dioksiner og furaner (Sum dioksiner, øverst) og sum dioksinlignende PCB (dl-PCB, nederst), i henholdsvis atlantisk kveite, makrell og sild.

 

For sild var det en positiv korrelasjon mellom fettinnholdet i prøven og sum dioksiner (Figur 7; r = 0,44, p<0,05). Det samme var også tilfelle for kveite (r = 0,8, p<0,05), men ikke for makrell. Dioksinlignende PCB viste ingen signifikant sammenheng med fett (Figur 7), selv om det for kveite så ut til å være en positiv sammenheng. Siden dioksiner og PCB-er er fettløselige forbindelser, er det ofte forventet at det skal være en positiv sammenheng. Men det motsatte kan være tilfellet, dersom en har så høyt fettinnhold at en får en «fortynning» av miljøgiftene, noe som en gjerne ser ved fettinnhold over ca. 10 % (Ho m.fl., 2023). Dette kan være en årsak til de svake sammenhengene mellom fettinnhold og miljøgifter som vi finner her.

 

Spredningsplott som viser forholdet mellom fettinnhold (g/100 g) i samleprøven og konsentrasjonen (ng TE/kg våtvekt) av sum dioksiner og furaner (Sum dioksiner, øverst) og sum dioksinlignende PCB (dl-PCB, nederst), i henholdsvis atlantisk kveite, makrell og sild.
Figur 7. Spredningsplott som viser forholdet mellom fettinnhold (g/100 g) i samleprøven og konsentrasjonen (ng TE/kg våtvekt) av sum dioksiner og furaner (Sum dioksiner, øverst) og sum dioksinlignende PCB (dl-PCB, nederst), i henholdsvis atlantisk kveite, makrell og sild.

 

På tross av svake korrelasjoner, kan størrelse og fettinnhold på fisken likevel forklare noen av forskjellene mellom regionene, eller mangel på forskjeller mellom regionene. Grunnen til at kveite fra region Nord inneholdt noe høyere nivå av sum dioksiner sammenlignet med region Midt, kan være at fisken i Nord var jevnt over både større og fetere enn i region Midt. 

For makrell var det i region Nord bare tatt ut prøver med stor gjennomsnittsstørrelse, mens det var større spredning i størrelse blant prøvene fra regionene Midt og Sør og Vest (Figur 40, Figur 42, FIgur 43). Dette kan forklare hvorfor makrell fra Nord hadde noe høyere konsentrasjon av sum dl-PCB og mindre variasjon i konsentrasjonene enn makrell tatt ut i de to andre regionene (Figur 5).

Snittvekten av silden fra region Nord og Midt var generelt større enn den fra region Sør og Vest (Figur 40). Prøvene tatt ut i dette programmet var delvis merket som «NVG-sild», «Nordsjøsild» eller bare «sild», men det er sannsynlig at mesteparten av prøvene tatt ut i region Nord og Midt var NVG-sild, mens silden fra Sør og Vest i hovedsak var Nordsjøsild. NVG-sild blir generelt større og eldre enn nordsjøsild. Noe lavere nivå av sum dioksiner i sild fra region Midt enn i de to andre regionene kan ha sammenheng med et lavere fettinnhold i sild fra region Midt sammenlignet med silden fra region Nord og region Sør og Vest (Figur 40). Fettinnholdet hos sild varierer mye i løpet av året og på ulikt vis for de to bestandene (Frantzen m.fl., 2011, Duinker m.fl., 2012). Årstidsvariasjonene som påvirkes av mattilgang og gytesyklus, påvirker også nivået av miljøgifter.

3.1.4 - Ikke-dioksinlignende PCB, PCB6

Resultatene for sum ikke-dioksinlignende PCB (sum PCB6) i de artene som ble analysert for dette er vist i Tabell 12. Variasjonen følger omtrent samme mønster som for dioksiner og dioksinlignende PCB.

Gjennomsnittlig konsentrasjon av sum PCB6 varierte fra 0,29 µg/kg våtvekt i breiflabb til 7,1 µg/kg i brisling. Brisling hadde også den høyeste enkeltverdien for sum PCB6 med 13 µg/kg. Alle prøvene hadde konsentrasjoner langt under grenseverdien som gjelder for sum PCB6 i sjømat, på 75 µg/kg våtvekt. Andre arter med forholdsvis høyt nivå, men der det bare ble tatt ut en enkelt prøve, var rognkjeks (5,9 µg/kg) og blåkveite (2,4 µg/kg).

Blant artene der det ble tatt ut flere enn én prøve, var det brisling som hadde høyest gjennomsnittskonsentrasjon av sum PCB6, fulgt av makrell og sild med nokså likt nivå, og atlantisk kveite. Konsentrasjonene av sum PCB6 målt i brisling i dette prosjektet er på samme nivå som eller lavere enn det som har vært målt i brisling tidligere (Julshamn m.fl., 2011; Sjømatdata | hi.no). Det at to av de tre brislingprøvene ble analysert som hel fisk, ikke bare ren muskel slik som hos sild, makrell og kveite, er trolig ikke  forklaringen på de relativt høye verdiene sammenlignet med disse andre artene, siden det var filetprøvene av brisling som hadde høyest konsentrasjoner tross lavere fettinnhold. 

Konsentrasjonene av PCB6 i kveite var svært lave sammenlignet med kveite analysert i basisundersøkelsen i 2016-2018, der gjennomsnittet for alle områder for den magre delen av fileten (B-snitt) var 10 µg/kg våtvekt (Nilsen m.fl., 2016). Som under diskusjon av dioksiner og dl-PCB (kap. 3.1.3.) var fettinnholdet i prøvene betydelig lavere enn i basisundersøkelsen, og fisken var mindre i størrelse. Kombinasjon av liten fisk og lavt fettinnhold i prøvene er trolig forklaringen på de lave nivåene funnet i kveite i kontrollprogrammet 2024.

Makrell og sild hadde omtrent like konsentrasjoner av sum PCB6, med snitt på henholdsvis 3,4 og 3,1 µg /kg våtvekt (Tabell 12). For makrell var gjennomsnittskonsentrasjonen av sum PCB6 stort sett noe lavere enn det som ble funnet i basisundersøkelsen (2007-2009) og i oppfølgende overvåking (2012-2022) (Sjømatdata | hi.no). I den oppfølgende overvåkingen har det alltid vært inkludert prøver fra Skagerrak, der nivået av disse stoffene i makrell er betydelig høyere (Frantzen m.fl., 2010), og det kan muligens forklare at nivået målt i kontrollprogrammet er gjennomsnittlig lavere.

Også for sild var konsentrasjonene av sum PCB6 målt i kontrollprogrammet 2024 stort sett litt lavere enn det som er målt i basisundersøkelsene og i oppfølgende overvåking (Frantzen m.fl., 2009, 2011, Duinker m.fl., 2012; Sjømatdata | hi.no; Forurensning i norsk vårgytende sild i Norskehavet; Forurensning i nordsjøsild - Miljøstatus - Norges klima- og miljømål).

Det var liten variasjon mellom regionene i konsentrasjon av sum PCB6 i kveite, makrell og sild (Figur 8).

For kveite var det en klar positiv sammenheng mellom gjennomsnittsvekten på fisken og konsentrasjonen av sum PCB6 (Figur 9), som det også var for sum dl-PCB (Figur 6). I makrell og sild var det svake sammenhenger mellom størrelse og konsentrasjoner av PCB6 (Figur 9), og litt bedre sammenhenger når resultatene fra hver region ble plottet for seg (Figur 10).

Figur 10 viser at sild tatt ut i region Sør og Vest hadde generelt litt høyere konsentrasjoner enn sild tatt ut i Nord og Midt ved samme størrelse. Men fordi det var flere større sild i prøvene fra Nord og Midt, var det likevel ikke vesentlig forskjell mellom regionene i konsentrasjon av sum PCB6 (Figur 8). Også for makrell lå nivået av sum PCB6 i prøver fra Sør og Vest litt høyere enn prøver fra Midt ved samme størrelse. Men her var det ikke et like klart skille mellom regionene.

Det var ingen klare sammenhenger mellom konsentrasjon av sum PCB6 og fettinnhold (Figur 9). Det var det heller ikke selv om dataene ble delt inn etter region (ikke vist). Forklaringen på dette er tilsvarende som diskutert for dioksiner og dl-PCB i kap. 3.1.3.

Sum PCB 6 (µg/kg våtvekt)   Grenseverdi 75 µg/kg våtvekt    
Art N snitt SD min maks median Q25 Q75
Atlantisk kveite 13 0,44 0,42 0,11 1,8 0,35 0,30 0,38
Makrell 47 3,4 1,2 1,5 8,4 3,2 2,6 3,7
Sild 40 3,1 0,8 1,3 5,4 3,0 2,6 3,4
Brisling 3 7,1 5,4 2,6 13 5,6 2,6 13
Breiflabb 2 0,29 0,18 0,16 0,42 0,29 0,16 0,42
Uer 1 0,80            
Blåkveite 1 2,4            
Berggylt 1 0,74            
Rognkjeks 1 5,9            
All Grps 109 2,9 1,8 0,11 13 2,9 2,3 3,6
Tabell 12. Konsentrasjon (µg/kg våtvekt) av sum ikke-dioksinlignende PCB (PCB6) i de ulike analyserte fiskeartene. Resultatene er vist som antall prøver (N), gjennomsnitt, standardavvik (SD) minste (min) og største verdi (maks), median samt nedre og øvre kvartil (Q25 og Q75).

 

 

Konsentrasjon av ikke-dioksinlignende PCB (Sum PCB6, µg/kg våtvekt) i henholdsvis atlantisk kveite, makrell og sild, fordelt på de tre regionene Nord, Midt og Sør og Vest (kveite kun nord og midt). Boksplottene viser median, kvartiler og minste og største verdi utenom uteliggere. Prikkene markerer uteliggere. Grenseverdien på 75 µg/kg faller utenfor skalaen.
Figur 8. Konsentrasjon av ikke-dioksinlignende PCB (Sum PCB6, µg/kg våtvekt) i henholdsvis atlantisk kveite, makrell og sild, fordelt på de tre regionene Nord, Midt og Sør og Vest (kveite kun nord og midt). Boksplottene viser median, kvartiler og minste og største verdi utenom uteliggere. Prikkene markerer uteliggere. Grenseverdien på 75 µg/kg faller utenfor skalaen.

 

Spredningsplott som viser sammenhengen mellom konsentrasjon av Sum PCB6 (µg/kg våtvekt) og gjennomsnittlig vekt på fisken (snittvekt, g; øverst) og fettinnholdet (Fettinnhold, g/100 g; nederst) i samleprøvene, for hver av artene kveite, makrell og sild.
Figur 9. Sammenhengen mellom konsentrasjon av Sum PCB6 (µg/kg våtvekt) og gjennomsnittlig vekt på fisken (snittvekt, g; øverst) og fettinnholdet (Fettinnhold, g/100 g; nederst) i samleprøvene, for hver av artene kveite, makrell og sild.

 

Sammenhengen mellom konsentrasjon av Sum PCB6 (µg/kg våtvekt) og gjennomsnittlig vekt på fisken (snittvekt, g) i samleprøvene for hver av artene kveite, makrell og sild. De ulike fargene på punktene og regresjonslinjene markerer de ulike regionene.
Figur 10. Sammenhengen mellom konsentrasjon av Sum PCB6 (µg/kg våtvekt) og gjennomsnittlig vekt på fisken (snittvekt, g) i samleprøvene for hver av artene kveite, makrell og sild. De ulike fargene på punktene og regresjonslinjene markerer de ulike regionene.

3.2 - Kartlegging - miljøgifter uten grenseverdi

3.2.1 - Arsen og arsenspesiering

Av samleprøvene av villfisk tatt ut i kontrollprogrammet, ble alle analysert for totalarsen og uorganisk arsen, og 83 prøver ble også analysert for organiske arsenformer. Resultatene er oppsummert i Tabell 13 og Tabell 14. Det var som forventet svært lave konsentrasjoner av uorganisk arsen i alle fiskeartene, til sammen 70 % av prøvene var under LOQ (<0,001 mg/kg vv) og andelen uorganisk arsen av totalarsen var godt under 1 % (fra 0,01 til 0,4 %) (Tabell 13). Også artene med de høyeste konsentrasjonene av totalarsen, som breiflabb med et snitt på 20 mg/kg og kveite med snitt på 9,3 mg/kg, hadde ikke kvantifiserbare nivåer av uorganisk arsen. Makrell hadde høyest konsentrasjon av uorganisk arsen, opp til 0,020 mg/kg våtvekt og en median på 0,0072 mg/kg som utgjorde 0,4 % av totalarsen.

De lave konsentrasjonene av uorganisk arsen i alle prøvene av villfisk bekrefter de svært lave nivåene som har vært dokumentert tidligere, i 2023 (Frantzen m.fl., 2024c) og i 2010 (Julshamn m.fl., 2012), og gir ytterligere dokumentasjon på at det er generelt lave konsentrasjoner av uorganisk arsen i filet av villfanget fisk.

Konsentrasjoner av de ulike organiske arsenforbindelsene, inkludert arsenobetain, arsenokolin og dimetylarsinat, er vist i Tabell 14. De fleste av de organiske arsenforbindelsene, med unntak av arsenobetain, var under LOQ i de fleste prøvene, og når det var målbare konsentrasjoner, var nivået som oftest svært lavt.

Kveite hadde høyest konsentrasjon av arsenobetain, med et gjennomsnitt på 7,3 mg/kg våtvekt, mens totalarsen var gjennomsnittlig på 8,7 mg/kg (Tabell 14). Arsenobetain utgjorde i snitt 86 % av totalarsen for kveite (mellom 43 og 100 %; Figur 11). For torsk var gjennomsnittlig konsentrasjon av arsenobetain 4,8 mg/kg våtvekt, som utgjorde i snitt 73 % (45 – 100 %) av en gjennomsnittlig totalarsenkonsentrasjon på 6,9 mg/kg våtvekt. For hyse var gjennomsnittskonsentrasjonen av arsenobetain 3,9 mg/kg, som utgjorde i snitt 71 % av total arsenet (33 – 98 %). Kveite og torsk hadde ikke målbare konsentrasjoner av andre organiske arsenforbindelser, mens noen prøver av hyse hadde lave, men målbare, konsentrasjoner av DMA og TETRA. En andel av arsenet i disse fiskeartene er ikke identifisert (ukjent) ved bruk av analysemetodene benyttet (Figur 11). Metoden for organiske arsenformer ekstraherer og kvantifiserer kun de vannløselige arsenformene, og det er derfor mulig at en andel av arsen i disse prøvene er arsenolipider.

Makrell og sild hadde lavere konsentrasjoner av totalarsen (0,1-2,8 mg/kg), og lavere konsentrasjoner av arsenobetain, med gjennomsnitt på 0,11 mg/kg for makrell og 0,35 mg/kg for sild. Dette utgjorde i snitt henholdsvis 6 % og 22 % av totalarsen for de to artene. DMA viste målbare konsentrasjoner i alle prøvene av makrell og sild, med et snitt på 0,028 mg/kg for makrell og 0,020 mg/kg for sild som utgjorde i snitt 1,3 % av totalarsen hos begge artene (Figur 11). Også i en tidligere studie av ulike fiskearter ble DMA(V) funnet i målbare konsentrasjoner i makrell og sild, i tillegg til i sardiner, skjell og reker, men ikke i fiskearter som torsk eller rødspette (Ruttens m.fl., 2012). Makrell hadde også målbare konsentrasjoner av TMAO med et gjennomsnitt på 0,004 mg/kg våtkvekt som utgjorde bare 0,2 % av totalarsen (Tabell 14). EFSA har nylig publisert en risikovurdering på små organiske arsenforbindelser, inkludert DMA(V) (EFSA, 2024). Det er beviser for at DMA(V) er kreftfremkallende, men mekanismene er ikke fullstendig kjente. Det spesifiseres videre at det er et behov for gode analysemetoder og data, og disse resultatene på arsenforbindelser i sjømat vil bidra med flere data til EFSA sin database.


  TotAs, mg/kg         Uorg. As, mg/kg     Uorg. As (%)
  N snitt SD med min maks median min maks < LOQ, N (%) median
Atlantisk torsk 21 4.9 2.7 4.2 1.3 9.2 <0.0014 <0.001 0.0036 18 (86 %) 0.03
Brosme 20 4.3 4.9 2.4 0.31 18 <0.0014 <0.001 <0.002 20 (100 %) 0.06
Atlantisk kveite 13 9.3 4.3 8.8 3.0 18 <0.0016 <0.0009 <0.0017 13 (100 %) 0.02
Hyse 21 4.6 3.3 3.0 1.3 11 <0.0014 <0.001 0.0022 17 (81 %) 0.05
Sei 10 2.0 1.1 1.7 0.91 4.3 <0.0015 <0.001 <0.0016 10 (100 %) 0.09
Makrell 47 2.1 0.44 2.3 0.60 2.8 0.0072 <0.0016 0.020 9 (19 %) 0.4
Breiflabb 3 20 5.2 22 14 24 <0.0011 <0.001 <0.0012 3 (100 %) 0.01
Lange 5 7.8 5.6 7.6 1.3 16 <0.0015 <0.0014 <0.0015 5 (100 %) 0.02
Sild 46 1.7 0.25 1.6 1.1 2.4 <0.0024 <0.0019 0.0041 34 (74 %) 0.1
Uer 1     5.0     <0.0013     1 (100 %) 0.03
Lyr 1     5.8     <0.001     1 (100 %) 0.02
Blåkveite 1     7.1     <0.0019     1 (100 %) 0.03
Brisling 1     1.0     <0.0018     1 (100 %) 0.2
Berggylt 1     7.0     <0.0016     0 (0 %) 0.02
Rognkjeks 1     1.5     0.0028     1 (100 %) 0.2
Totalt 192 3.8 3.9 2.2 0.31 24 0.0020 <0.0009 0.020 134 (70 %) 0.1
Tabell 13. Konsentrasjoner (mg/kg våtvekt) av totalarsen (TotAs) og uorganisk arsen (Uorg. As) i prøver av ulike fiskearter tatt ut i kontrollprogrammet for villfisk i 2024. Median prosentandel uorganisk arsen av totalarsen (%) er også vist.

