Gå til hovedinnhold

Kartlegging av snøkrabbebestanden på norsk sokkel i Barentshavet - 2023

— Toktrapport fra tokt med F/F Kristine Bonnevie 1. juni til 17. juni 2023 (2023006011)

Forfatter(e): Hanna Ellerine Helle Danielsen og Ann Merete Hjelset (HI)
Toktleder(e): Ann Merete Hjelset (HI)

1 - Sammendrag

Toktets målsetning var å øke kunnskapen om bestanden av snøkrabbe i Barentshavet, samt utvikle metodikk for overvåkningsarbeidet og teknologi til bruk i det kommersielle fiskeriet. Toktet ble i 2023 utført i samarbeid mellom faggruppe «Bentiske ressurser og prosesser» som har ansvar for bestandsrådgivninga og faggruppe «Fangst» som driver forskning og utvikling av fangstteknologi.

Bildet viser arbeidsdekket på F/F Kristine Bonnevie.
F/F Kristine Bonnevie

 

2 - Innledning og formål

Snøkrabben er relativt nyetablert i Barentshavet og den er fortsatt i en fase der den utvider sitt utbredelsesområde og bestanden øker (Figur 2.1). Spredningen av snøkrabbe skjer trolig både ved vandring av voksne kjønnsmodne individer og ved spredning av de pelagiske larvene via havstrømmer. Fiskeriet etter snøkrabbe startet veldig smått i 2012, og landingene økte raskt fra 2,5 tonn til 18 000 tonn i 2015. De påfølgende årene gikk landingene noe ned og fiskeriet ble kvoteregulert fra og med 2017. Norske snøkrabbefartøy har landet mellom 3 000 og 7 960 tonn i årene 2017 til 2023. Kvoten for 2023 var satt til 7 117 tonn og det ble totalt fisket 7 659 tonn.

Bildet viser en kartskisse over Barentshavet med Svalbard og Finnmark på venstre av bildet, og russiske Franz Josef land og Novaya Zemlya på høyre side. Blått felt viser utbredelse av snøkrabbe, røde prikker viser enkeltobservasjoner og innfelt i rødt er fangst- og toktområde. Fangstområdet er markert omtrent midt i bildet, vest for delelinjen som går tvers over bidet, og smutthullet ligger øst for delelinjen.
Figur 2.1: Utbredelse av snøkrabbe i Barentshavet, med fangst- og toktområde.

Ifølge tildelingsbrevet fra 2019 er det Havforskningsinstituttet sin oppgave å øke den generelle kunnskapen om snøkrabben i Barentshavet. Metodikken for overvåkning av snøkrabbebestanden er under stadig utvikling. Det tas utgangspunkt i metodikk som er velprøvd i overvåkningen av kongekrabbe langs kysten av Troms og Finnmark. For å få en mest mulig helhetlig dekning av bestanden, og for å sammenligne de ulike redskapene, ble det brukt både Agassiztrål, videoslede og teiner på toktet.

Forvaltningen av snøkrabben er i en tidlig fase og fiskeriet forventes å vokse. Toktet vil bidra til økt kunnskap om bestandsstørrelse og biologi på fangstfeltet på norsk sokkel i Barentshavet og danner grunnlag for framtidig rådgivning på snøkrabbe. Det relativt unge fiskeriet er også i utvikling når det kommer til fangstteknologi. På toktet ble det utført forsøk med ulike typer teiner med formål om å bedre seleksjon, og med automatisk lukking til bruk i overvåkning og standardiserte forsøk.

Årets tokt ble gjennomført i samarbeid mellom faggruppe «Bentiske ressurser og prosesser» som har ansvar for bestandsrådgivninga og opptok mesteparten av tokttiden (prosjekt 14422 - snøkrabbe), og faggruppe «Fangst» som driver forskning og utvikling av miljø- og ressursvennlige fangstmetoder (prosjekt 15560 - fangstteknologi snøkrabbe).

2.1 - Bruk av toktrapporten

Resultatene som er presentert i toktrapporten ble utarbeidet underveis i toktet og må ansees som foreløpige og bør ikke brukes uten videre kvalitetssikring og analyse.