 

Enhet: mg/kg våtvekt

Totalarsen
TAs

Arsenobetain
(AB)

Arsenokolin
(AC)

Dimetylarsinat
(DMA)

Tetrametylarsonium-
ion
(TETRA)

Trimetylarsenoksid 
(TMAO)

Art

N < LOQ
Snitt ±  SD
(median)

min-maks

N < LOQ
Snitt ± SD 
(median)
min - maks

N<LOQ

(median)
min - maks

N<LOQ
Snitt ± SD
(median)
min-maks

N<LOQ

(median)
min-maks

N<LOQ

(median)
min- maks

Torsk
N = 7

0
6,9 ± 2,6 
(7,9)
3,0 – 9,2

0
4,8 ± 2,5
(3,7)
2,6 - 8,4

7

(<0,07)
<0,03 - <0,1

7

(<0,02)
<0,007 -<0,04

7

(<0,08)
<0,03 - <0,2

7

(<0,04)
<0,01 - <0,07

Kveite
N = 7

0
8,7 ± 5,5
(8,0)
3,0 – 18

0
7,3 ± 5,0
(4,8)
2,7 – 16

7

(<0,09)
<0,03 - <0,2

7

(<0,02)
<0,006 -<0,04

7

(<0,1)
<0,03 - <0,2

7

(<0,04)
<0,01 - <0,08

Hyse
N = 15

0
5,5 ± 3,5
(5,2)
1,3 – 11

0
3,9 ± 3,2
(2,8)
0,67 – 10

15

(<0,07)
<0,02 - <0,2

12

(<0,02)
<0,007 -<0,04

11

(<0,08)
<0,02 - 0,2

15

(<0,03)
<0,008 - <0,08

Makrell
N = 38

0
2,2 ± 0,4
(2,3)
0,60 – 2,8

0
0,11 ± 0,06
(0,077)
0,006 - 0,26

32

(<0,003)
<0,003 - 0,02

0
0,028 ± 0,011
(0,028)
0,004 - 0,068

32

(<0,003)
<0,003 - 0,02

5
0,004 ± 0,002
(<0,001)
<0,0095 - 0,0035

Sild
N = 16

0
1,6 ± 0,3
(1,6)
0,1 – 2,1

0
0,35 ± 0,13
(0,32)
0,15 - 0,74

10

(<0,0077)
<0,003 - 0,03

0
0,020 ± 0,011
(0,016)
0,009 - 0,042

16

(<0,007)
<0,003 - <0,03

12

(<0,0047)
<0,001 - 0,010

Alle
N = 83

0
3,6 ± 3,2
(3,6)
0,60 - 18

0
1,9 ± 3,2
(0,27)
0,006 - 16

71

(<0,0044)
<0,003 - <0,2

26

(0,021)
0,0036 - 0,068

83

(<0,004)
<0,003 - 0,2

46

(<0,006)
<0,001 - <0,08


Tabell 14. Konsentrasjoner (mg/kg våtvekt) av ulike vannløselige organiske arsenformer målt i prøver av ulike fiskearter tatt ut i kontrollprogrammet for villfisk i 2024. 

 

Kakediagram som viser gjennomsnittlig andel (%) som ulike målte arsenspesier utgjør av den totale arsenkonsentrasjonen i filet av fiskearter prøvetatt i kontrollprogrammet for villfisk 2024. Bare arsenspesier der mer enn 50 % av prøvene av en art hadde målbare konsentrasjoner, er tatt med. AB = Arsenobetain, DMA = Dimetylarsinat, TMAO = Trimetylarsenoksid.
Figur 11. Gjennomsnittlig andel (%) som ulike målte arsenspesier utgjør av den totale arsenkonsentrasjonen i filet av fiskearter prøvetatt i kontrollprogrammet for villfisk 2024. Bare arsenspesier der mer enn 50 % av prøvene av en art hadde målbare konsentrasjoner, er tatt med. AB = Arsenobetain, DMA = Dimetylarsinat, TMAO = Trimetylarsenoksid.

 

Resultatene fra arsenspesieringen viser at for makrell og sild er det en høy andel, i gjennomsnitt henholdsvis i 93 % og 77 % av det totale arseninnholdet, som ikke ble identifisert med metodene benyttet. Siden makrell og sild er fete fiskearter, med gjennomsnittlig fettinnhold på 28 % for makrell og 14 % for sild, kan en anta at arsenolipider utgjør en del av totalarsen i disse fiskeartene. Arsenolipider er hydrofobe forbindelser, med flere undergrupper, inkludert hydrokarboner og fettsyrer, men er foreløpig relativt ukjent med hensyn til giftighet og mulige helseeffekter på grunn av mangel på data (EFSA, 2024). Det er kjent at det meste av arsen i fiskeoljer er i form av arsenolipider (Sele m.fl., 2012). I sjømat, inkludert fisk, er det få data publisert på konsentrasjoner av arsenolipider (EFSA, 2024), men lipidløselig arsen kan stå for en betydelig del av totalarsen i sjømat (Wolle, 2019, Tibon, 2022). Det er likevel lite data i litteraturen på forekomst av arsenolipider og de spesifikke undergruppene av arsenolipider, i fisk.

Det er kjent at mesteparten av arsen som finnes i fisk er av formen arsenobetain, en ikke-giftig forbindelse (EFSA, 2024). I marin fisk finnes vanligvis mer enn 70-90 % av totalarsen i form av arsenobetain (EFSA, 2009). For torsk, kveite og hyse analysert i dette programmet, ble dette for det meste bekreftet, selv om det i enkelte prøver var noe lavere andel arsenobetain. For de fete artene sild og makrell utgjorde imidlertid arsenobetain en liten andel av den totale mengden arsen. Resultatene viser at det er et stort og umiddelbart behov for å få på plass metoder for å bestemme og kvantifisere arsenolipider i fete fiskearter, slik at disse kan risikovurderes med hensyn til mattrygghet.

3.2.2 - Bromerte flammehemmere; PBDE

Konsentrasjonen av sum PBDE7 i de ulike analyserte fiskeartene er vist i Tabell 15. Resultatene for alle enkeltkongenere av PBDE som er analysert, er gitt i vedlegget (Tabell 26). Konsentrasjonene av sum PBDE7 varierte fra 0,008 µg/kg våtvekt i en prøve av atlantisk kveite til 0,76 µg/kg i en prøve av brisling. Brisling hadde også høyest gjennomsnittskonsentrasjon med 0,44 µg/kg. Makrell og sild hadde gjennomsnittskonsentrasjoner på henholdsvis 0,27 og 0,23 µg/kg våtvekt, altså i omtrent samme område. Atlantisk kveite hadde mye lavere gjennomsnittskonsentrasjon av PBDE7 enn sild, makrell og brisling. PBDE-nivået i alle artene var lavere enn det som er målt i andre overvåkings- og kartleggingspgrogrammer (Sjømatdata | hi.no)

For kveite fra region Nord og begge regionene samlet, var det en positiv sammenheng mellom gjennomsnittsstørrelse og konsentrasjon av Sum PBDE7 (Figur 13), og den kveiten som hadde høyest konsentrasjon, var også den største med nesten 16 kg (for kveiter var det i noen tilfeller enkeltindivider og ikke samleprøver som ble analysert). Selv om det var en økende trend i Sum PBDE7 med økende fettinnhold, var det ingen signifikant korrelasjon hos kveite (Figur 14).

Sum PBDE 7 (µg/kg våtvekt) N snitt SD min maks median Q25 Q75
Atlantisk kveite 13 0,025 0,024 0,008 0,10 0,019 0,015 0,023
Makrell 47 0,27 0,09 0,14 0,56 0,25 0,20 0,33
Sild 38 0,23 0,10 0,068 0,46 0,20 0,17 0,28
Brisling 3 0,44 0,30 0,18 0,76 0,38 0,18 0,76
Breiflabb 2 0,018 0,005 0,014 0,021 0,017 0,014 0,021
Uer 1 0,093            
Blåkveite 1 0,13            
Berggylt 1 0,004            
Rognkjeks 1 0,38            
Totalt 107 0,22 0,13 0,008 0,76 0,214 0,145 0,309
Tabell 15. Konsentrasjon (µg/kg våtvekt) av sum PBDE7 i de ulike analyserte fiskeartene. Resultatene er vist som antall prøver (N), gjennomsnitt, standardavvik (SD) minste (min) og største verdi (maks), median samt nedre og øvre kvartil (Q25 og Q75). Sum PBDE7 er summen (UB) av PBDE-28, -47, -99, -100, -153, -154 og -183.

Makrell hadde høyere konsentrasjoner av sum PBDE7 i region Nord enn i begge de to regionene lenger sør (Figur 12). For makrell var det imidlertid ingen sammenhenger mellom konsentrasjoner av sum PBDE7 og gjennomsnittsstørrelse eller fettinnhold i samleprøvene (Figur 13, Figur 14), som kan forklare forskjellene. Forskjellene kan muligens skyldes ulike faktorer som hvor fisken er tatt (f.eks. kystnært eller åpent hav), årstid eller hva fisken har spist.

For sild var det betydelig høyere konsentrasjoner av Sum PBDE7 i sild fra region Sør og Vest (mest Nordsjøsild) enn i sild fra de to andre regionene (trolig mest NVG-sild) (Figur 12). Det var positiv sammenheng mellom Sum PBDE7 og både størrelse og fettinnhold for sild fra region Nord, men ingen signifikant sammenheng for sild fra regionene Midt eller Sør og Vest (Figur 13 , Figur 14). Sild fra region Sør og Vest hadde høyere konsentrasjoner av Sum PBDE7 enn sild fra region Midt og Nord, uavhengig av både størrelse og fettinnhold.

 

Konsentrasjon av PBDE (Sum PBDE7, µg/kg våtvekt) i henholdsvis atlantisk kveite, makrell og sild, fordelt på de tre regionene Nord, Midt og Sør og Vest (kveite kun Nord og Midt). Boksplottene viser median, kvartiler og minste og største verdi utenom uteliggere. Punktene markerer uteliggere.
Figur 12. Konsentrasjon av PBDE (Sum PBDE7, µg/kg våtvekt) i henholdsvis atlantisk kveite, makrell og sild, fordelt på de tre regionene Nord, Midt og Sør og Vest (kveite kun Nord og Midt). Boksplottene viser median, kvartiler og minste og største verdi utenom uteliggere. Punktene markerer uteliggere.

 

Spredningsplott som viser sammenhengen mellom konsentrasjon av Sum PBDE7 (µg/kg våtvekt) og gjennomsnittlig vekt på fisken (snittvekt, g) i samleprøvene for hver av artene kveite, makrell og sild. De ulike fargene på punktene og regresjonslinjene markerer de ulike regionene.
Figur 13. Sammenhengen mellom konsentrasjon av Sum PBDE7 (µg/kg våtvekt) og gjennomsnittlig vekt på fisken (snittvekt, g) i samleprøvene for hver av artene kveite, makrell og sild. De ulike fargene på punktene og regresjonslinjene markerer de ulike regionene.

 

Spredningsplott som viser sammenhengen mellom konsentrasjon av Sum PBDE7 (µg/kg våtvekt) og fettinnhold (g/100 g) i samleprøvene for hver av artene kveite, makrell og sild. De ulike fargene på punktene og regresjonslinjene markerer de ulike regionene.
Figur 14. Sammenhengen mellom konsentrasjon av Sum PBDE7 (µg/kg våtvekt) og fettinnhold (g/100 g) i samleprøvene for hver av artene kveite, makrell og sild. De ulike fargene på punktene og regresjonslinjene markerer de ulike regionene.

 

3.2.3 - Bromerte flammehemmere; HBCD og TBBP-A

Resultater fra analyse for HBCD og TBBP-A er vist i Tabell 16. Konsentrasjonene av disse stoffene var svært lave.

Nivået av TBBP-A var under metodens målegrense (LOQ) på 0,04 µg/kg våtvekt i alle prøvene. For β-HBCD var bare en prøve av makrell og en prøve av brisling over LOQ, mens seks prøver av makrell og en brislingprøve var over LOQ for γ-HBCD.

Det var imidlertid flere av prøvene som hadde målbart resultat for α-HBCD, og for makrell og sild hadde alle unntatt én prøve målbare verdier (Tabell 16). Makrell hadde mer enn dobbelt så høy gjennomsnittskonsentrasjon av α-HBCD, og dermed sum HBCD, som sild. Brisling, med bare tre prøver analysert, hadde imidlertid høyest gjennomsnittskonsentrasjon av α-HBCD med 0,12 µg/kg, og den aller høyeste maksverdien med 0,26 µg/kg våtvekt.

Både for makrell og sild var det en tendens til høyere konsentrasjoner av α-HBCD i prøvene tatt ut i region Nord, enn i prøvene tatt ut i Midt og Sør og Vest (Figur 15). Dette var tydeligst for makrell. For makrell var det generelt positiv sammenheng mellom konsentrasjonen av α-HBCD og både snittvekt og fettinnhold (Figur 16). Og siden all makrellen tatt ut i Nord var store og relativt fete, var dette trolig forklaringen på at nivået var høyere i region Nord enn i de andre to regionene.

For sild var det en positiv korrelasjon mellom konsentrasjonen av α-HBCD og gjennomsnittlig vekt på fisken, mens det ikke var noen korrelasjon med fettinnhold når alle prøvene ses under ett. Når sild fra region Nord ble behandlet separat, var det imidlertid en god sammenheng mellom konsentrasjonen av α-HBCD og fettinnhold (Figur 16) i denne regionen. Det ser ut som om sild fra region Nord hadde litt høyere nivå av α-HBCD enn sild fra region Midt pga. høyere fettinnhold (Figur 16, nederst), mens nivået var høyere i Nord enn i Sør og Vest fordi fisken var større (Figur 16, øverst).


 

 

α-HBCD

β-HBCD

γ-HBCD

Sum HBCD (α, β, γ)

TBBP-A

Art

N

Snitt ± SD
min-maks (n ≥ LOQ)

Min-maks
(n ≥ LOQ)

Min-maks
(n ≥ LOQ)

Snitt ± SD
min-maks

maks

Makrell

47

0,084 ± 0,035
<0,006 - 0,17 (46)

<0,006 - 0,010 (1)

<0,006 - 0,011 (6)

0,087 ± 0,035
0 - 0,18

<0,04

Sild

40

0,030 ± 0,015
<0,006 - 0,070 (39)

<0,006

<0,006

0,030 ± 0,015
0 - 0,070

<0,04

Kveite

13

<0,006

<0,006

<0,006

0

<0,04

Brisling

3

0,12
0,028 - 0,26 (3)

<0,006 – 0,0064 (1)

<0,006 – 0,027 (1)

0,14
0,28 - 0,30

<0,04

Breiflabb

2

<0,006 – 0,0063 (1)

<0,006

<0,006

0 – 0,0063

<0,04

Blåkveite

1

0,021

<0,006

<0,006

0,021

<0,04

Uer

1

0,012

<0,006

<0,006

0,012

<0,04

Totalsum

107

0,060
<0,006 - 0,26 (91)

<0,006 – 0,0064 (2)

<0,006 - 0,027 (7)

0,053 ± 0,049
0 - 0,30

<0,04

Tabell 16. Resultat fra analyse av α-, β og γ-HBCD og lowerbound summen av disse (Sum HBCD), samt TBBP-A, i prøver av muskel av utvalgte fiskearter tatt ut i kontrollprogrammet for villfisk. Gjennomsnitt ± SD er gitt der mer enn 50 % av prøvene er over LOQ, ellers er minste (min) og største (maks) verdi gitt. Antall prøver med målbar konsentrasjon (n ≥ LOQ) er gitt i parentes der det er noen.

 

Variasjon i konsentrasjon av α -HBCD (alfa-HBCD, µ g/kg v å tvekt) i fiskemuskel mellom regioner, for makrell og sild. Boksplottene viser median, kvartiler og minste og st ø rste verdi utenom uteliggere. Punktene markerer uteliggere.
Figur 15. Variasjon i konsentrasjon av α -HBCD (alfa-HBCD, µg/kg våtvekt) i fiskemuskel mellom regioner, for makrell og sild. Boksplottene viser median, kvartiler og minste og største verdi utenom uteliggere. Punktene markerer uteliggere.

 

 

Sammenhengen mellom konsentrasjon av α -HBCD ( µ g/kg v å tvekt) og gjennomsnittlig vekt p å fisken (snittvekt, g, ø verst) og fettinnhold (g/100 g, nederst) i samlepr ø vene for henholdsvis makrell og sild. De ulike fargene p å punktene og regresjonslinjene markerer de ulike regionene.
Figur 16. Sammenhengen mellom konsentrasjon av α-HBCD (µg/kg våtvekt) og gjennomsnittlig vekt på fisken (snittvekt, g, øverst) og fettinnhold (g/100 g, nederst) i samleprøvene for henholdsvis makrell og sild. De ulike fargene på punktene og regresjonslinjene markerer de ulike regionene.

 


3.3 - Kartlegging - miljøgifter i brosme (og lange) fra fjorder

Det ble tatt prøver av til sammen 154 brosmer i Romsdalsfjorden, Storfjorden og Nordfjord, fordelt på ni ulike lokaliteter (Tabell 2, Figur 1). Det var stor variasjon i størrelse på brosmene, med lengder fra 41 til 102 cm og vekt fra 746 g til 11 kg (Tabell 27). Brosmene prøvetatt i Ytre Romsdalsfjord (R1) var størst, med gjennomsnittslengde på 82,8 cm, mens de minste brosmene, med snittlengder på 52,5 – 55,7 cm, ble tatt i midtre til indre deler av Storfjorden (S2-S4) (Figur 17).

I tillegg ble det tatt 11 prøver av lange fra lokalitetene S2 Vaksvika, S3 Stordalsfluda og S4 Liabygda i Storfjorden, og fra R2 Indre Romsdalsfjord (Tabell 2). Langene varierte i vekt fra 2,8 til 27 kg og i lengde fra 62 til 166 cm, og langene fra S2 Vaksvika var begge relativt store, hele 150 og 154 cm, mens de tre individene fra S4 Liabygda hadde lengder fra 88 til 166 cm (Tabell 28). De to langene fanget i Indre Romsdalsfjorden var de minste, med 62 og 75 cm.

 

Boksplott som viser variasjon i lengde på brosmene tatt ved de ulike lokalitetene. Boksene markerer median, minste og største verdi samt nedre og øvre kvartiler. Punktene markerer uteliggere.
Figur 17. Boksplott som viser variasjon i lengde på brosmene tatt ved de ulike lokalitetene. Boksene markerer median, minste og største verdi samt nedre og øvre kvartiler. Punktene markerer uteliggere.

 

3.3.1 - Totalkvikksølv og metylkvikksølv

Brosmene hadde konsentrasjoner av totalkvikksølv (THg) fra 0,092 til 1,4 mg/kg våtvekt og et samlet gjennomsnitt på 0,55 mg/kg (Tabell 17). Så mange som 78 brosmer, det vil si rundt 50 % av prøvene, hadde konsentrasjoner over grenseverdien på 0,5 mg/kg våtvekt. Metylkvikksølv varierte i konsentrasjon fra 0,089 til 1,3 mg/kg, med et samlet gjennomsnitt på 0,51 mg/kg. I gjennomsnitt var andelen metylkvikksølv av totalkvikksølv 93 %. Figur 18 viser at det er svært god lineær sammenheng mellom konsentrasjonen av metylkvikksølv og totalkvikksølv, og veldig få prøver avviker fra den rette linjen med noe lavere nivå av metylkvikksølv. Dette stemmer godt overens med det vi fant i ulike fiskearter i 2023, men der var gjennomsnittlig metylkvikksølvandel i brosme enda høyere, med 96 % (Frantzen m.fl., 2024c). Den videre presentasjonen av hvordan kvikksølvnivåene varierer, vil fokusere på totalkvikksølv, men metylkvikksølv fulgte akkurat samme mønster.

Resultatene for totalkvikksølv og metylkvikksølv i de til sammen 11 langene som ble prøvetatt i Indre Romsdalsfjorden og ved de tre innerste lokalitetene i Storfjorden, er vist i Tabell 18. Gjennomsnittlig konsentrasjon av totalkvikksølv per lokalitet varierte fra 0,14 mg/kg i Indre Romsdalsfjorden til 0,92 mg/kg i Vaksvika i Storfjorden. Totalgjennomsnittet for totalkvikksølv i lange var 0,42 mg/kg, og i alt tre fisk var over grenseverdien for mattrygghet på 0,5 mg/kg våtvekt. De tre langene som hadde konsentrasjon av totalkvikksølv over grenseverdien på 0,5 mg/kg, var alle svært store (Figur 19) med lengde fra 1,5 til 1,7 m og vekt fra 18 til 27 kg. Siden det var relativt få langer som ble analysert, vil det ikke bli gitt en inngående diskusjon av resultatene, men dette viser at også lange kan ha høye kvikksølvnivåer når de blir store. Metylkvikksølvandelen av totalkvikksølv i lange var i gjennomsnitt 97 %.

Det var høyest kvikksølvnivå i brosmene fra Romsdalsfjorden, med et gjennomsnitt for totalkvikksølv på 0,676 mg/kg, fulgt av Storfjorden med 0,51 mg/kg og Nordfjord med 0,49 mg/kg (Tabell 17). Gjennomsnittskonsentrasjon for enkeltlokaliteter varierte fra 0,31 mg/kg i Stordalsfluda til 0,74 mg/kg i både Ytre Romsdalsfjorden og Ytre Storfjorden. I Romsdalsfjorden var gjennomsnittet over grenseverdien ved begge de to lokalitetene (median kun over i Ytre Romsdalsfjord), i Storfjorden var snittet over kun i Ytre Storfjord og i Nordfjord var gjennomsnittet over grenseverdien bare ved den midterste lokaliteten, Stårheim.

Konsentrasjonen av kvikksølv i brosme var svært avhengig av størrelsen på fisken, og hunnfisk hadde gjennomgående høyere konsentrasjon enn hannfisk (Figur 20, Figur 21, Figur 22). Særlig brosmene som ble fisket i indre deler av Storfjorden (S3 Stordal og S4 Liabygda) var relativt små (Figur 17), noe som forklarer de relativt lave kvikksølvkonsentrasjonene der (Figur 21). Det er velkjent at kvikksølvnivået i fisk ofte øker med økende alder og størrelse, og hos brosme er dette tidligere vist flere ganger (Azad m.fl., 2019a, Azad, 2021, Frantzen m.fl., 2024b). Det har ikke tidligere vært fokus på forskjeller mellom kjønn, så det at hunner har høyere konsentrasjoner enn hanner, er en interessant observasjon. En mulig forklaring kan være at hunnene vokser saktere enn hannene og derfor er eldre ved samme størrelse. Brosme er vanskelig å aldersbestemme, og derfor har vi ikke aldersdata for denne fisken.

For å kunne sammenligne lokalitetene i fjordene, der lengde og kjønn ble tatt høyde for, er det gjennomført en kovariansanalyse (ANCOVA) separat for hanner og hunner. Resultatet er vist i Figur 23, der kvikksølvkonsentrasjon er justert for størrelse. De to ytterste av lokalitetene i Storfjorden, S1 og S2, og særlig S1, skiller seg ut med noe høyere lengdejusterte kvikksølvkonsentrasjoner enn de andre lokalitetene. Det var imidlertid ingen signifikante forskjeller mellom de ulike lokalitetene i Storfjorden når fiskens størrelse var justert for. I Romsdalsfjorden og i Nordfjord var det heller ingen forskjeller mellom de ulike lokalitetene. Det var flere signifikante forskjeller mellom lokalitetene blant hannfisk enn blant hunnfisk, trolig fordi det var mange flere hannfisk enn hunnfisk. Ut fra dette kan det se ut som om det er mer kvikksølvforurensning i ytre deler av Storfjorden enn i de øvrige undersøkte fjordområdene. Det er derimot ikke noe som tyder på noen økning innover i fjordene, slik som vi tidligere har sett i Hardangerfjorden og Sognefjorden (Frantzen og Måge, 2016, Azad m.fl., 2019a, Azad, 2021).

Uttaksområde, brosme

 

Snitt

SD

min

maks

Q25

median

Q75

>ML

R1 Ytre Romsdalsfjord

THg

0,74

0,21

0,39

1,2

0,56

0,74

0,90

21 (84%)

N = 25

MeHg

0,67

0,18

0,36

1,0

0,53

0,67

0,80

 

 

MeHg/THg (%)

91,3

2,7

85

95

89

92

93

 

R2 Indre Romsdalsfjord

THg

0,59

0,27

0,20

1,0

0,40

0,48

0,87

8 (44%)

N = 18

MeHg

0,54

0,24

0,19

0,89

0,38

0,45

0,81

 

 

MeHg/THg (%)

93,5

2,6

87

97

93

94

96

 

Romsdalsfjorden, tot

THg

0,68

0,25

0,20

1,2

0,47

0,67

0,90

29 (67%)

N = 43

MeHg

0,62

0,21

0,19

1,0

0,44

0,63

0,81

 

 

MeHg/THg (%)

92,2

2,8

85

97

91

93

94

 

S1 Ytre Storfjord

THg

0,74

0,29

0,39

1,4

0,49

0,65

0,87

18 (72%)

N = 25

MeHg

0,69

0,27

0,38

1,3

0,46

0,61

0,80

 

 

MeHg/THg (%)

92,7

1,1

90

95

92

93

93

 

S2 Storfjorden, Vaksvika

THg

0,48

0,36

0,16

1,3

0,22

0,34

0,57

4 (44%)

N = 9

MeHg

0,45

0,34

0,15

1,2

0,21

0,32

0,53

 

 

MeHg/THg (%)

94,9

1,1

93

96

94

95

96

 

S3 Storfjorden, Stordalsfluda

THg

0,31

0,16

0,14

0,68

0,20

0,27

0,37

2 (13%)

N = 16

MeHg

0,28

0,14

0,12

0,56

0,17

0,24

0,35

 

 

MeHg/THg (%)

88,8

7,8

65

96

87

92

93

 

S4 Storfjorden, Liabygda

THg

0,32

0,18

0,13

0,62

0,16

0,27

0,42

3 (23%)

N = 13

MeHg

0,31

0,17

0,13

0,59

0,15

0,26

0,40

 

 

MeHg/THg (%)

94,8

1,4

93

97

93

95

96

 

Storfjorden, tot

THg

0,51

0,32

0,13

1,4

0,25

0,45

0,65

27 (43%)

N = 63

MeHg

0,47

0,29

0,12

1,3

0,24

0,42

0,60

 

 

MeHg/THg (%)

92,4

4,6

65

97

92

93

94

 

N1 Nordfjord, Totland

THg

0,42

0,23

0,092

0,96

0,26

0,35

0,59

9 (39%)

N = 23

MeHg

0,40

0,22

0,089

0,90

0,24

0,33

0,57

 

 

MeHg/THg (%)

95,0

1,3

91

97

94

95

96

 

N2 Nordfjord Stårheim

THg

0,60

0,30

0,19

1,1

0,37

0,56

0,86

9 (53%)

N = 17

MeHg

0,55

0,26

0,17

0,98

0,36

0,49

0,79

 

 

MeHg/THg (%)

91,1

4,5

81

97

89

91

94

 

N3 Nordfjord, Anda

THg

0,46

0,28

0,11

0,86

0,19

0,49

0,67

4 (50%)

N = 8

MeHg

0,43

0,26

0,10

0,77

0,19

0,45

0,62

 

 

MeHg/THg (%)

93,9

2,6

90

97

92

94

96

 

Nordfjord, tot

THg

0,49

0,27

0,092

1,1

0,27

0,45

0,69

22 (46%)

N = 48

MeHg

0,46

0,24

0,089

0,98

0,25

0,43

0,63

 

 

MeHg/THg (%)

93,4

3,4

81

97

92

94

96

 

Alle områder, tot

THg

0,55

0,29

0,092

1,4

0,30

0,51

0,78

78 (51%)

N = 154

MeHg

0,51

0,27

0,089

1,3

0,29

0,48

0,72

 

 

MeHg/THg (%)

92,7

3,8

65

97

92

93

95

 


Tabell 17. Konsentrasjoner av totalkvikksølv (THg), metylkvikksølv (MeHg) og andel MeHg av THg (MeHg/THg, %) målt i filet av brosme fra ulike stasjoner og fjorder i 2024. Gjennomsnitt (snitt), standardavvik (SD), median, minste og største verdi (min, maks), nedre og øvre kvartil (Q25, Q75) og antall < LOQ er vist. Totalt antall (andel, %) prøver over grenseverdi for THg er også vist (>ML). Gjennomsnitt over grenseverdien i rødt.

 

Forholdet mellom totalkvikksølv og metylkvikksølv målt i filet av brosme fra Nordfjord, Storfjorden og Romsdalsfjorden. Lineær regresjonslinje er vist.
Figur 18. Forholdet mellom totalkvikksølv og metylkvikksølv målt i filet av brosme fra Nordfjord, Storfjorden og Romsdalsfjorden. Lineær regresjonslinje er vist.

Uttaksområde, lange

 

N

Snitt

min

maks

SD

Q25

median

Q75

>ML

R2 Indre Romsdalsfjorden

THg

2

0,14

0,13

0,15

0,01

0,13

0,14

0,15

0

 

MeHg

 

0,13

0,12

0,14

0,01

0,12

0,13

0,14

 

 

MeHg/THg (%)

 

96,0

95

97

0,8

95

96

97

 

S2 Storfjorden, Vaksvika

THg

2

0,92

0,83

1,0

0,13

0,83

0,92

1,0

2

 

MeHg

 

0,89

0,81

0,98

0,12

0,81

0,89

0,98

 

 

MeHg/THg (%)

 

96,6

97

97

0,1

97

97

97

 

S3 Storfjorden, Stordalsfluda

THg

4

0,25

0,16

0,37

0,09

0,19

0,23

0,30

0

 

MeHg

 

0,24

0,16

0,36

0,09

0,19

0,22

0,29

 

 

MeHg/THg (%)

 

97,5

97

98

0,6

97

97

98

 

S4 Storfjorden, Liabygda

THg

3

0,51

0,16

0,91

0,37

0,16

0,47

0,91

1

 

MeHg

 

0,50

0,16

0,88

0,36

0,16

0,46

0,88

 

 

MeHg/THg (%)

 

97,6

97

98

0,5

97

98

98

 

Totalt, alle områder

THg

11

0,42

0,13

1,0

0,34

0,16

0,23

0,83

3

 

MeHg

 

0,41

0,12

0,98

0,33

0,16

0,22

0,81

 

 

MeHg/THg (%)

 

97,1

95

98

0,8

97

97

98

 

Tabell 18. Konsentrasjoner av totalkvikksølv (THg), metylkvikksølv (MeHg) og andel MeHg av THg (MeHg/THg, %) målt i filet av lange fra ulike stasjoner og fjorder i 2024. Gjennomsnitt (snitt), standardavvik (SD), median, minste og største verdi (min, maks), nedre og øvre kvartil (Q25, Q75) er vist. Totalt antall (andel, %) prøver over grenseverdi for THg er også vist (>ML). Gjennomsnitt over grenseverdien er markert i rødt.

 

Forholdet mellom konsentrasjonen av totalkvikksølv (THg, mg/kg våtvekt) og fiskens lengde i langer prøvetatt i Romsdalsfjorden og Storfjorden. De to ulike fargene viser resultatene for hannfisk og hunnfisk. Den røde horisontale linjen markerer grenseverdien på 0,5 mg/kg våtvekt.
Figur 19. Forholdet mellom konsentrasjonen av totalkvikksølv (THg, mg/kg våtvekt) og fiskens lengde i langer prøvetatt i Romsdalsfjorden og Storfjorden. De to ulike fargene viser resultatene for hannfisk og hunnfisk. Den røde horisontale linjen markerer grenseverdien på 0,5 mg/kg våtvekt.

 

 

Forholdet mellom konsentrasjonen av totalkvikksølv (THg, mg/kg våtvekt) og fiskens lengde ved de to lokalitetene i Romsdalsfjorden. De to ulike fargene viser resultatene for hannfisk og hunnfisk. Den røde horisontale linjen markerer grenseverdien på 0,5 mg/kg våtvekt.
Figur 20. Forholdet mellom konsentrasjonen av totalkvikksølv (THg, mg/kg våtvekt) og fiskens lengde ved de to lokalitetene i Romsdalsfjorden. De to ulike fargene viser resultatene for hannfisk og hunnfisk. Den røde horisontale linjen markerer grenseverdien på 0,5 mg/kg våtvekt.

 

Forholdet mellom konsentrasjonen av totalkvikksølv (THg, mg/kg våtvekt) og fiskens lengde ved de fire lokalitetene i Storfjorden. De to ulike fargene viser resultatene for hannfisk og hunnfisk. Den røde horisontale linjen markerer grenseverdien på 0,5 mg/kg våtvekt.
Figur 21. Forholdet mellom konsentrasjonen av totalkvikksølv (THg, mg/kg våtvekt) og fiskens lengde ved de fire lokalitetene i Storfjorden. De to ulike fargene viser resultatene for hannfisk og hunnfisk. Den røde horisontale linjen markerer grenseverdien på 0,5 mg/kg våtvekt.

 

 

Forholdet mellom konsentrasjonen av totalkvikksølv (THg, mg/kg våtvekt) og fiskens lengde ved de tre lokalitetene i Nordfjord. De to ulike fargene viser resultatene for hannfisk og hunnfisk. Den røde horisontale linjen markerer grenseverdien på 0,5 mg/kg våtvekt.
Figur 22. Forholdet mellom konsentrasjonen av totalkvikksølv (THg, mg/kg våtvekt) og fiskens lengde ved de tre lokalitetene i Nordfjord. De to ulike fargene viser resultatene for hannfisk og hunnfisk. Den røde horisontale linjen markerer grenseverdien på 0,5 mg/kg våtvekt.

 

Lengdejusterte kvikksølvkonsentrasjoner (gjennomsnitt ± 95 % konfidensintervall) i brosme prøvetatt ved hver av de undersøkte fjordlokalitetene i Nordfjord (N1-N3), Romsdalsfjorden (R1 og R2) og Storfjorden (S1-S4). Nummerering går fra ytterst til innerst i fjordene. Ulke bokstaver på søylene markerer signifikante forskjeller (p<0,05) analysert med ANCOVA.
Figur 23. Lengdejusterte kvikksølvkonsentrasjoner (gjennomsnitt ± 95 % konfidensintervall) i brosme prøvetatt ved hver av de undersøkte fjordlokalitetene i Nordfjord (N1-N3), Romsdalsfjorden (R1 og R2) og Storfjorden (S1-S4). Nummerering går fra ytterst til innerst i fjordene. Ulke bokstaver på søylene markerer signifikante forskjeller (p<0,05).

 


3.3.2 - Andre metaller enn kvikksølv

Konsentrasjonen av de øvrige metallene som ble bestemt i filet av brosme, er vist i Tabell 19. For Cd, Pb, Ag, Co, Cr, Mo, Ni og V var nivåene svært lave, og størsteparten av prøvene hadde konsentrasjoner under LOQ. De høyeste målte verdiene for Cd og Pb var på henholdsvis 0,005 og 0,008 mg/kg våtvekt, langt under grenseverdiene på henholdsvis 0,05 og 0,3 mg/kg våtvekt.

For As, Cu, Fe, Mn, Se og Zn var konsentrasjonene i alle prøvene over LOQ. Arsen hadde høyest snittkonsentrasjon med 7,2 mg/kg og viste også størst variasjon (Tabell 19). Deretter var gjennomsnittskonsentrasjonen høyest i Zn, fulgt av Fe, Se, Mn og Cu. Disse er stoffer som alle regnes for å være essensielle næringsstoffer. Variasjonen mellom de ulike lokalitetene i konsentrasjon av hvert av disse grunnstoffene er vist i Figur 24, Figur 26, Figur 27, Figur 28, Figur 29, Figur 30. Det er i det videre kun gitt en kort beskrivelse av hovedtrendene for de ulike grunnstoffene. Resultatene for andre metaller enn kvikksølv i lange er vist i vedlegget (Tabell 29) og vil ikke bli gitt ytterlige kommentarer i teksten. Uorganisk arsen ble bare målt i brosme, ikke i lange.

N = 154 Snitt SD Median Min Maks Q25 Q75 Antall <LOQ Antall > grense-verdi
Cd     <0,0009 <0,0007 0,005 <0,0008 <0,0009 133 0
Pb     <0,004 <0,004 0,008 <0,004 <0,005 147 0
As 7,2 7,7 5,1 0,25 51 2,7 9,0 0  
As, uorg. (N = 80)       <0,0011 <0,0015     80  
% uorg.As/TAs       <0,0047 <0,56        
Cu 0,093 0,016 0,09 0,057 0,16 0,080 0,10 0  
Fe 0,94 0,77 0,81 0,48 8,4 0,64 1,0 0  
Mn 0,13 0,08 0,10 0,040 0,78 0,084 0,13 0  
Se 0,50 0,08 0,49 0,32 0,71 0,44 0,54 0  
Zn 3,6 0,7 3,5 2,41 6 3,1 4,1 0  
Ag     <0,002 <0,001 0,004 <0,002 <0,002 148  
Co     <0,004 <0,004 <0,005 <0,004 <0,005 153  
Cr     <0,005 <0,004 1,3 <0,004 0,0053 102  
Mo     <0,02 <0,01 0,066 <0,02 <0,02 153  
Ni     <0,05 <0,04 0,1 <0,05 <0,06 143  
V     <0,0009 <0,0007 0,019 <0,0009 0,0012 96  
Tabell 19. Samlet oversikt over totalgjennomsnitt for alle elementene analysert i filet av brosme. Gjennomsnitt (snitt), standardavvik (SD), median, minste og største verdi (min, maks), nedre og øvre kvartil (Q25, Q75) og antall < LOQ er vist. For kadmium og bly er antall prøver med konsentrasjoner over grenseverdiene vist.

Nivået av arsen i brosmefilet var i samme konsentrasjonsområde som det vi fant i kontrollprogrammet i denne rapporten, og også som i basisundersøkelsen for brosme (Frantzen og Måge, 2016). Konsentrasjonen var høyere i brosme fisket i Nordfjord enn i brosme fra Storfjorden og Romsdalsfjorden (Figur 24). Arsenkonsentrasjonen i brosmefilet var svakt negativt korrelert med fiskestørrelse (når inndelt etter kjønn, Figur 44) og svakt positivt korrelert med fettinnhold (Figur 45). Når både fiskens størrelse og fettinnhold ble korrigert for, var det fremdeles signifikant høyere konsentrasjon av arsen i Nordfjord enn i de andre to fjordene (Figur 25).