3 - Material og metode

3.1 - Fartøy, varighet, dekningsområde og bemanning

Toktet ble gjennomført med F/F Kristine Bonnevie som var rigget for bruk av videoslede, setting og haling av teiner og tråling med krabbetrålen (stor Agassiz). Toktet startet i Tromsø 15. juni og ble avsluttet i Tromsø 30. juni 2023. Toktet dekket det området hvor det drives fiske (Figur 2.1, Figur 3.1), og lå fra 73° N i sør, til omtrent 30° E i vest, til ca. 77° N i nord og mot delelinjen i øst. Informasjon om vitenskapelig personell finnes i Tabell 3.1.

Deltaker Gruppe
Ann Merete Hjelset Bentiske ressurser og prosesser
Maria Jenssen Bentiske ressurser og prosesser
Marita Larsen Bentiske ressurser og prosesser
Sten-Richard Birkely Bunnsamfunn og kystinteraksjoner
Erik Schuster Fangst
Neil Anders Fangst
Jostein Saltskår Fangst
Odd-Børre Humborstad Fangst
Reidar Johannesen Fartøyinstrument
Table 3.1: Vitenskapelig personell fra Havforskningsinstituttet, med gruppetilhørighet.

 

3.2 - Toktdesign

Toktet dekket det området hvor det drives fiske (Figur 2.1) og området ble inndelt i syv områder/strata basert på dyp (Tabell 3.2, Figur 3.1). Posisjonene for videostasjonene var de samme som for snøkrabbetoktene i 2020-2022, da 55 videostasjoner ble plassert ut tilfeldig innenfor områdene, med flest stasjoner i de strata hvor det er kjent at det er høy tetthet av snøkrabbe og det drives mest kommersielt fiske. Dette er områdene rett sør og nord for Sentralbanken, og disse områdene ble også prioritert på toktet. På 15 videostasjoner var det også planlagt et hal med Agassiz-trål for å samle biologiske data. Trålen ble i størst mulig grad kjørt tilbake i det samme sporet som videosleden. Det var ikke planlagt trålstasjoner i de grunneste områdene eller i områder hvor det er kjent at det er ugunstige bunnforhold for Agassiz. Oversikt over antall planlagte stasjoner er gitt i Tabell 3.3, og plasseringene vises i Figur 3.1. Videre var det planlagt flere teinestasjoner, plasseringen av disse ble avgjort underveis i toktet basert på fiskeridata og fremdrift i øvrige aktiviteter. Det var også planlagt planktontrekk fordelt ut over området og spesielt over Sentralbanken. Den nøyaktige plasseringen av disse ble også avgjort underveis i toktet avhengig av fremdrift og værforhold.


 

Område Navn
1 Sør for Sentralbanken
2 Nord for Sentralbanken
3 Sør for Storbanken
4 Sørlige Storbanken
5 Sentralbanken
6 Hopendjupet
7 Vest for Sentralbanken
Table 3.2: Områdeinndeling strata nummer og navn.

 

Stasjonstype Antall planlagte stasjoner
Video 40
Video+Agassiz 15
Table 3.3: Planlagte stasjoner snøkrabbetokt 2023.

 

Kartutsnittet at stasjonene ligger fordelt over hele området, med høyeste tetthet av stasjoner i strata 1 og 2. Blå firkanter viser videostasjoner og grønne firkanter viser stasjoner med video og Agassiz-trål. Grå linjer og frittstående nummer viser inndelte områder/strata 1-7.
Figur 3.1: Kart over dekningsområde og inndelte områder med planlagte stasjoner (med stasjonsnummer) for snøkrabbetoktet 2023.