Åtti av prøvene av brosmefilet ble også analysert for uorganisk arsen. Konsentrasjonen av uorganisk arsen i alle prøvene var under LOQ (<0,0011 - 0,0015 mg/kg våtvekt), og uorganisk arsen utgjorde mellom <0,0047 og <0,56 % av totalarsen. Resultatene stemmer godt overens med resultatet for brosmeprøver tatt ut i kontrollprogrammet og analysert for både uorganisk og organiske arsenspesier (kap. 3.2.1) som også viste at det var svært liten andel uorganisk arsen, og at mesteparten av arsenet besto av arsenobetain. Det er mest sannsynlig tilfelle også i brosme fra disse fjordene.

 

Boksplott som viser variasjon i arsenkonsentrasjon (As, mg/kg våtvekt) i filet av brosme tatt ved de ulike lokalitetene i Nordfjord (N1-N3), Romsdalsfjorden (R1 og R2) og Storfjorden (S1-S4). Boksene markerer median, minste og største verdi samt nedre og øvre kvartiler. Punktene markerer uteliggere.
Figur 24. Boksplott som viser variasjon i arsenkonsentrasjon (As, mg/kg våtvekt) i filet av brosme tatt ved de ulike lokalitetene i Nordfjord (N1-N3), Romsdalsfjorden (R1 og R2) og Storfjorden (S1-S4). Boksene markerer median, minste og største verdi samt nedre og øvre kvartiler. Punktene markerer uteliggere.

 

 

Fett- og lengdejusterte arsenkonsentrasjoner i brosme prøvetatt ved hver av de undersøkte fjordene Nordfjord, Romsdalsfjorden og Storfjorden. De ulike bokstavene betyr at ANCOVA viser signifikante forskjeller.
Figur 25. Fett- og lengdejusterte arsenkonsentrasjoner i brosme prøvetatt ved hver av de undersøkte fjordene Nordfjord, Romsdalsfjorden og Storfjorden. De ulike bokstavene betyr at ANCOVA viser signifikante forskjeller.

 

 

Boksplott som viser variasjon i kobberkonsentrasjon (Cu, mg/kg våtvekt) i filet av brosme tatt ved de ulike lokalitetene i Nordfjord (N1-N3), Romsdalsfjorden (R1 og R2) og Storfjorden (S1-S4). Boksene markerer median, minste og største verdi samt nedre og øvre kvartiler. Uteliggere (outliers) er vist som prikker.
Figur 26. Boksplott som viser variasjon i kobberkonsentrasjon (Cu, mg/kg våtvekt) i filet av brosme tatt ved de ulike lokalitetene i Nordfjord (N1-N3), Romsdalsfjorden (R1 og R2) og Storfjorden (S1-S4). Boksene markerer median, minste og største verdi samt nedre og øvre kvartiler. Uteliggere (outliers) er vist som prikker.

 

Nivået av kobber i filet av brosme var svært lavt og varierte mellom lokalitetene som vist i Figur 26. Det var en svak positiv sammenheng mellom kobberkonsentrasjon og størrelse på fisken (Figur 45).

Konsentrasjonen av jern varierte lite med unntak av noen ekstremverdier («uteliggere»), men nivået så ut til å være noe høyere ved stasjon S2-S4 i indre Storfjorden enn ved de andre lokalitetene (Figur 27). Det var ingen sammenheng mellom fiskens størrelse og jernkonsentrasjonen (Figur 45).

Konsentrasjonene av Mn var svært lave med noen uteliggere (Figur 28). Det var ingen sammenheng mellom mangankonsentrasjon og fiskens størrelse (Figur 45).

 

Boksplott som viser variasjon i jernkonsentrasjon (Fe, mg/kg våtvekt) i filet av brosme tatt ved de ulike lokalitetene i Nordfjord (N1-N3), Romsdalsfjorden (R1 og R2) og Storfjorden (S1-S4). Boksene markerer median, minste og største verdi samt nedre og øvre kvartiler. Uteliggere (outliers) er vist som prikker.
Figur 27. Boksplott som viser variasjon i jernkonsentrasjon (Fe, mg/kg våtvekt) i filet av brosme tatt ved de ulike lokalitetene i Nordfjord (N1-N3), Romsdalsfjorden (R1 og R2) og Storfjorden (S1-S4). Boksene markerer median, minste og største verdi samt nedre og øvre kvartiler. Uteliggere (outliers) er vist som prikker.

 

 

Boksplott som viser variasjon i mangankonsentrasjon (Mn, mg/kg våtvekt) i filet av brosme tatt ved de ulike lokalitetene i Nordfjord (N1-N3), Romsdalsfjorden (R1 og R2) og Storfjorden (S1-S4). Boksene markerer median, minste og største verdi samt nedre og øvre kvartiler. Uteliggere (outliers) er vist som prikker.
Figur 28. Boksplott som viser variasjon i mangankonsentrasjon (Mn, mg/kg våtvekt) i filet av brosme tatt ved de ulike lokalitetene i Nordfjord (N1-N3), Romsdalsfjorden (R1 og R2) og Storfjorden (S1-S4). Boksene markerer median, minste og største verdi samt nedre og øvre kvartiler. Uteliggere (outliers) er vist som prikker.

 

Mediankonsentrasjonen av selen var ved de fleste stasjonene rundt 0,5 mg/kg våtvekt, men ved de tre innerste stasjonene i Storfjorden var medianverdiene lavere, rundt 0,40 - 0,45 mg/kg (Figur 29). I likhet med kvikksølv, var konsentrasjonen av selen positivt korrelert med fiskens lengde og høyere i hunner enn i hanner av samme størrelse (Figur 44, Figur 45). Det var imidlertid ikke noen korrelasjon mellom selen og kvikksølv i filet av brosme slik det ble observert i Hardangerfjorden (Azad et al., 2019a). Selenkonsentrasjonene her er på nivå med eller lavere enn det som ble registrert i brosme fra ytre Hardangerfjorden og i gjennomsnitt for brosme fra alle norske områder (Azad et al., 2019b), men lavere enn det som ble målt i innerste delen av Hardangerfjorden. Selen i høye nok konsentrasjoner kan muligens ha en beskyttende effekt mot negative helseeffekter av metylkvikksølv, men dette er så langt ikke godt nok vitenskapelig dokumentert til å kunne si med sikkerhet (WHO, 2024).

Konsentrasjonen av sink varierte mellom fjordene på samme måte som lengde (Figur 30, Figur 17). Det var også en positiv sammenheng mellom sink og fiskens lengde (Figur 44, Figur 45), men ingen forskjell mellom kjønnene.

 

Boksplott som viser variasjon i selenkonsentrasjon (Se, mg/kg våtvekt) i filet av brosme tatt ved de ulike lokalitetene i Nordfjord (N1-N3), Romsdalsfjorden (R1 og R2) og Storfjorden (S1-S4). Boksene markerer median, minste og største verdi samt nedre og øvre kvartiler. Uteliggere (outliers) er vist som prikker.
Figur 29. Boksplott som viser variasjon i selenkonsentrasjon (Se, mg/kg våtvekt) i filet av brosme tatt ved de ulike lokalitetene i Nordfjord (N1-N3), Romsdalsfjorden (R1 og R2) og Storfjorden (S1-S4). Boksene markerer median, minste og største verdi samt nedre og øvre kvartiler. Uteliggere (outliers) er vist som prikker.

 

 

Boksplott som viser variasjon i sinkkonsentrasjon (Zn, mg/kg våtvekt) i filet av brosme tatt ved de ulike lokalitetene i Nordfjord (N1-N3), Romsdalsfjorden (R1 og R2) og Storfjorden (S1-S4). Boksene markerer median, minste og største verdi samt nedre og øvre kvartiler. Uteliggere (outliers) er vist som prikker.
Figur 30. Boksplott som viser variasjon i sinkkonsentrasjon (Zn, mg/kg våtvekt) i filet av brosme tatt ved de ulike lokalitetene i Nordfjord (N1-N3), Romsdalsfjorden (R1 og R2) og Storfjorden (S1-S4). Boksene markerer median, minste og største verdi samt nedre og øvre kvartiler. Uteliggere (outliers) er vist som prikker.

 

3.3.3 - Perfluorerte alkylstoffer

Resultatene for alle målte PFAS-forbindelser i brosme prøvetatt i Nordfjord, Storfjorden og Romsdalsfjorden er oppsummert i vedlegget i Tabell 30. De aller fleste stoffene var under LOQ i de fleste prøvene, og PFHxS, PFBS, PFBA, PFDoDS, PFDS, PFHpA, PFHpS, PFNS, PFPeA, PFPeS, PFTrDA, PFUnDA og PFUnDS var under LOQ på 0,1, 0,2 eller 1 µg/kg våtvekt i alle prøvene.

Av de forbindelsene der det fantes målbare verdier, var det FOSA som hadde flest målbare verdier, med 121 prøver med konsentrasjon høyere enn eller lik LOQ. FOSA hadde en median på 0,17 µg/kg og en maksverdi på 0,82 µg/kg. For de andre stoffene med målbare verdier var det mellom 1 og 56 prøver med målbare verdier. PFHxA hadde én målbar verdi, og det var den høyeste enkeltkonsentrasjonen av en PFAS-forbindelse, med 2,1 µg/kg.

Konsentrasjonen av de fire PFAS som det er satt grenseverdier for, PFOS, PFOA, PFNA og PFHxS, samt summen av disse, Sum PFAS4, er oppsummert i Tabell 20 for hver lokalitet og totalt for hver fjord. PFHxS var under LOQ i alle prøvene. Det var klare forskjeller mellom lokalitetene i konsentrasjon av sum PFAS4, og hunner hadde stort sett høyere konsentrasjoner enn hannfisk (Figur 31). Det var imidlertid ingen klare sammenhenger mellom fiskens størrelse eller fettinnhold og konsentrasjon av PFAS-forbindelser (resultater ikke vist).

Sum PFAS4 varierte mellom lokalitetene på ulik måte i de tre fjordene (Tabell 20, Figur 31). I Romsdalsfjorden var medianverdiene lave ved begge lokalitetene, med 0,13 og 0,065 µg/kg ytterst og innerst. Selv om gjennomsnitt og median var høyest ytterst, var det stor variasjon og ingen reell forskjell mellom de to lokalitetene. I Storfjorden var det klart høyest konsentrasjoner ytterst i fjorden, med median av sum PFAS4 på 0,36 µg/kg, mens lenger inne i fjorden var medianverdiene null siden de fleste målingene av enkeltkongenere var <LOQ. I Nordfjord, på sin side, økte konsentrasjonen av sum PFAS4 fra ytterst til innerst, med median på 0 ytterst ved Totland, 0,22 µg/kg ved Stårheim og 0,86 µg/kg ved Anda. Anda hadde klart høyest sum PFAS4 av alle lokalitetene. En kjent kilde til PFAS er brannskum brukt mye i øvelser på flyplasser, og ved Anda er det en liten flyplass (Sandane Airport - Avinor) der det er rapportert at PFAS har blitt sluppet ut under brannøvelser (Avinor, 2019).

Ved Anda var det målbare konsentrasjoner av PFOS, PFOA og PFNA i mer enn 50% av prøvene, og gjennomsnittskonsentrasjonene var på henholdsvis 0,683, 0,549 og 0,506 µg/kg våtvekt (Tabell 20). For PFOS er grenseverdien på 2,0 µg/kg våtvekt, og ingen prøver var over denne grensen. For PFOA og PFNA var gjennomsnittsverdiene i filet av brosme fisket ved Anda høyere enn grenseverdiene på henholdsvis 0,20 og 0,50 µg/kg våtvekt. To av åtte enkeltfisk var over grenseverdien for PFNA og tre var over grenseverdien for PFOA. Gjennomsnittlig sum PFAS4 var under 2,0 µg/kg våtvekt, som er grenseverdien for summen, men to enkeltindivider var over grensen, med summer på henholdsvis 4,2 og 5,0 µg/kg. De samme to enkeltfiskene, som begge var hunner (Figur 31), hadde relativt høye konsentrasjoner av både PFNA, PFOA og PFOS, og de tre forbindelsene bidro omtrent like mye til summen. Dessverre ble det bare analysert åtte fisk fra Anda, av disse var bare to hunner, og et høyere antall kunne være ønskelig for å få enda sikrere data fra dette området.

Ved de øvrige lokalitetene var det ingen gjennomsnittskonsentrasjoner som var høyere enn grenseverdier, men enkeltfisk hadde konsentrasjoner over én eller flere av grenseverdiene. Ved Stårheim, litt lenger ute i Nordfjorden enn Anda, hadde tre av 18 fisk konsentrasjoner av PFOA over grenseverdien og én av disse hadde også PFNA over grenseverdien, med 0,57 µg/kg, og sum PFAS4 like over grenseverdien med 2,1 µg/kg. Også her var det bare hunnfisk som hadde konsentrasjoner over grenseverdiene.

I Ytre Romsdalsfjorden hadde tre fisk, alle hunner, PFNA over grenseverdien på 0,5 µg/kg og to fisk var over grenseverdien for PFOA på 0,2 µg/kg. To av disse var de samme to fiskene. Én av dem hadde også sum PFAS4 på 2,2 µg/kg og altså over grenseverdien som gjelder summen. I prøvene fra Ytre Romsdalsfjorden var det PFNA som bidro mest til summen.

 

PFOS

PFOA

PFNA

PFHxS

Sum PFAS4

Grenseverdier (EU 2023/915)

2,0

0,20

0,50

0,20

2,0

Enhet µg/kg våtvekt

Snitt* (Median)
Min-maks (n>LOQ)

Snitt* (Median)
Min-maks (n>LOQ)

Snitt* (Median)
Min-maks (n>LOQ)

Min-maks

Snitt (Median)
Min-maks

R1 Ytre Romsdalsfjorden
N = 25

<0,2
<0,2 - 0,60 (5)

<0,1
<0,1 - 0,55 (6)

0,23 (0,13)
<0,1 - 1,1 (15)

<0,1 - <0,1

0,31 (0,13)
0 - 2,2

R2 Indre Romsdalsfjorden
N = 18

<0,2
<0,2 - 0,28 (4)

<0,1
<0,1 - 0,13 (3)

0,16 (0,11)
<0,1 - 0,49 (9)

<0,1 - <0,1

0,19 (0,065)
0 - 0,75

Romsdalsfjorden, tot
N = 43  

<0,2
<0,2 - 0,60 (9)

<0,1
<0,1 - 0,55 (9)

0,20 (0,12)
<0,1 - 1,1 (24)

<0,1 - <0,1

0,26 (0,13)
0 - 2,2

S1 Ytre Storfjorden
N = 25

0,30 (0,25) 
<0,2 - 0,70 (17)

<0,1
<0,1 - 0,31 (11)

0,17 (0,14)
<0,1 - 0,44 (15)

<0,1 - <0,1

0,45 (0,36)
0 - 1,4

S2 Storfjorden, Vaksvika
N = 9

<0,2
<0,2 - <0,2 (2)

<0,1
<0,1 - <0,1 (0)

<0,1
<0,1 - <0,1 (0)

<0,1 - <0,1

0,068 (0)
0 - 0,38

S3 Storfjorden, Stordalsfluda
N = 10

<0,2
<0,2 - 0,24 (1) 

<0,1 <0,1 (0)

<0,1
<0,1 - <0,1 (0)

<0,1 - <0,1

0,024 (0)
0 - 0,24

S4 Storfjorden, Liabygda
N = 13

<0,2
<0,2 - 0,61 (5)

<0,1
<0,1 - <0,1 (0)

<0,1
<0,1 - 0,20 (3)

<0,1 - <0,1

0,17 (0)
0 - 0,77

Storfjorden, tot
N = 57 

<0,2
<0,2 - 0,70 (25) 

<0,1
<0,1 - 0,31 (11)

<0,1
<0,1 - 0,44 (18)

<0,1 - <0,1

0,25 (0)
0 - 1,4

N1 Nordfjord, Totland
N = 23

<0,2
<0,2 - 0,35 (5)

<0,1
<0,1 - 0,12 (1)

<0,1
<0,1 - 0,12 (3)

<0,1 - <0,1

0,079 (0)
0 - 0,59

N2 Nordfjord, Stårheim
N = 18

0,22 (0,22)
<0,2 - 0,34 (10)

<0,1
<0,1 - 0,47 (6)

<0,1
<0,1 - 0,57 (6)

<0,1 - <0,1

0,42 (0,22)
0 - 2,1

N3 Nordfjord, Anda
N = 8

0,68 (0,60)
<0,2 - 1,4 (7)

0,55 (0,15)
<0,1 - 2,0 (4)

0,51 (0,20)
<0,1 - 1,7 (5)

<0,1 - <0,1

1,6 (0,86)
0 - 5,0

Nordfjord, tot
N = 49 

<0,2
<0,2 - 1,4 (22) 

<0,1
<0,1 - 2,0 (11)

<0,1
<0,1 - 1,7 (14)

<0,1 - <0,1

0,46 (0)
0 - 5,0

Totalt, alle områder

N = 149 

<0,2
<0,2 - 1,4 (56) 

<0,1
<0,1 - 2,0 (31)

<0,1
<0,1 - 1,7 (56)

<0,1 - <0,1

0,32 (0)
0 - 5,0


Tabell 20. Konsentrasjon av perfluorerte alkylstoffer (PFAS) i filet av brosme fra Nordfjord, Storfjorden og Romsdalsfjorden i 2024. Resultat er vist for PFOS, PFOA, PFNA, PFHxS samt summen av disse (PFAS4), som det er gitt grenseverdier for (EU 915/2023). Antall analyserte prøver (N), antall målbare verdier (n > LOQ), gjennomsnitt*, median og minste og største verdi (min-maks) er vist for hver lokalitet og samlet per fjord. Verdier over grenseverdien er markert med rødt.

*Gjennomsnitt er gitt når mer enn 50 % av prøvene er ≥ LOQ.

 

 Boksplott av konsentrasjon av sum PFAS4 (lowerbound-summen av PFOS, PFOA, PFHxS og PFNA) i filet av brosmer prøvetatt i Nordfjord (N1-N3), Romsdalsfjorden (R1, R2) og Storfjorden (S1-S4). Nummerering på lokalitetene er stigende fra ytterst til innerst i fjordene. Boksplottet markerer median, nedre og øvre kvartiler og minste og største verdi. Prikkene markerer uteliggere. Rød horisontal linje markerer grenseverdien for sum PFAS4.
Figur 31. Boksplott av konsentrasjon av sum PFAS4 (lowerbound-summen av PFOS, PFOA, PFHxS og PFNA) i filet av brosmer prøvetatt i Nordfjord (N1-N3), Romsdalsfjorden (R1, R2) og Storfjorden (S1-S4). Nummerering på lokalitetene er stigende fra ytterst til innerst i fjordene. Boksplottet markerer median, nedre og øvre kvartiler og minste og største verdi. Prikkene markerer uteliggere. Rød horisontal linje markerer grenseverdien for sum PFAS4.

Blant brosmene fisket i Ytre Storfjorden var det fire av 25 fisk som hadde konsentrasjoner av PFOA over grenseverdien på 0,2 µg/kg, med mellom 0,21 og 0,31 µg/kg. Maksimumskonsentrasjonene av PFOS og PFNA var høyere, men siden grenseverdiene er høyere var ingen fisk over disse. Det var PFOS som hadde de høyeste konsentrasjonene og utgjorde størstedelen av summen i brosme fra Ytre Storfjorden. Blant brosmene fra Ytre Storfjorden med konsentrasjoner over grenseverdi var det én hunn og tre hanner. Selv om brosmer fra Anda totalt sett hadde de høyeste konsentrasjonene av sum PFAS4, så hadde hannfisk fra Ytre Storfjord og fra Anda omtrent like høye nivåer (Figur 31).

I prøver av brosme tatt ut i kontrollprogrammet (se kapittel 3.1.2) var det bare svært lave konsentrasjoner av PFAS med nesten alle prøvene under LOQ. I basisundersøkelsen for brosme i 2013-2015 ble det også målt PFAS under LOQ i nesten alle prøvene (Frantzen and Maage, 2016), men den gangen var LOQ-verdiene høye og lite egnet til å sammenligne med resultatene fra denne undersøkelsen.

Resultatene fra denne kartleggingen viser imidlertid tydelig at brosme kan akkumulere betydelige mengder PFAS i fileten i områder der det finnes forhøyede nivåer i miljøet, og at nivåene kan overskride grenseverdiene som gjelder ved omsetning og som er satt for å beskytte forbrukerne.

3.3.4 - Dioksiner, PCB og PBDE i lever

Konsentrasjoner i lever av brosme av de fettløselige organiske miljøgiftene dioksiner (PCDD/F), dioksinlignende PCB (dl-PCB), summen av dioksiner og dl-PCB (PCDD/F+dl-PCB), ikke-dioksinlignende PCB (PCB6) og polybromerte difenyletere (PBDE) er vist i Tabell 21 og Tabell 22.

Summen av dioksiner og dl-PCB varierte mellom prøvene fra 5,6 til 147 ng TE/kg våtvekt, med et totalgjennomsnitt ± standardavvik på 42,8 ± 28,3 ng TE/kg våtvekt. Gjennomsnittet var over det dobbelte av grenseverdien som gjelder ved omsetning av fiskelever til humant konsum, på 20 ng TE/kg våtvekt. Gjennomsnittlig konsentrasjon var dessuten over grenseverdien ved alle stasjonene, med variasjon fra 24,3 ng TE/kg i Ytre Storfjord, til 57,8 ng TE/kg ved Stårheim i Nordfjord. Gjennomsnittet for de tre fjordene var lavest i Storfjorden, med 34,0 ng TE/kg våtvekt, og høyest i Romsdalsfjorden med 49,8 ng TE/kg med Nordfjord like bak med 46,3 ng TE/kg. Sammenlignet med lever av brosme undersøkt i 2013-2015, lå konsentrasjonene rundt det samme nivået som ble målt i brosme fra Vestlandsfjordene Fensfjorden, Bjørnafjorden, Hardangerfjorden og Boknafjorden (Frantzen and Maage, 2016). Men nivået lå klart lavere enn det som ble målt i Sørfjorden ved Osterøy, der gjennomsnittet var på 83 ng TE/kg våtvekt. Sammenlignet med fjorder i Nord-Norge, lå nivået klart høyere. Brosme fra kartleggingsundersøkelsen, tatt ved kysten i område 07, som ligger utenfor Storfjorden og Romsdalsfjorden, hadde imidlertid en gjennomsnittskonsentrasjon på nærmere 40 ng TE/kg, og brosme tatt ute i havet i område 07 hadde et gjennomsnitt på rundt 30 ng TE/kg. Det var altså ikke alle fjordlokalitetene i denne undersøkelsen som hadde konsentrasjoner høyere enn det som er nivået langs kysten.

Dioksinlignende PCB utgjorde størstedelen av sum dioksiner og dl- PCB, med et samlet gjennomsnitt på 34,8 ng TE/kg våtvekt og variasjon i snitt mellom lokalitetene fra 17,2 til 47,4 ng TE/kg (Tabell 21). Variasjonen mellom fjordene var på samme måte som for summen av dioksiner og dl-PCB. Variasjonen i sum dl-PCB mellom enkeltlokalitetene er også vist i Figur 33, nederst. Figuren viser at det ikke var noe tydelig mønster mellom fjordene eller innad i fjordene, men at brosme fra N3 Anda i Nordfjord, S1 Ytre Storfjorden og S4 Liabygda i Storfjorden hadde lavere nivå av sum dl-PCB enn de andre lokalitetene. Mye av variasjonen skyldes egenskaper hos fisken, da konsentrasjonene av dl-PCB økte med lengden på fisken og var høyere hos hanner enn hos hunner (Figur 34). Det var ikke korrelasjon mellom fettinnhold i leveren og konsentrasjon av dl-PCB hos hverken hunner eller hanner. Når fiskens lengde ble korrigert for hos hanner, skilte R1 i Ytre Romsdalsfjord seg ut med lavere nivå av dl-PCB enn andre lokaliteter (resultat av statistisk analyse ikke vist). For hunnene var det lengdekorrigerte nivået av dl-PCB ved lokaliteten S3, Stordalsfluda i Storfjorden, høyere enn andre lokaliteter. Men det var kun to hunner fra denne lokaliteten, og den ene hadde svært høy konsentrasjon av sum dl-PCB, med 96 ng TE/kg våtvekt. Det vil derfor ikke, på dette grunnlaget, være riktig å konkludere med at denne lokaliteten var mer forurenset enn andre.

Sum PCDD/F i brosmelever hadde et samlet gjennomsnitt på 7,96 ng TE/kg, og gjennomsnitt for fjordene varierte fra 4,88 ng TE/kg i Storfjorden til 10,5 ng TE/kg i Romsdalsfjorden (Tabell 21). I Nordfjord var gjennomsnittet 9,15 ng TE/kg. Nivået var høyest ved N2 Nordfjord Stårheim og R2 Indre Romsdalsfjord, og lavest ved de tre innerste lokalitetene i Storfjorden, S2-S4, Vaksvika, Stordalsfluda og Liabygda. Disse tre stasjonene hadde også relativt små fisk og relativt lavt fettinnhold (Figur 17, Figur 32), derfor er det viktig å se konsentrasjonene i sammenheng med disse faktorene. Sum PCDD/F viste positiv sammenheng med både fiskens lengde og fettinnhold, men det var ingen forskjell mellom kjønnene (Figur 35). Når konsentrasjonene var korrigert for lengde og fettinnhold, var det ikke noen signifikante forskjeller mellom lokalitetene i nivå av sum PCDD/F (resultater ikke vist).

Enhet:
ng TE-2005/kg våtvekt

Sum PCDD/F
Snitt ± SD (Median)
Min-maks

Sum dl-PCB
Snitt ± SD (Median)
Min - maks

PCDD/F+dl-PCB
Snitt ± SD (Median)
Min-maks

Grenseverdi

 

 

20

R1 Romsdalsfjord, Ytre
N = 12

9,60 ± 4,27 (9,0)
5,2 - 20

34,0 ± 18,1 (29)
10 - 76

43,6 ± 21,7 (39)
17 - 90

R2 Romsdalsfjord, Indre
N = 12

11,4 ± 4,1 (10)
5,6 – 18

44,6 ± 27,4 (41)
12 - 103

56,0 ± 29,7 (51)
21 - 120

Romsdalsfjorden, totalt
N = 24

10,5 ± 4,2 (9,5)
5,2 - 20

39,3 ± 23,4 (36)
10 - 103

49,8 ± 26,2 (44)
17 - 120

S1 Storfjord, Ytre
N = 8

7,16 ± 3,56 )6,7)
3,1 – 12

17,2 ± 8,7 (19)
2,0 - 30

24,3 ± 11,5 (27)
5,6 - 37

S2 Storfjorden, Vaksvika
N = 6

4,30 ± 2,55 (3,8)
1,6 - 7,9

20,7 ± 16,5 (14)
4,6 - 42

25,0 ± 17,1 (18)
6,2 - 47

S3 Storfjorden, Stordalsfluda
N = 8

4,12 ± 1,50 (4,4)
1,6 - 5,8

40,6 ± 24,2 (35)
16 - 96

44,7 ± 25,0 (41)
20 - 102

S4 Storfjorden, Liabygda
N = 7

3,62 ± 0,88 (4,0)
2,2 - 4,3

36,9 ± 15,6 (36)
14 - 63

40,5 ± 16,2 (38)
16 - 67

Storfjorden, totalt
N = 29

4,88 ± 2,68 (4,2)
1,6 - 12

29,1 ± 19,4 (24)
2,0 - 96

34,0 ± 19,6 (35)
5,6 - 102

N1 Nordfjord, Totland
N = 8

8,80 ± 4,16 (9,3)
2,2 – 16

33,6 ± 14,3 (36)
13 - 51

42,4 ± 16,9 (45)
15 - 67

N2 Nordfjord, Stårheim
N = 8

10,3 ± 4,7 (10)
5,0 - 19

47,4 ± 41,6 (37)
8,8 - 129

57,8 ± 43,6 (52)
14 - 143

N3 Nordfjord, Anda
N = 8

8,30 ± 1,87 (8,3)
6,2 – 11

30,5 ± 42,9 (17)
7,8 - 136

38,8 ± 44,0 (25)
18 - 147

Nordfjord, totalt
N = 24

9,15 ± 3,72 (8,8)
2,2 - 19

37,1 ± 34,7 (20)
7,8 - 136

46,3 ± 36,4 (30)
14 - 147

Alle områder totalt
N = 77

7,96 ± 4,28 (7,4)
1,6 - 20

34,8 ± 26,2 (27)
2,0 - 136

42,8 ± 28,3 (36)
5,6 - 147


Tabell 21. Konsentrasjoner (ng TE/kg våtvekt) av summen av dioksiner og furaner (Sum PCDD/F), summen av dioksinlignende PCB (Sum dl-PCB) samt summen av dioksiner, furaner og dioksinlignende PCB (PCDD/F + dl-PCB) i lever av brosme prøvetatt ved ulike lokaliteter i Romsdalsfjorden, Storfjorden og Nordfjord. Gjennomsnitt ± standardavvik (Snitt ± SD), median, samt minste og største verdi (min - maks) er oppgitt. Gjennomsnitt over grenseverdien er markert i rødt.

 

Boksplott som viser fettinnhold (g/100 g) i lever av brosme prøvetatt ved ulike lokaliteter i Nordfjord (N1-N3), Romsdalsfjorden (R1, R2) og Storfjorden (S1-S4). Median, nedre og øvre kvartil, minste og største verdi samt uteliggere er vist.
Figur 32. Boksplott som viser fettinnhold (g/100 g) i lever av brosme prøvetatt ved ulike lokaliteter i Nordfjord (N1-N3), Romsdalsfjorden (R1, R2) og Storfjorden (S1-S4). Median, nedre og øvre kvartil, minste og største verdi samt uteliggere er vist.

 

 

oksplott som viser konsentrasjoner (ng TE/kg våtvekt) av sum dioksiner og furaner (Sum PCDD/F) og sum dioksinlignende PCB (sum dl-PCB) i lever av brosme prøvetatt ved ulike lokaliteter i Nordfjord (N1-N3), Romsdalsfjorden (R1, R2) og Storfjorden (S1-S4). Stigende tall fra ytterst til innerst i fjordene. Median, nedre og øvre kvartil, minste og største verdi samt uteliggere er vist.
Figur 33. Boksplott som viser konsentrasjoner (ng TE/kg våtvekt) av sum dioksiner og furaner (Sum PCDD/F) og sum dioksinlignende PCB (sum dl-PCB) i lever av brosme prøvetatt ved ulike lokaliteter i Nordfjord (N1-N3), Romsdalsfjorden (R1, R2) og Storfjorden (S1-S4). Stigende tall fra ytterst til innerst i fjordene. Median, nedre og øvre kvartil, minste og største verdi samt uteliggere er vist.

 

 

Forholdet mellom konsentrasjon i brosmelever av sum dioksinlignende PCB (Sum dl-PCB, ng TE/kg våtvekt) og henholdsvis fettinnhold (g/100 g, venstre) og fiskens lengde (cm, høyre). De to fargene representerer hunn- og hannfisk.
Figur 34. Forholdet mellom konsentrasjon i brosmelever av sum dioksinlignende PCB (Sum dl-PCB, ng TE/kg våtvekt) og henholdsvis fettinnhold (g/100 g, venstre) og fiskens lengde (cm, høyre). De to fargene representerer hunn- og hannfisk.

 

 

Forholdet mellom konsentrasjon i brosmelever av sum dioksiner og furaner (Sum PCDD/F, ng TE/kg våtvekt) og henholdsvis fettinnhold (g/100 g, venstre) og fiskens lengde (cm, høyre). De to fargene representerer hunn- og hannfisk.
Figur 35. Forholdet mellom konsentrasjon i brosmelever av sum dioksiner og furaner (Sum PCDD/F, ng TE/kg våtvekt) og henholdsvis fettinnhold (g/100 g, venstre) og fiskens lengde (cm, høyre). De to fargene representerer hunn- og hannfisk.

 

Konsentrasjoner i brosmelever av ikke-dioksinlignende PCB er oppsummert i Tabell 22 som både sum PCB6, som det er gitt en grenseverdi for mattrygghet for, og sum PCB7, som oftest blir benyttet som en indikator for PCB-forurensning i miljøsammenheng. Siden de to summene varierer på samme måte, er resultatene her beskrevet i hovedsak for PCB6. Gjennomsnittlig konsentrasjon av sum PCB6 i brosmelever fra fjordene totalt, var 727 µg/kg våtvekt, mer enn tre ganger grenseverdien som gjelder mattrygghet på 200 µg/kg våtvekt. Blant enkeltindivider varierte konsentrasjonen fra 52 til hele 4650 µg/kg våtvekt. Gjennomsnitt for de tre fjordene var 602 µg/kg i Storfjorden, 664 µg/kg i Nordfjord og 948 µg/kg i Romsdalsfjorden, og gjennomsnittlig konsentrasjon av PCB6 per lokalitet varierte fra 347 ved N1 Totland i Nordfjord til 1059 µg/kg ved N3 Anda i Nordfjord. Konsentrasjonene i de tre fjordene var omtrent på nivå med det som tidligere ble målt i Fensfjorden, Bjørnafjorden og Boknafjorden, men lavere enn det som ble målt i brosme fra Sørfjorden ved Osterøy, Hardangerfjorden og Skagerrak, og litt lavere enn i brosme fra Vestfjorden (Frantzen og Måge, 2016). Nivåene var klart høyere enn i brosme som ble fisket i åpent hav i område 07, det vil si i havområdene utenfor Møre.

Siden det var stor spredning, er det best å sammenligne medianer og kvartiler mellom lokalitetene, som i Figur 35. Mediankonsentrasjonen var høyest i R2 Indre Romsdalsfjord, S1 Ytre Storfjord og N2 Nordfjord Stårheim. For PCB6 var det, som for dl-PCB, høyere konsentrasjon hos hanner enn hos hunner (Figur 37). Det var ellers positiv korrelasjon mellom PCB6 og lengde hos hannfisk, men ikke hos hunnfisk, og det var ingen sammenheng mellom PCB6 og fettinnhold for noen av kjønnene. Når fiskens lengde var korrigert for, var det ingen signifikante forskjeller mellom lokalitetene i konsentrasjon av sum PCB6, hverken for hunner eller for hanner (resultater ikke vist).

Konsentrasjon av de bromerte flammehemmerne PBDE, representert ved summen av syv PBDE, sum PBDE7, er oppsummert i Tabell 22. Gjennomsnittskonsentrasjonene av sum PBDE7 i de tre fjordene var 40,1 µg/kg våtvekt i Nordfjord, 58,1 µg/kg i Storfjorden og 101 µg/kg i Romsdalsfjorden, og gjennomsnitt for enkeltlokalitetene varierte fra 10,8 µg/kg i S2 Vaksvika til 147 µg/kg i S1 Ytre Storfjorden. Gjennomsnittskonsentrasjonene i Romsdalsfjorden og i Ytre Storfjorden var på nivå med Skagerrak og Vestfjorden undersøkt i 2013-2015, men overgikk Vestlandsfjordene med de høyeste konsentrasjonene (Frantzen and Maage, 2016). Nivået var langt høyere enn konsentrasjonene målt i lever av brosme fra åpent hav i område 07.

De to stasjonene i Romsdalsfjorden og den ytterste lokaliteten i Storfjorden hadde de høyeste målte nivåene av sum PBDE7 (Figur 38), men deler av dette kan muligens forklares med fiskens størrelse og til dels kjønn. For hunner var det ingen sammenhenger mellom sum PBDE7 og verken størrelse eller fettinnhold (Figur 39). For hannfisk var det imidlertid en klar økning i sum PBDE7 med økende størrelse, men ingen sammenheng med fettinnhold. Blant stor fisk var konsentrasjonene høyere i hanner enn i hunner, men ikke blant de minste fiskene. Når lengde var justert for i hannfisk, skilte S1 Ytre Storfjorden seg fremdeles ut med høyere konsentrasjon av PBDE7 enn alle de andre stasjonene (resultater ikke vist). For hunnfisk var det ikke signifikante forskjeller mellom lokalitetene. Med andre ord, de relativt høye konsentrasjonene i Romsdalsfjorden kan i hovedsak forklares med stor størrelse på fisken (se Figur 17), mens i Ytre Storfjorden var nivået av PBDE høyt uavhengig av fiskens størrelse.

Enhet: µg/kg våtvekt

Sum PCB6

Sum PCB7

Sum PBDE7

Grenseverdi

200

 

 

Stasjon 

Snitt ± SD (Median) 
Min - maks

Snitt ± SD (Median)
Min - maks

Snitt ± SD (Median)
Min - maks

R1 Romsdalsfjord, Ytre
N = 12

908 ± 822 (554)
177 - 2809

974 ± 880 (598)
196 - 3058

95,3 ± 95,4 (64)
15 – 316

R2 Romsdalsfjord, Indre
N = 12

988 ± 635 (799)
299 - 2322

1076 ± 693 (860)
339 - 2528

107 ± 78 (76)
29 - 289

Romsdalsfjorden N = 24

948 ± 720 (612)
177 - 2809

1025 ± 777 (641)
196 - 3058

101 ± 85 (73)
15 - 316

S1 Storfjord, Ytre
N = 8

981 ± 694 (748)
181 - 2377

1012 ± 707 (783)
190 - 2434

147 ± 78 (133)
29 - 259

S2 Storfjorden, Vaksvika
N = 6

279 ± 294 (153)
52 - 795

315 ± 330 (172)
59 - 892

10,8 ± 14,0 (4,2)
1,7 – 38

S3 Storfjorden, Stordalsfluda
N = 8

555 ± 324 (531)
123 - 1030

621 ± 359 (595)
140 - 1126

26,0 ± 22,4 (21)
4,7 - 74

S4 Storfjorden, Liabygda
N = 8

511 ± 268 (497)
194 - 1033

576 ± 301 (564)
218 - 1166

33,5 ± 30,4 (27)
4.9 - 90

Storfjorden
N = 30

602 ± 488 (527)
52 - 2377

652 ± 504 (595)
58,7 - 2434

58,1 ± 71,1 (27)
1,7 - 259

N1 Nordfjord, Totland
N = 8

347 ± 239 (286)
106 - 794

382 ± 253 (324)
121 - 840

25,4 ± 28,4 (15)
3,0 - 92

N2 Nordfjord, Stårheim
N = 8

585 ± 367 (717)
140 - 1113

638 ± 409 (751)
147 - 1267

38,9 ± 25,6 (40)
9,4 – 82

N3 Nordfjord, Anda
N = 8

1059 ± 1515 (414)
225 - 4650

1115 ± 1615 (427)
236 - 4951

55,9 ± 67,2 (36,7)
15 – 220

Nordfjord
N = 24

664 ± 921 (392)
106 - 4650

712 ± 980 (423)
121 - 4951

40,1 ± 44,5 (29)
3,0 - 220

Alle omr. tot
N = 78

727 ± 721 (559)
52 - 4650

785 ± 768 (600)
59 - 4951

65,9±72,7 (40)
1,7 - 316


Tabell 22. Konsentrasjoner (µg/kg våtvekt) av summen av ikke-dioksinlignende PCB (Sum PCB6, Sum PCB7) og summen av 7 PBDE (Sum PBDE7) i lever av brosme prøvetatt ved ulike lokaliteter i Romsdalsfjorden, Storfjorden og Nordfjord. Gjennomsnitt ± standardavvik (Snitt ± SD), median, samt minste og største verdi (min - maks) er oppgitt. Gjennomsnitt over grenseverdien for sum PCB6 er markert i rødt.