 

3.3 - Utstyr og metodikk

På toktet ble det brukt en videoslede som er bygd for telling av krabber på bunnen (Figur 3.2). Sleden settes ut på styrbord side av båten og slepes etter fartøyet. Den beveger seg 0,5–1,1 m over havbunnen. Den er utstyrt med lasere, lys og to kamera med direkte overføring til fartøyet via fiberkabel. De to kameraene er rettet fremover og dekker to parallelle områder med en viss overlapp. Laserne sitter parallelt med to meters avstand, en på hver side av sleden og ett i senter. På den måten er to laserpunkt synlig på hvert kamera, hvor det midterste er synlig for begge kameraene. I tillegg er det en ekstra laser til venstre for den midterste som viser 20 cm avstand (for referanse). Den totale bredden på synsfeltet er 3,77 m. På et av laboratoriene ble det rigget til med skjermer og videosleden ble fjernstyrt derfra (Figur 3.2). Telling av krabber ble gjort mens sleden ble slept langs bunnen. Bunntiden på videosleden var 30 minutter og hastigheten lå på 0,46–1,74 knop i gjennomsnitt. To personer var ansvarlig for å telle krabber fra hvert sitt kamera. Det var kun de individene som ble observert mellom laserpunktene som ble telt. Et individ ble regnet for å være innenfor dersom mer enn halve ryggskjoldet var innenfor. Bunnforhold, sikt, videokvalitet etc. ble også notert i eget skjema.

 

Bildet til venstre viser videoriggen med ca. 40 trålkuler som er festet på. Bildet til høyre viser teknisk utstyr på video-labb. Vi ser tre oppstilte PC-er med store skjermer som viser direkteoverføring fra videoriggen.
Figur 3.2: Videoutstyr brukt på snøkrabbetokt 2023. Venstre: videoslede, høyre: video-labb.

 

Krabbetrålen som ble brukt er en spesialisert utgave av en Agassiz-trål som er utviklet for bruk i overvåkningen av kongekrabbe i fjordene i Troms og Finnmark. Trålen består av en 6 m bred metallramme som er 1 m høy, og bak er det montert et 15 m langt nett. Trålen er ikke utstyrt med dører eller vinger. På hver side er det montert på meier, slik at trålen ikke synker ned i mudderet og den er utstyrt med fløyt (trålkuler) på ramme og bak i trålposen (Figur 3.3).

 

Bildet til venstre viser Agassiz-trålen like i overflaten bak båten. Bildet til høyre viser en person som holder et skyvelær, mens krabben ligger på vekten.
Figur 3.3: Venstre: Agassiz-trål på tur ut. Høyre: individmåling av snøkrabber ved hjelp av elektronisk skyvelære, vekt og Fish2Data.

 

Det ble tatt vertikale håvtrekk med WP3 håv ved 15 stasjoner fordelt over området toktet dekket. Trekkene ble gjennomført i henhold til gjeldende prosedyre hvor håven ble senket til 10 m over bunnen, og hevet med en fart på 0,3 m/s. Innholdet fra håven ble lagt på etanol.

Teinene ble satt i til sammen 13 lenker fordelt på 5 settinger. Hver lenke inneholdt ca. 23 teiner med 25 meter avstand. I hver ende av lenken var det et lodd på 52 kg, som igjen var festet i line til overflatevak (Figur 3.4). I lenka var det flere forskjellige typer teiner; standard kommersielle teiner, finmaskede teiner, teiner med klatrepanel, teine som lukker seg automatisk, finmaskede teiner med video. Antall og sammensetning av teiner ble justert underveis i toktet (Tabell 4.3). Fangsten fra hver enkelt teine ble samlet i korger som ble merket med teinenummer og teinetype. Line til overflatevak og teinerygg ble kveilet over i et kar på dekk med et spyd som g-krok til feste av teiner ble tredd inn på (Figur 3.5). Teiner ble hektet på/av underveis i setting og haling. Fangsten fra hver enkelt teine ble registrert separat.

Det ble gjort individmålinger av fangsten fra Agassiz-trålen og teinene (Figur 3.3).