 

Boksplott som viser konsentrasjoner av sum ikke-dioksinlignende PCB (Sum PCB6, µg/kg våtvekt) i lever av brosme prøvetatt ved ulike lokaliteter i Nordfjord (N1-N3), Romsdalsfjorden (R1, R2) og Storfjorden (S1-S4). Stigende tall fra ytterst til innerst i fjordene. Median, nedre og øvre kvartil, minste og største verdi samt uteliggere er vist.
Figur 36. Boksplott som viser konsentrasjoner av sum ikke-dioksinlignende PCB (Sum PCB6, µg/kg våtvekt) i lever av brosme prøvetatt ved ulike lokaliteter i Nordfjord (N1-N3), Romsdalsfjorden (R1, R2) og Storfjorden (S1-S4). Nummerering går fra ytterst til innerst i fjordene. Median, nedre og øvre kvartil, minste og største verdi samt uteliggere er vist.

 

 

Forholdet mellom konsentrasjon i brosmelever av sum ikke-dioksinlignende PCB (PCB6, µg/kg våtvekt) og henholdsvis fettinnhold (g/100 g, venstre) og fiskens lengde (cm, høyre). De to fargene representerer hunn- og hannfisk
Figur 37. Forholdet mellom konsentrasjon i brosmelever av sum ikke-dioksinlignende PCB (PCB6, µg/kg våtvekt) og henholdsvis fettinnhold (g/100 g, venstre) og fiskens lengde (cm, høyre). De to fargene representerer hunn- og hannfisk

 

 

Boksplott som viser konsentrasjoner av summen av 7 PBDE (Sum PBDE7, µg/kg våtvekt) i lever av brosme prøvetatt ved ulike lokaliteter i Nordfjord (N1-N3), Romsdalsfjorden (R1, R2) og Storfjorden (S1-S4). Stigende tall fra ytterst til innerst i fjordene. Median, nedre og øvre kvartil, minste og største verdi samt uteliggere er vist.
Figur 38. Boksplott som viser konsentrasjoner av summen av 7 PBDE (Sum PBDE7, µg/kg våtvekt) i lever av brosme prøvetatt ved ulike lokaliteter i Nordfjord (N1-N3), Romsdalsfjorden (R1, R2) og Storfjorden (S1-S4). Stigende tall fra ytterst til innerst i fjordene. Median, nedre og øvre kvartil, minste og største verdi samt uteliggere er vist.

 

 

Forholdet mellom konsentrasjon i brosmelever av sum 7 PBDE (PBDE7, µg/kg våtvekt) og henholdsvis fettinnhold (g/100 g, venstre) og fiskens lengde (cm, høyre). De to fargene representerer hunn- og hannfisk
Figur 39. Forholdet mellom konsentrasjon i brosmelever av sum 7 PBDE (PBDE7, µg/kg våtvekt) og henholdsvis fettinnhold (g/100 g, venstre) og fiskens lengde (cm, høyre). De to fargene representerer hunn- og hannfisk

 

4 - Konklusjoner

4.1 - Kontrollprogrammet for villfisk

Kontrollprogram for villfisk ble for første gang gjennomført i 2024, for å oppfylle kravene gitt i EUs reguleringer 2022/931 og 2022/932 .

195 samleprøver av filet av ulike fiskearter tatt ut ved fiskemottak langs hele norskekysten ble analysert for Hg, Cd og Pb samt PFAS, mens 109 prøver, i hovedsak i fete fiskearter, ble analysert for dioksiner og dl-PCB, samt ikke-dioksinlignende PCB, sum PCB6. Resultatene viste at to prøver, en samleprøve av brosme og en samleprøve av lange, hadde konsentrasjoner av kvikksølv over grenseverdien på 0,5 mg/kg våtvekt. Kvikksølvkonsentrasjonene var ellers generelt høyest i breiflabb, brosme og lange og lavest i makrell, sild og brisling. Konsentrasjonene økte med gjennomsnittsstørrelsen på fisken.

Nivået av kadmium var svært lavt og under LOQ i mange av prøvene. Konsentrasjonene var høyest i makrell og brisling. Bly var under LOQ i 191 av 195 analyserte prøver.

Nivåene av PFAS var generelt lave i muskelprøver av villfisk tatt ut på mottak. Av de fire PFAS det er satt grenseverdier for, var de fleste prøvene under LOQ for PFOA, PFNA og PFHxS. Flere prøver viste målbare verdier for PFOS, og den høyeste målte verdien var i brisling, fulgt av atlantisk kveite og torsk. Også sum PFAS4 var høyest i brisling, fulgt av kveite og torsk.

Dioksiner og PCB ble bestemt i 47 prøver av makrell, 40 prøver av sild, 13 prøver av atlantisk kveite og 3 prøver av brisling. I tillegg ble to prøver av breiflabb og en prøve av hver av artene uer, blåkveite, berggylt og rognkjeks analysert for dette. Av artene der mer enn en prøve ble analysert, hadde brisling høyest gjennomsnittkonsentrasjoner av både sum dioksiner og dl-PCB og sum PCB6, etterfulgt av makrell og sild. Atlantisk kveite hadde uventet lave konsentrasjoner av både dioksiner, dl-PCB og sum PCB6, trolig fordi det var relativt små kveiter i prøvene, og det var en positiv sammenheng mellom størrelse og konsentrasjoner av disse stoffene. Generelt bidro dl-PCB mer til summen av dioksiner og dl-PCB, enn dioksiner, men for sild var det omtrent like høye konsentrasjoner av både dioksiner og dl-PCB.

4.2 - Kartlegging - miljøgifter uten grenseverdi

Prøvene eller deler av prøvene tatt ut i kontrollprogrammet, ble analysert for flere stoffer i kartleggingsdelen av dette prosjektet. Uorganisk arsen ble bestemt i alle prøvene og resultatene bekreftet at konsentrasjonene av uorganisk arsen er svært lave i norsk fisk, med konsentrasjoner opp til 0,020 mg/kg, der den høyeste konsentrasjonen og høyest medianverdi ble målt i makrell. Siden nivået av totalarsen var lavt i makrell (2,1 mg/kg), var dermed også prosentvis andel uorganisk arsen av totalarsen høyest i makrell, med en median på 0,4 %.

Vannløselige former av organisk arsen ble bestemt i totalt 83 prøver av torsk, kveite, hyse, makrell og sild. Konsentrasjonene av arsenokolin, tetrametylarsoniumion og trimetylarsenoksid var under LOQ i de aller fleste prøvene. For torsk, kveite og hyse var arsenobetain dominerende, som forventet, med en gjennomsnittlig andel av totalarsen på henholdsvis 73 %, 86 % og 71 %. For makrell og sild utgjorde arsenobetain henholdsvis 6 % og 22 % av totalmengden arsen. Dimetylarsinat (DMA(V)) forekom i målbare konsentrasjoner og utgjorde 1,3 % av totalarsen for makrell og sild. Det en stor andel av totalarsen som ikke ble identifisert, og er «ukjente» arsenforbindelser i disse fete fiskeartene, og det kan sannsynligvis være lipidløselig arsen (arsenolipider). Det finnes fra før av lite dokumentasjon på nivåene av organiske arsenformer i villfanget fisk.

Prøvene ble også analysert for bromerte flammehemmere, herunder PBDE, α-, β- og γ-HBCD og TBBP-A for å øke dokumentasjonen for konsentrasjonene av disse stoffene. Av arter som det ble tatt mer enn en prøve av, var nivået av PBDE høyest i brisling, fulgt av makrell og sild, men nivåene var generelt lave. Som for dioksiner og PCB, var nivåene målt i kveite uventet lave. Konsentrasjonen av sum PBDE7 i sild var klart høyere i prøver tatt ut i region Sør og Vest enn i prøver tatt ut lenger nord, selv om fisken i prøvene var mindre. Det samme mønsteret ble ikke sett for α-HBCD, der konsentrasjonene var høyest i sild tatt ut i region Nord.

4.3 - Kartlegging - miljøgifter i brosme fra fjorder

Brosme fra fjorder på Vestlandet har tidligere vist høye konsentrasjoner av kvikksølv i filet. Analyser av filet fra 154 brosmer prøvetatt ved til sammen ni ulike lokaliteter i Romsdalsfjorden, Storfjorden og Nordfjorden, viste også relativt høye kvikksølvkonsentrasjoner. Nivået var høyest i Romsdalsfjorden, med 0,676 mg/kg våtvekt, som er over grenseverdien på 0,5 mg/kg. Konsentrasjonene i brosme fra Storfjorden og Nordfjord var i gjennomsnitt like over og under grenseverdien.

Det var ingen økende trend fra ytterst til innerst i fjordene, og høyest kvikksølvnivåer ble målt i brosme fra Ytre Romsdalsfjorden og Ytre Storfjord, med gjennomsnitt på 0,74 mg/kg begge steder. Konsentrasjonene økte med økende lengde på fisken og var høyere i hunnfisk enn i hannfisk. Når lengde var korrigert for, var det for hunnfisk nesten ingen forskjeller i kvikksølvnivå mellom lokalitetene. Hannfisk fisket ytterst i Storfjorden hadde signifikant høyere lengdejustert kvikksølvnivå enn hanner fra alle lokalitetene i Romsdalsfjorden og Nordfjord, men ikke signifikant høyere enn i andre deler av Storfjorden. Metylkvikksølv utgjorde mellom 65 % og 97 % av totalkvikksølv, med gjennomsnitt ± standardavvik på 92,7 ± 3,8 %, og det var en god lineær korrelasjon mellom konsentrasjonene av totalkvikksølv og metylkvikksølv.

Konsentrasjonene av arsen varierte mellom fjordene og var høyere i brosme fra Nordfjord enn i de to andre fjordene, når lengde og fettinnhold i fisken var tatt høyde for. Nivået av uorganisk arsen var under LOQ i alle prøvene.

Resultater er ellers rapportert for en lang rekke andre metaller i filet, der konsentrasjonene av kadmium, bly, sølv, kobolt, krom, molybden, nikkel og vanadium var under LOQ i de aller fleste prøvene. Konsentrasjonene av kadmium og bly i alle prøvene var også langt under grenseverdiene på henholdsvis 0,05 og 0,3 mg/kg våtvekt.

Resultatene fra PFAS-analyser i brosme fra disse tre fjordene viser at PFAS kan akkumuleres i filet av brosme dersom det finnes forhøyede nivåer i miljøet på grunn av forurensning. Det ble funnet forhøyede konsentrasjoner av PFAS ved flere av fjordlokalitetene i undersøkelsen, men særlig lokaliteten Anda i Nordfjord, nær Sandane lufthavn, skilte seg ut med relativt høye konsentrasjoner av både PFOS, PFOA og PFNA og gjennomsnittlige konsentrasjoner av PFOA og PFNA over grenseverdiene på 0,2 og 0,5 µg/kg våtvekt. Andre lokaliteter som hadde enkelte PFAS-forbindelser over grenseverdier i noen enkeltfisk var Stårheim i Nordfjord, Ytre Romsdalsfjorden og Ytre Storfjorden. Det var stort sett hunnfisk som hadde de høyeste konsentrasjonene av PFAS.

Lever fra 77 av brosmene ble analysert for dioksiner, PCB og PBDE, og bekreftet det som har vært funnet tidligere, at brosme akkumulerer høye konsentrasjoner av fettløselige organiske miljøgifter i leveren. Gjennomsnittskonsentrasjonene av sum dioksiner og dl-PCB varierte blant lokalitetene fra 24,3 til 57,8 ng TE/kg våtvekt, og var altså godt over grenseverdien ved alle lokalitetene. Dioksinlignende PCB dominerte med en langt større andel av summen enn dioksiner og furaner. Konsentrasjonene varierte med fiskens størrelse og til dels med fettinnholdet i leveren, og for dl-PCB var det høyere konsentrasjon i hannfisk enn i hunnfisk. Når kjønn og størrelse var tatt høyde for der det var relevant, var det få tydelige forskjeller mellom fjordene i konsentrasjon av dioksiner og dioksinlignende PCB. Konsentrasjonene av sum PCB6 i lever av brosme var også svært høye, med opp til 4650 µg/kg i en enkeltfisk og gjennomsnittskonsentrasjoner for lokalitetene fra 279 til 1059 µg/kg. Nivåene var altså alle steder godt over grenseverdien som gjelder PCB6 i lever, på 200 µg/kg våtvekt. Som for dl-PCB varierte konsentrasjonene med kjønn og fiskens størrelse, og når disse var korrigert for var det ingen betydelige forskjeller mellom lokalitetene. Konsentrasjonene av PBDE7 var høyest i Romsdalsfjorden og den ytterste lokaliteten i Storfjorden. For hannfisk, når størrelse var justert for, var det høyere konsentrasjon av PBDE7 i Ytre Storfjorden enn alle andre steder. For hunnfisk var det ikke signifikante forskjeller mellom lokalitetene.

Nivået av dioksiner og dioksinlignende PCB og ikke-dioksinlignende PCB i brosmelever er så høyt at det i henhold til grenseverdiene som gjelder fiskelever kan være en høy risiko ved inntak av lever av brosme fra disse fjordene. Dette understreker viktigheten av det allerede gjeldende rådet gitt av Mattilsynet som advarer mot å spise lever av selvfanget fisk tatt langs kysten (Ikke spis fiskelever fra selvfangst | Mattilsynet).

5 - Referanser

Avinor (2019). Reporting for Part 3 of the Norwegian Environment Agency's orders: Overall assessment of PFAS contamination at Avinor's airports. Assessment of local impacts. Environment-03. https://avinor.no/globalassets/_konsern/miljo-og-samfunn/pfos/rapporter/reporting-for-part-3_assessment-of-local-impacts.pdf

Azad, A.M., Frantzen, S., Bank, M.S., Johnsen, I.A., Tessier, E., Amouroux, D., Madsen, L. and Maage, A. (2019a). Spatial distribution of mercury in seawater, sediment, and seafood from the Hardangerfjord ecosystem, Norway. Science of the Total Environment 667: 622-637. https://doi.org/10.1016/j.scitotenv.2019.02.352 .

Azad, A.M., Frantzen, S., Bank, M.S., Nilsen, B.M., Duinker, A., Madsen, L. and Maage, A. (2019b). Effects of geography and species variation on selenium and mercury molar ratios in Northeast Atlantic marine fish communities. Science of the Total Environment 652: 1482-1496. https://doi.org/10.1016/j.scitotenv.2018.10.405

Azad, A.M., Frantzen, S., Bank, M., Maage, A. (2021). Mercury bioaccumulation pathways in tusk (Brosme brosme) from Sognefjord, Norway: Insights from C and N isotopes. Environmental Pollution 269: 115997. https://doi.org/10.1016/j.envpol.2020.115997 

Duinker, A., Frantzen, S., Nilsen, B.M., Måge, A., Nedreaas, K. and Julshamn, K. (2012). Basisundersøkelse av fremmedstoffer i nordsjøsild (Clupea harengus). Sluttrapport. NIFES-rapport. 26 s. https://www.hi.no/resources/publikasjoner/rapporter-nifes/2013/basisundersokelseavfremmedstofferinordsjosild.pdf

EFSA Panel on Contaminants in the Food Chain (2024). Risk assessment of complex organoarsenic species in food. EFSA Journal 22,  https://doi.org/10.2903/j.efsa.2024.9112 

Frantzen, S., Duinker, A., Julshamn, K., Nøttestad, L. and Maage, A. (2024a). Levels of mercury, arsenic, cadmium and lead in Northeast Atlantic mackerel (Scomber scombrus) from northern European waters. Marine Pollution Bulletin 200: 116060. https://doi.org/10.1016/j.marpolbul.2024.116060 .

Frantzen, S. and Maage, A. (2016). Fremmedstoffer i villfisk med vekt på kystnære farvann. Brosme, lange og bifangstarter. Gjelder tall for prøver samlet inn i 2013-2015. NIFES-rapport 116 s. https://www.hi.no/resources/publikasjoner/rapporter-nifes/2017/rapportvillfisk2016-1.pdf

Frantzen, S., Maage, A., Duinker, A., Julshamn, K. and Iversen, S.A. (2015). A baseline study of metals in herring (Clupea harengus) from the Norwegian Sea, with focus on mercury, cadmium, arsenic and lead. Chemosphere 127: 164-170. http://dx.doi.org/10.1016/j.chemosphere.2015.01.037

Frantzen, S., Måge, A., Iversen, S.A. and Julshamn, K. (2011). Seasonal variation in the levels of organohalogen compounds in herring (Clupea harengus) from the Norwegian Sea. Chemosphere 85(2): 179-187. http://dx.doi.org10.1016/j.chemosphere.2011.06.034 .

Frantzen, S., Måge, A. and Julshamn, K. (2009). Basisundersøkelse av fremmedstoffer i norsk vårgytende sild. NIFES-rapport . 24 s. https://imr.brage.unit.no/imr-xmlui/handle/11250/3056146

Frantzen, S., Måge, A. and Julshamn, K. (2010). Basisundersøkelse fremmedstoffer i nordøstatlantisk makrell (Scomber scombrus). Sluttrapport. NIFES-rapport 33 s. https://imr.brage.unit.no/imr-xmlui/handle/11250/3057019

Frantzen, S., Måge, A. and Sanden, M. (2024b). Kvikksølv i sjømat ved U-864 - Resultater fra overvåkning i 2022 og 2023. Rapport fra havforskningen. 2024-25. 33 s. https://www.hi.no/hi/nettrapporter/rapport-fra-havforskningen-2024-35

Frantzen, S., Nilsen, B.M. and Sanden, M. (2020). Fremmedstoffer i rødspette, breiflabb og lyr - Sluttrapport for kartleggingsprogrammet "Fremmedstoffer i villfisk med vekt på kystnære farvann" 2016-2018. Rapport fra havforskningen . 2020-20. 75 s. https://www.hi.no/en/hi/nettrapporter/rapport-fra-havforskningen-2020-20

Ho, Q.T., Frantzen, S., Nilsen, B.M., Nøstbakken, O.J., Azad, A.M., Duinker, A., Madsen, L. and Bank, M.S. (2023). Congener-specific accumulation of persistent organic pollutants in marine fish from the Northeast Atlantic Ocean. Journal of Hazardous Materials 457: 131758. https://doi.org/10.1016/j.jhazmat.2023.131758 .

Julshamn, K., Duinker, A., Nilsen, B.M., Frantzen, S., Maage, A., Valdersnes, S. and Nedreaas, K. (2013a). A baseline study of levels of mercury, arsenic, cadmium and lead in Northeast Arctic cod (Gadus morhua) from different parts of the Barents Sea. Marine Pollution Bulletin 67(1–2): 187-195. http://dx.doi.org/10.1016/j.marpolbul.2012.11.038 .

Julshamn, K., Duinker, A., Nilsen, B.M., Nedreaas, K. and Maage, A. (2013b). A baseline study of metals in cod (Gadus morhua) from the North Sea and coastal Norwegian waters, with focus on mercury, arsenic, cadmium and lead. Marine Pollution Bulletin 72(1): 264-273. http://dx.doi.org/10.1016/j.marpolbul.2013.04.018 .

Julshamn, K., Frantzen, S., Valdersnes, S. and Lunestad, B.T. (2011). Årsrapport 2010. Miljøgifter og mikroorganismer i fisk og fiskevarer - en rapport om dioksiner og dioksinlignende PCB, PCB7 polybromerte flammehemmere (PBDE), perfluorerte alkylstoffer (PFAS), tungmetaller og Salmonella i oljer til humant konsum, brisling og brislingprodukter fersk. NIFES-rapport 30 s. https://imr.brage.unit.no/imr-xmlui/bitstream/handle/11250/3057026/%C3%85rsrapport%202010%20Milj%C3%B8gifter%20og%20mikrorganismer%20i%20fisk%20og%20fiskevarer%20endelig%20versjon%20oktober%202011-alle%2Bam.pdf?sequence=1&isAllowed=y

Julshamn, K., Nilsen, B.M., Frantzen, S., Valdersnes, S., Maage, A., Nedreaas, K. and Sloth, J.J. (2012). Total and inorganic arsenic in fish samples from Norwegian waters. Food Additives & Contaminants Part B-Surveillance 5 (4): 229-235. https://doi.org/10.1080/19393210.2012.698312 .

Kvangarsnes, K. (2010). Kvikksølv i brosme fiska langs den norske kyststraumen - samanlikning med brosme fiska nær U-864 utanfor Fedje og frå dei opne havområda. Kjemisk Institutt Universitetet i Bergen. Master of science. 89 s.

Kvangarsnes, K., Frantzen, S., Julshamn, K., Sæthre, L.J., Nedreaas, K.H. og Måge, A. (2012). Distribution of Mercury in a Gadoid Fish Species, Tusk (Brosme brosme), and Its Implication for Food Safety. Journal of Food Science and Engineering 2(11): 603-615. http://www.davidpublishing.com/davidpublishing/journals/J6/food2011/shipin2011/521.html

Kögel, T., Frantzen, S., Bakkejord, J.A., Kjellevold, M. og Maage, A. (2021). Basisundersøkelse av fremmedstoffer i hyse - Tungmetaller, sporelementer og organiske miljøgifter i hyse ( Melanogrammus aeglefinus ) fra Skagerrak, Nordsjøen, Norskehavet og Barentshavet. Rapport fra Havforskningen . 2021-35. 60 s. https://www.hi.no/templates/reporteditor/report-pdf?id=48066&92043089

Nilsen, B.M., Bank, M.S. og Sanden, M. (2019a). Kvikksølv og organiske miljøgifter i Atlantisk kveite – Ny innsikt fra stabile isotoper av nitrogen og karbon. Rapport fra Havforskningen . 2019-20. 18 s. https://www.hi.no/hi/nettrapporter/rapport-fra-havforskningen-2019-20

Nilsen, B.M., Boitsov, S., Frantzen, S., Berg, E. og Sanden, M. (2020). Miljøgifter i atlantisk kveite fra kyst- og havområder i Norskehavet - 2019. Oppfølging av kartleggingsundersøkelsen for atlantisk kveite i 2013-2016. Rapport fra Havforskningen . 2020-35. https://www.hi.no/hi/nettrapporter/rapport-fra-havforskningen-2020-35

Nilsen, B.M., Duinker, A., Frantzen, S., Kögel, T., Måge, A. Sanden, M. og  Wiech, M. (2025). Evaluation of contaminants in wild-caught Norwegian seafood — Prioritization of species for risk-based monitoring.  Rapport fra havforskningen 2025-49.  https://www.hi.no/hi/nettrapporter/rapport-fra-havforskningen-en-2025-49

Nilsen, B.M., Frantzen, S., Julshamn, K., Nedreaas, K. og Måge, A. (2013). Basisundersøkelse av fremmedstoffer i sei (Pollachius virens) fra Nordsjøen. Sluttrapport for prosjektet "Fremmedstoffer i villfisk med vekt på kystnære farvann". NIFES-rapport 56 s. http://nifes.no/report/basisundersokelse-av-fremmedstoffer-i-sei-pollachius-virens-fra-nordsjoen/

Nilsen, B.M., Frantzen, S., Nedreaas, K. and Julshamn, K. (2010). Basisundersøkelse av fremmedstoffer i blåkveite (Reinhardtius hippoglossoides). NIFES-rapport 42 s. https://www.hi.no/hi/nettrapporter/rapporter-nifes/2010/basisundersokelse-av-fremmedstoffer-i-blakveite

Nilsen, B.M., Frantzen, S. and Sanden, M. (2019b). Undersøkelse av miljøgifter i atlantisk kveite fra kysten av Trøndelag og Nordland: Sammenligning med resultater fra kartleggingsundersøkelsen for atlantisk kveite i 2013-2016. Rapport fra Havforskningen . 2019-49. 25 s. https://www.hi.no/hi/nettrapporter/rapport-fra-havforskningen-2019-49

Nilsen, B.M., Julshamn, K., Duinker, A., Nedreaas, K. and Måge, A. (2012). Basisundersøkelse av fremmedstoffer i sei (Pollachius virens) fra Norskehavet og Barentshavet. Sluttrapport. NIFES-rapport 44 s. http://nifes.no/wp-content/uploads/2013/04/Basisundersokelse-sei-20131.pdf

Nilsen, B.M. and Måge, A. (2016). Oppfølging av basisundersøkelse blåkveite. Juni-2015. NIFES-rapport 19 s. https://issuu.com/nifes-pdf/docs/oppfolging-av-basisundersokelse-blakveite-2015?e=14823531%2F33893995

Nilsen, B.M., Nedreaas, K. and Måge, A. (2016). Kartlegging av fremmedstoffer i Atlantisk kveite (Hippoglossus hippoglossus). Sluttrapport for programmet "Miljøgifter i fisk og fiskevarer" 2013-2015. NIFES-rapport 82 s. https://www.hi.no/resources/publikasjoner/rapporter-nifes/2017/sluttrapportatlantiskkveite.pdf

Tibon, J., Silva, M., Sloth, J.J., Amlund, H. and Sele, V. (2021). Speciation analysis of organoarsenic species in marine samples: method optimization using fractional factorial design and method validation. Analytical and Bioanalytical Chemistry 413(15): 3909-3923. https://doi.org/10.1007/s00216-021-03341-4.

WHO, F. (2024). FAO/WHO background document on the risks and benfits of fish consumption. Food Safety and Quality Series. No. 27. FAO/WHO background document on the risks and benefits of fish consumption



6 - Vedlegg

5.1 - Utfyllende informasjon, kontrollprogrammet

Kvikksølv (mg/kg våtvekt)                  
Art region N Snitt min maks SD Q25 med Q75
Atlantisk kveite Nord 8 0,088 0,024 0,25 0,070 0,042 0,079 0,096
  Midt 5 0,13 0,062 0,22 0,06 0,10 0,11 0,17
   Totalt 13 0,11 0,024 0,25 0,07 0,062 0,094 0,11
Atlantisk torsk Nord 10 0,045 0,030 0,059 0,009 0,037 0,045 0,050
  Midt 6 0,062 0,042 0,076 0,013 0,055 0,063 0,072
  Sør og Vest 5 0,11 0,053 0,16 0,04 0,084 0,11 0,14
   Totalt 21 0,065 0,030 0,16 0,034 0,043 0,055 0,072
Brosme Nord 6 0,12 0,061 0,21 0,06 0,073 0,088 0,18
  Midt 10 0,28 0,14 0,48 0,13 0,17 0,20 0,43
  Sør og Vest 4 0,45 0,33 0,71 0,18 0,36 0,39 0,55
   Totalt 20 0,27 0,061 0,71 0,17 0,15 0,20 0,39
Hyse Nord 11 0,039 0,012 0,066 0,014 0,030 0,038 0,050
  Midt 7 0,046 0,018 0,10 0,032 0,019 0,034 0,073
  Sør og Vest 3 0,027 0,017 0,040 0,012 0,017 0,025 0,040
   Totalt 21 0,040 0,012 0,10 0,021 0,028 0,037 0,049
Lange Nord 2 0,33 0,10 0,55 0,32 0,10 0,33 0,55
  Midt 1 0,14            
  Sør og Vest 2 0,17 0,14 0,20 0,04 0,14 0,17 0,20
   Totalt 5 0,23 0,10 0,55 0,18 0,14 0,14 0,20
Makrell Nord 8 0,038 0,031 0,043 0,004 0,034 0,037 0,041
  Midt 15 0,033 0,022 0,052 0,010 0,025 0,029 0,045
  Sør og Vest 24 0,037 0,020 0,071 0,012 0,026 0,036 0,041
   Totalt 47 0,036 0,020 0,071 0,011 0,027 0,035 0,042
Sei Nord 2 0,028 0,028 0,028 0,000 0,028 0,028 0,028
  Midt 5 0,085 0,053 0,12 0,025 0,076 0,078 0,096
  Sør og Vest 3 0,051 0,035 0,063 0,014 0,035 0,054 0,063
   Totalt 10 0,063 0,028 0,12 0,030 0,035 0,059 0,078
Sild Nord 15 0,033 0,015 0,042 0,008 0,032 0,035 0,040
  Midt 16 0,037 0,025 0,062 0,011 0,029 0,037 0,041
  Sør og Vest 16 0,040 0,025 0,057 0,009 0,033 0,038 0,047
   Totalt 47 0,037 0,015 0,062 0,010 0,032 0,036 0,041
Breiflabb Sør og Vest 3 0,23 0,17 0,29 0,06 0,17 0,22 0,29
Brisling Sør og Vest 3 0,030 0,017 0,054 0,021 0,017 0,020 0,054
Berggylt Sør og Vest 1 0,15            
Blåkveite Nord 1 0,021            
Lyr Midt 1 0,077            
Rognkjeks Sør og Vest 1 0,033            
Uer Midt 1 0,196            
All Grps   195 0,078 0,012 0,71 0,099 0,033 0,041 0,073
Tabell 23. Kvikksølv i filet av ulike fiskearter tatt ut i kontrollprogrammet for fremmedstoffer i villfisk i 2024. For hver art er gjennomsnitt (snitt), minste og største verdi (min, maks), standardavvik (SD), median og kvartiler (Q25 og Q75) gitt per region og totalt per art.
Enhet mg/kg våtvekt                
Kobber, Cu N Snitt SD Min Maks Median q25 q75 <LOQ
Atlantisk torsk 21 0,16 0,03 0,10 0,21 0,16 0,14 0,18  
Brosme 20 0,12 0,03 0,079 0,20 0,11 0,10 0,13  
Atlantisk kveite 13 0,18 0,07 0,11 0,39 0,15 0,15 0,18  
Hyse 21 0,14 0,02 0,10 0,17 0,14 0,12 0,15  
Sei 10 0,37 0,04 0,29 0,42 0,37 0,34 0,39  
Lyr 1 0,15              
Makrell 47 0,63 0,08 0,46 0,81 0,62 0,59 0,69  
Breiflabb 3 0,082 0,025 0,058 0,11 0,08 0,058 0,11  
Uer 1 0,10              
Lange 5 0,10 0,02 0,084 0,12 0,09 0,095 0,11  
Sild 47 0,81 0,10 0,62 1,0 0,80 0,73 0,90  
Blåkveite 1 0,10              
Brisling 3 0,85 0,38 0,63 1,3 0,63 0,63 1,3  
Berggylt 1 0,26              
Rognkjeks 1 0,33              
Totalt 195 0,44 0,30 0,058 1,3 0,42 0,14 0,71  
Jern, Fe N Snitt SD Min Maks Median q25 q75  
Atlantisk torsk 21 0,90 0,17 0,64 1,3 0,86 0,81 0,95  
Brosme 20 1,0 0,4 0,56 2,2 0,95 0,70 1,1  
Atlantisk kveite 13 0,91 0,34 0,46 1,5 0,90 0,65 1,0  
Hyse 21 0,99 0,17 0,75 1,3 0,96 0,84 1,1  
Sei 10 2,2 0,4 1,5 2,8 2,1 1,9 2,5  
Lyr 1 0,86              
Makrell 47 8,1 7,0 4,9 54 6,9 6,0 8,1  
Breiflabb 3 0,66 0,17 0,52 0,85 0,61 0,52 0,85  
Uer 1 1,1              
Lange 5 0,82 0,17 0,58 1,0 0,84 0,81 0,85  
Sild 47 8,9 1,2 5,6 13 8,9 8,2 9,5  
Blåkveite 1 0,58              
Brisling 3 17 2 16 19 17 16 19  
Berggylt 1 4,6              
Rognkjeks 1 2,0              
Totalt 195 4,9 5,3 0,46 54 4,6 0,95 8,2  
Mangan, Mn N Snitt SD Min Maks Median q25 q75  
Atlantisk torsk 21 0,075 0,022 0,049 0,14 0,059 0,072 0,083  
Brosme 20 0,099 0,030 0,072 0,20 0,087 0,091 0,098  
Atlantisk kveite 13 0,093 0,026 0,068 0,15 0,073 0,081 0,11  
Hyse 21 0,11 0,13 0,051 0,64 0,062 0,082 0,10  
Sei 10 0,10 0,04 0,050 0,17 0,067 0,088 0,13  
Lyr 1 0,039              
Makrell 47 0,10 0,05 0,071 0,40 0,082 0,090 0,10  
Breiflabb 3 0,050 0,012 0,042 0,064 0,042 0,044 0,064  
Uer 1 0,037              
Lange 5 0,044 0,008 0,037 0,06 0,039 0,041 0,046  
Sild 47 0,28 0,09 0,14 0,52 0,22 0,27 0,33  
Blåkveite 1 0,034              
Brisling 3 1,5 1,0 0,77 2,6 0,77 1,2 2,6  
Berggylt 1 0,16              
Rognkjeks 1 0,093              
Totalt 195 0,16 0,22 0,034 2,6 0,074 0,093 0,18  
Selen, Se N snitt SD min maks median q25 q75  
Atlantisk torsk 21 0,27 0,05 0,19 0,38 0,27 0,23 0,29  
Brosme 20 0,39 0,06 0,31 0,48 0,37 0,34 0,45  
Atlantisk kveite 13 0,50 0,17 0,20 0,95 0,49 0,45 0,54  
Hyse 21 0,31 0,05 0,21 0,42 0,31 0,27 0,33  
Sei 10 0,26 0,03 0,22 0,32 0,25 0,24 0,26  
Lyr 1 0,35              
Makrell 47 0,42 0,04 0,32 0,54 0,41 0,39 0,44  
Breiflabb 3 0,34 0,08 0,27 0,44 0,32 0,27 0,44  
Uer 1 0,49              
Lange 5 0,40 0,05 0,35 0,48 0,40 0,37 0,40  
Sild 47 0,40 0,05 0,30 0,47 0,40 0,37 0,43  
Blåkveite 1 0,42              
Brisling 3 0,35 0,19 0,22 0,57 0,26 0,22 0,57  
Berggylt 1 0,40              
Rognkjeks 1 0,18              
Totalt 195 0,38 0,09 0,18 0,95 0,39 0,31 0,43  
Sink, Zn N snitt SD min maks median q25 q75  
Atlantisk torsk 21 3,5 0,3 3,1 3,9 3,6 3,3 3,8  
Brosme 20 3,9 0,4 3,4 5,0 3,9 3,6 4,1  
Atlantisk kveite 13 3,8 0,5 2,3 4,4 3,9 3,6 4,2  
Hyse 21 3,1 0,3 2,6 3,6 3,0 2,9 3,2  
Sei 10 4,2 0,4 3,5 4,7 4,2 4,0 4,4  
Lyr 1 3,5              
Makrell 47 4,9 0,9 3,2 7,1 4,8 4,1 5,5  
Breiflabb 3 3,1 0,4 2,6 3,5 3,3 2,6 3,5  
Uer 1 2,5              
Lange 5 3,8 0,4 3,4 4,2 3,9 3,5 4,1  
Sild 47 6,3 1,0 3,9 8,4 6,3 5,7 7,0  
Blåkveite 1 2,8              
Brisling 3 20 3 18 24 18 18 24  
Berggylt 1 3,2              
Rognkjeks 1 3,9              
Totalt 195 4,8 2,4 2,3 24 4,2 3,5 5,7  
Krom, Cr N snitt SD min maks median q25 q75 <LOQ
Atlantisk torsk 21   <0,004 0,039 0,005 0,004 0,005 15
Brosme 20     <0,004 0,23 0,005 0,004 0,005 15
Atlantisk kveite 13   <0,003 0,007 0,005 0,005 0,006 10
Hyse 21     <0,004 0,051 0,005 0,005 0,006 13
Sei 10     <0,004 <0,005 0,005 0,005 0,005 10
Lyr 1     <0,005         1
Makrell 47     <0,005 9,8 0,010 0,010 0,010 40
Breiflabb 3     <0,003 0,005 0,004 0,003 0,005 2
Uer 1     <0,005         1
Lange 5     <0,004 <0,005 0,005 0,005 0,005 5
Sild 47     <0,006 0,11 0,008 0,007 0,009 39
Blåkveite 1     0,0068         0
Brisling 3     <0,008 0,010 0,009 0,008 0,010 1
Berggylt 1     <0,005         1
Rognkjeks 1     <0,007         1
Totalt 195     <0,003 9,8 0,007 0,005 0,010 154
Vanadium, V N snitt SD min maks median q25 q75 <LOQ
Atlantisk torsk 21 0,0011 0,0003 <0,0008 0,0022 0,0010 0,0009 0,0012 10
Brosme 20     <0,0008 0,0027 0,0009 0,0009 0,0010 17
Atlantisk kveite 13     0,0002 0,0016   0,0010 0,0010 10
Hyse 21 0,0022 0,0017 <0,0009 0,0084 0,0017 0,0013 0,0028 4
Sei 10 0,0014 0,0005 0,0009 0,0024 0,0013 0,0010 0,0015 2
Lyr 1     <0,0009         1
Makrell 47 0,012 0,018 <0,002 0,11 0,0058 0,0042 0,0098 1
Breiflabb 3 0,0011 0,0001 0,0010 0,0013 0,0011 0,0010 0,0013 0
Uer 1     <0,0009         1
Lange 5     <0,0009 0,0010 0,0009 0,0009 0,0010 4
Sild 47 0,0034 0,0028 <0,001 0,013 0,0023 0,0020 0,0038 11
Blåkveite 1     <0,001         1
Brisling 3 0,022 0,013 0,0078 0,033 0,024 0,0078 0,033 0
Berggylt 1     0,078         0
Rognkjeks 1     0,0024         0
Totalt 195     <0,0006 0,11 0,0020 0,0010 0,0043 62

 

Tabell 24. Målte konsentrasjoner (mg/kg våtvekt) av en rekke elementer i filet av fisk tatt ut i kontrollprogrammet for villfisk 2024. For hver art er gjennomsnitt (snitt), standardavvik (SD), minste og største verdi (min, maks), median, kvartiler (q25 og q75) og antall prøver <LOQ vist.

  N Min-maks Antall målbare Målbare verdier
PFOS 194 <0,1 – 0,98 34  
PFOA 194 <0,1-<0,2 1 0,18
PFNA 194 <0,1-<0,5 5 0,11 - 0,21
PFHxS 194 <0,1 0  
FOSA 194 <0,1 - <5 12 0,10-0,24
PFHxDA 185 <0,1, <1, <5 9 0,11 - 0,37
PFBS 192 <0,1 - 0,59 6  
PFDA 194 <0,1 - 0,106 1  
PFHxA 190 <0,5, <1, 1,27 1  
PFTeDA 194 <0,1-<0,5 1 0,10
PFBA 25 <1, <5, >5 0  
PFDoDA 191 <0,1-<0,5 0  
PFDoDS 191 <0,1 0  
PFDS 185 <0,1 0  
PFHpA 194 <0,1-<0,2 0  
PFHpS 194 <0,1 - <1 0  
PFNS 191 <0,1 0  
PFPeA 171 <0,2-<0,5 0  
PFPeS 194 <0,1 0  
PFTrDA 191 <0,5 - <1 0  
PFUnDA 194 <0,2, <1, <5 0  
PFUnDS 191 <0,1-<0,2 0  
Tabell 25. Alle målte perfluorerte alkylstoffer (PFAS) i filet av fisk tatt ut i kontrollprogrammet for villfisk i 2024. Antall analyserte prøver (N), minste og største verdi (min-maks), antall prøver over LOQ (antall målbare), samt minste og største verdi over LOQ (målbare verdier), er vist.

 

Fettinnhold (g/100 g, øverst) og gjennomsnittsvekt (g, nederst) for samleprøver av kveite, makrell og sild tatt ut i kontrollprogrammet, gruppert etter art og region. Boksplottene viser median, kvartiler, minste og største verdi og uteliggere.
Figur 40. Fettinnhold (g/100 g, øverst) og gjennomsnittsvekt (g, nederst) for samleprøver av kveite, makrell og sild tatt ut i kontrollprogrammet, gruppert etter art og region. Boksplottene viser median, kvartiler, minste og største verdi og uteliggere.

 

 

Spredningsplott som viser forholdet mellom gjennomsnittslengde på fisken i samleprøven (snittlengde, cm) og konsentrasjonen (ng TE/kg våtvekt) av sum dioksiner og furaner (Sum dioksiner, øverst) og sum dioksinlignende PCB (dl-PCB, nederst), i henholdsvis atlantisk kveite, makrell og sild.
Figur 41. Spredningsplott som viser forholdet mellom gjennomsnittslengde på fisken i samleprøven (snittlengde, cm) og konsentrasjonen (ng TE/kg våtvekt) av sum dioksiner og furaner (Sum dioksiner, øverst) og sum dioksinlignende PCB (dl-PCB, nederst), i henholdsvis atlantisk kveite, makrell og sild.

 

 

Sammenhengen mellom konsentrasjon av sum dioksiner og furaner (Sum dioksiner, ngTE/kg våtvekt) og gjennomsnittlig lengde på fisken (snittlengde, cm) i samleprøvene for hver av artene kveite, makrell og sild. De ulike fargene på punktene og regresjonslinjene markerer de ulike regionene
Figur 42. Sammenhengen mellom konsentrasjon av sum dioksiner og furaner (Sum dioksiner, ngTE/kg våtvekt) og gjennomsnittlig lengde på fisken (snittlengde, cm) i samleprøvene for hver av artene kveite, makrell og sild. De ulike fargene på punktene og regresjonslinjene markerer de ulike regionene

 

 

Sammenhengen mellom konsentrasjon av ikke-dioksinlignende PCB (Sum PCB6, µg/kg våtvekt) og gjennomsnittlig lengde på fisken (snittlengde, cm) i samleprøvene for hver av artene kveite, makrell og sild. De ulike fargene på punktene og regresjonslinjene markerer de ulike regionene.
Figur 43. Sammenhengen mellom konsentrasjon av ikke-dioksinlignende PCB (Sum PCB6, µg/kg våtvekt) og gjennomsnittlig lengde på fisken (snittlengde, cm) i samleprøvene for hver av artene kveite, makrell og sild. De ulike fargene på punktene og regresjonslinjene markerer de ulike regionene.

 

5.2 - Utfyllende informasjon, kartlegging -  miljøgifter uten grenseverdi

Atlantisk kveite, N = 13          
  snitt SD min maks median Q25 Q75
PBDE 28 0,00074 0,00063 <0,0003 0,0028 0,00057 0,00053 0,00064
PBDE 47 0,015 0,015 0,0041 0,064 0,012 0,0091 0,015
PBDE 66 0,00059 0,00028 <0,0003 0,0015 0,00053 0,00052 0,00056
PBDE 99 0,0017 0,0003 <0,0010 0,0023 0,0016 0,0016 0,0017
PBDE 100 0,0032 0,0043 0,0005 0,017 0,0019 0,0014 0,0023
PBDE 119 0,0007 0,0004 <0,0005 0,0016 0,00054 0,00052 0,00058
PBDE 138     <0,001 <0,002 0,0021 0,0021 0,0022
PBDE 153 0,0006 0,0001 <0,0003 0,00078 0,00054 0,00052 0,00060
PBDE 154 0,0032 0,0033 0,0011 0,014 0,0022 0,0015 0,0031
PBDE 183     <0,0003 <0,0006 0,0005 0,0005 0,0005
Breiflabb, N = 2            
  snitt SD min maks median Q25 Q75
PBDE 28 0,00020 0,00004 <0,0002 0,0002 0,00020 0,00018 0,00023
PBDE 47 0,007 0,003 0,0051 0,010 0,0073 0,0051 0,010
PBDE 66     <0,0002 <0,0002 0,0002 0,0002 0,0002
PBDE 99 0,0017 0,0004 0,0014 0,0020 0,0017 0,0014 0,0020
PBDE 100 0,0041 0,0007 0,0036 0,0046 0,0041 0,0036 0,0046
PBDE 119 0,0004 0,0001 0,00038 0,00050 0,00044 0,00038 0,00050
PBDE 138     <0,0007 0,0008 0,0008 0,00072 0,00084
PBDE 153 0,0007 0,0001 0,00063 0,00078 0,00070 0,00063 0,00078
PBDE 154 0,0032 0,0004 0,0030 0,0035 0,0032 0,0030 0,0035
PBDE 183     <0,0002 <0,0002 0,0002 0,0002 0,0002
Brisling, N = 3            
  snitt SD min maks median Q25 Q75
PBDE 28 0,016 0,015 0,0055 0,033 0,0088 0,0055 0,033
PBDE 47 0,243 0,149 0,10 0,40 0,23 0,10 0,40
PBDE 66 0,0122 0,0149 0,0034 0,029 0,0038 0,0034 0,029
PBDE 99 0,0574 0,0735 0,0032 0,14 0,028 0,0032 0,14
PBDE 100 0,0720 0,0458 0,021 0,11 0,086 0,021 0,11
PBDE 119 0,0035 0,0033 0,0015 0,0073 0,0016 0,0015 0,0073
PBDE 138     <0,003 0,0040 0,0034 0,0026 0,0040
PBDE 153 0,0086 0,0067 0,0041 0,016 0,0054 0,0041 0,016
PBDE 154 0,0384 0,0212 0,016 0,059 0,040 0,016 0,059
PBDE 183     <0,0007 0,0011 0,0009 0,0007 0,0011
Makrell, N = 47            
  snitt SD min maks median Q25 Q75
PBDE 28 0,012 0,004 0,0064 0,023 0,012 0,0085 0,015
PBDE 47 0,14 0,05 0,071 0,32 0,14 0,10 0,16
PBDE 66 0,018 0,007 0,0099 0,047 0,017 0,013 0,019
PBDE 99 0,029 0,011 0,014 0,066 0,026 0,021 0,038
PBDE 100 0,035 0,016 0,017 0,094 0,030 0,023 0,047
PBDE 119 0,0084 0,0065 0,0027 0,025 0,0050 0,0041 0,012
PBDE 138     <0,003 <0,01 0,0048 0,0045 0,0054
PBDE 153 0,0069 0,0023 0,0038 0,012 0,0063 0,0049 0,0091
PBDE 154 0,043 0,014 0,023 0,079 0,041 0,032 0,049
PBDE 183     <0,001 0,0051 0,0013 0,0012 0,0015
Sild, N = 38            
  snitt SD min maks median Q25 Q75
PBDE 28 0,0080 0,0022 0,0034 0,013 0,0081 0,0062 0,0098
PBDE 47 0,14 0,06 0,042 0,28 0,11 0,093 0,17
PBDE 66 0,0052 0,0028 0,0016 0,013 0,0044 0,0034 0,0062
PBDE 99 0,012 0,007 0,0045 0,034 0,0094 0,0075 0,016
PBDE 100 0,036 0,028 0,0053 0,11 0,026 0,019 0,043
PBDE 119 0,0043 0,0035 <0,0008 0,015 0,0027 0,0023 0,0045
PBDE 138     <0,003 0,0045 0,0033 0,0031 0,0035
PBDE 153 0,0029 0,0016 0,0009 0,0073 0,0022 0,0019 0,0040
PBDE 154 0,030 0,010 0,010 0,059 0,029 0,023 0,035
PBDE 183     <0,0007 0,0046 0,0008 0,0008 0,0009
  Berggylt, N = 1 Blåkveite, N = 1 Rognkjeks, N = 1 Uer, N = 1      
               
PBDE 28 <0,0003 0,0062 0,012 0,0012      
PBDE 47 0,0014 0,087 0,24 0,049      
PBDE 66 <0,00032 0,0036 0,0056 <0,0004      
PBDE 99 <0,001 <0,002 <0,001 <0,001      
PBDE 100 <0,0003 0,011 0,050 0,015      
PBDE 119 <0,0003 0,0012 0,0040 0,0022      
PBDE 138 <0,001 <0,003 <0,002 <0,002      
PBDE 153 0,0003 0,0015 0,0047 0,0019      
PBDE 154 <0,0003 0,0172 0,071 0,025      
PBDE 183 <0,0003 <0,0007 <0,0005 <0,0004      
Totalt, alle arter, N = 107          
  snitt SD min maks median Q25 Q75
PBDE 28 0,0089 0,0055 <0,0002 0,033 0,0086 0,0061 0,012
PBDE 47 0,12 0,07 0,0014 0,40 0,12 0,087 0,16
PBDE 66 0,010 0,009 <0,0002 0,047 0,0086 0,0034 0,017
PBDE 99 0,019 0,018 0,0010 0,14 0,017 0,0071 0,026
PBDE 100 0,032 0,025 <0,0003 0,11 0,024 0,018 0,043
PBDE 119 0,0055 0,0056 <0,0003 0,025 0,0038 0,0022 0,0062
PBDE 138     <0,0007 0,012 0,0035 0,0030 0,0048
PBDE 153 0,0045 0,0032 0,0003 0,016 0,0041 0,0019 0,0062
PBDE 154 0,032 0,018 <0,0003 0,079 0,032 0,023 0,043
PBDE 183     <0,0002 0,0051 0,0011 0,0008 0,0013
Tabell 26. Konsentrasjoner av ulike PBDE-kongenere i hver av artene analysert i kontrollprogrammet 2024. Antall (N), gjennomsnitt (snitt), standardavvik (SD), minste (min) og største (maks) verdi, samt median og 25- og 75-persentiler (Q25 og Q75) er gitt. For artene berggylt, blåkveite, rognkjeks og uer er kun en prøve analysert, og der er resultat av den ene målingen vist.

5.3 - Utfyllende informasjon, kartlegging - miljøgifter i brosme (og lange) fra fjorder

    Lengde (cm)     Vekt (g)    
Lokalitet N Snitt ± SD Median Min - Maks Snitt ± SD Median Min - Maks
N1 23 66,7±9,9 65,5 45,5-83,5 3502±1460 3214 1023-7235
N2 17 73,6±7,2 74 59-87 4936±1260 5003 2283-6437
N3 8 69,4±12,3 65,2 53-87,5 4299±2184 3552 1953-7602
R1 25 82,8±7,8 83 71-102 6695±2027 6610 4040-10986
R2 18 77,5±10,5 76,8 59-97,5 6516±2737 6402 2198-10847
S1 25 67,9±8,6 68,5 53-93 3567±1632 3254 1478-9325
S2 9 55,7±9,9 53,5 41-70,5 2028±1265 1605 746-4500
S3 16 52,8±5,8 52,5 43,5-64,5 1488±517 1361 822-2686
S4 13 52,5±5,2 51 47-67 1513±547 1378 1024-3138
Tabell 27. Lengde (cm) og vekt (g) på brosmer prøvetatt ved ulike lokaliteter i Nordfjord (N1-N3), Romsdalsfjorden (R1-R2) og Storfjorden (S1-S4). Antall prøver (N), gjennomsnitt ± standardavvik (snitt ±SD), median, minste og største verdi (min-maks) er vist for hver lokalitet.
    Lengde (cm)     Vekt (g)    
Lokalitet N Snitt ± SD Median Min - Max Snitt ± SD Median Min - Max
R2 2 68.5±9.19 68.5 62-75 1611±761 1611 1073-2149
S2 2 152±2.83 152 150-154 11493±13840 4260 2768-27450
S3 4 96.6±9.89 94.8 87-110 4901±1551 4773 3203-6855.
S4 3 113±46.2 92 81-166 19532±2167 19532 18000-21065
Tabell 28. Lengde (cm) og vekt (g) på langer prøvetatt ved ulike lokaliteter i Romsdalsfjorden (R2) og Storfjorden (S2-S4). Antall prøver (N), gjennomsnitt ± standardavvik (snitt ±SD), median, minste og største verdi (min-maks) er vist for hver lokalitet.

 

Forholdet mellom fiskens lengde (cm) og konsentrasjon av ulike målte elementer (As, Cu, Fe, Mn, Se, Zn, mg/kg våtvekt) i filet av brosme fra Nordfjord, Storfjorden og Romsdalsfjorden i 2024. De to ulike fargene markerer hunner og hanner.
Figur 44. Forholdet mellom fiskens lengde (cm) og konsentrasjon av ulike målte elementer (As, Cu, Fe, Mn, Se, Zn, mg/kg våtvekt) i filet av brosme fra Nordfjord, Storfjorden og Romsdalsfjorden i 2024. De to ulike fargene markerer hunner og hanner.

 

 

Resultat av Pearson lineær korrelasjon mellom ulike elementer og lengde, vekt og fettinnhold (Totalfett g/100 g) i brosmer fra Romsdalsfjorden, Storfjorden og Nordfjord. Tallene viser r og korrelasjonen er signifikant (p<0,05) når det ikke er kryss over ruten.
Figur 45. Resultat av Pearson lineær korrelasjon mellom konsentrasjonene av ulike elementer og fiskens lengde, vekt og fettinnhold (Totalfett_pst) i brosmer fra Romsdalsfjorden, Storfjorden og Nordfjord. Tallene viser r og korrelasjonen er signifikant (p<0,05) når det ikke er kryss over ruten.

 

N = 11 Snitt SD Median Min Maks Q25 Q75 Antall <LOQ Antall > grenseverdi
Cd       <0,008 <0,001     11 0
Pb       <0,004 <0,005     11 0
As 9,4 10,1 5,8 1,1 32 1,5 18 0  
Cu 0,10 0,01 0,11 0,074 0,11 0,10 0,11 0  
Fe 2,3 4,7 0,75 0,64 16 0,68 1,3 0  
Mn 0,052 0,030 0,043 0,032 0,14 0,038 0,053 0  
Se 0,39 0,05 0,38 0,30 0,45 0,36 0,43 0  
Zn 3,6 0,5 3,5 2,6 4,5 3,3 4,0 0  
Ag       <0,002 <0,002     11  
Co       <0,004 <0,005     10  
Cr       <0,004 2,9     9  
Mo       <00,02 0,14     10  
Ni       <0,05 <0,06     11  
V       <0,0009 0,0028     7  
Tabell 29. Samlet oversikt over konsentrasjoner av alle elementene analysert i filet av lange fra fjorder. Gjennomsnitt (snitt), standardavvik (SD), median, minste og største verdi (min, maks), nedre og øvre kvartil (Q25, Q75) og antall < LOQ er vist. For kadmium og bly er antall (andel) prøver med konsentrasjoner over grenseverdiene vist.
  N min-maks Antall målbare Median Målbare verdier
PFOS 149 <0,2 – 1,4 56 <0,1 0,20-1,4
PFOA 149 <0,1 – 2,0 31 <0,1 0,10 – 2,0
PFNA 149 <0,1 – 1,7 56 <0,1 0,10 – 1,7
PFHxS 149 <0,1 0    
FOSA 149 <0,1 – 0,82 121 0,17 0,10 – 0,82
PFHxDA 149 <0,1 – 0,11 2 <0,1 0,106 - 0,109
PFBS 148 <0,1 0    
PFDA 149 <0,1 - 0,89 42 <0,1 0,10-0,89
PFHxA 149 <0,1 – 2,1 1 <0,1 2,1
PFTeDA 149 <0,1 – 0,21 41 <0,1 0,10 – 0,21
PFBA 149 <0,1 0    
PFDoDA 149 <0,1 – 0,23 24 <0,1 0,10 – 0,23
PFDoDS 149 <0,1 0    
PFDS 146 <0,1 0    
PFHpA 149 <0,2 0    
PFHpS 149 <1 0    
PFNS 149 <0,1 0    
PFPeA 128 <0,2 0    
PFPeS 149 <0,1 0    
PFTrDA 149 <1 0    
PFUnDA 149 <1 0    
PFUnDS 149 <0,1 0    
Tabell 30. Alle målte perfluorerte alkylstoffer (PFAS) i filet av brosme fra Nordfjord, Storfjorden og Romsdalsfjorden i 2024. Antall analyserte prøver (N), minste og største verdi (min-maks), antall prøver over LOQ (antall målbare), median samt minste og største verdi over LOQ (målbare verdier) er vist.