 

Skissen viser en lenge med seks teiner på bunnen med lodd i hver ende. I hver ende er det tau til overflaten, med trålkuler og overflatebøye. En blå linje øverst representerer overflaten og med et bilde av Kristine Bonnevie. Følgende informasjon er gitt i skissen: I begge ender av teinelenken (gitt fra overflaten ned til bunnen): Synketau 110 m lengde (festet til overflatebøye). Deretter «sjø-hund» 3 stykk 8’’ kuler (trålkuler) festet til 18 mm flytetau 170 m lengde ned til bunnen, festet i lodd (85 mm, 52 kg). I selve teinelenken: 22 mm flytetau, Forrsund 1,5 m, 50 teiner, 25 m mellom teinene.
Figur 3.4: Skjematisk fremstilling av rigging av teinelenker.

 

 

Venstre bilde viser fire teiner som står på arbeidsdekket, klar til utsetting. I bakkant ser vi også flere stabler med teiner lagret på paller. Til høyre ser vi store blåser, flere bunter med kveilet tau, trålkuler, fangstkurver, svarte bakker.
Figur 3.5: Venstre: teinesetting. Høyre: Utstyr til teiner.

 

3.4 - Biologisk prøvetaking

Biologiske data (individprøver) av fanget krabbe fulgte som hovedregel Havforskningsinstitutts gjeldende prosedyrer (Håndboken). Noen unntak ble gjort:

  1. På teinestasjonene ble det ikke tatt vekt av hunnkrabber.

  2. Det ble som hovedregel kun tatt vekt og klomål av de første 10 individene fra hver teine.

  3. Det ble registrert skader på hannkrabber i kommentarfeltet til hvert individ. Skader ble registrert med en bokstav som indikerer side (h-høyre, v-venstre) og et tall som indikerer hvilket ben det gjelder (klo fikk nr.1). Dersom benet manglet helt, ble det markert med minustegn.

  4. Det ble tatt prøver av mageinnholdet fra krabber fanget med trål ved seks ulike stasjoner.

3.5 - Datahåndtering, toktlogger og Fish2Data

Serienummer brukt på dette toktet var 65001–65083. Det ble brukt ett serienummer per operasjon/redskap (en teinelenke, et videotrekk, et tråltrekk). Det ble registrert stasjonsnummer i henhold til de på forhånd planlagte stasjonene, og det ble brukt samme stasjonsnummer for alle redskap på de stasjonene hvor flere redskap ble brukt. Posisjoner, dyp, fart, utseilt distanse etc. ble logget for hver stasjon, og forsøkt overført fra toktlogger til Biotic Editor via Fish2data. Utseilt distanse for trål ble regnet som den samme som fartøyets utseilte distanse. Videosleden har egen logging av utseilt distanse via HIPAP.

I fiskelabben ble det satt opp to arbeidsstasjoner hvor vi tok i bruk Havforskningsinstituttets Fish2Data-system med iPad tilkoblet digitalt skyvelære via Bluetooth og vekt via lokalt nettverk og Raspberry Pi (Figur 3.3). Alle stasjons-, fangst- og individdata ble lastet ned fra fish2data via lokalt nettverk og importert til Biotic Edior.

Alle originaldata som ble samlet inn er overlevert Norsk Marin Datasenter. Data med rettinger som er gjort i etterkant av toktet er tilgjengelig gjennom Dataset explorer.

4 - Resultater

4.1 - Gjennomføring

Det ble i alt gjennomført 23 videostasjoner og 32 trekk med Agassiz, hvorav syv på samme stasjon som video (Figur 4.1, Tabell 4.1, Tabell 4.3). Alle videostasjonene i strata 3 og nord i strata 2 ble byttet ut med kun Agassiz-trål ettersom fibervinsjen til videosleden ble ødelagt. Ingen planlagte stasjoner i strata 4 ble gjennomført pga. is. Tråling gikk ellers som planlagt. Det er et gjentagende problem at ettersom trålen er ganske tung drar den med seg en del leire og noen ganger steiner fra bunnen. Det fører til grisete fangster og mye ekstra arbeid.

Planktonstasjonene ble gjennomført som planlagt, totalt 15 stasjoner ble tatt. Teinesetting og haling gikk som planlagt.

 

Kartutsnittet viser at stasjonene ligger fordelt over mesteparten av området, men med høyeste tetthet i strata 1 og 2. Stasjoner med Agassiz-trål (gule diamanter), planktonhåv (rosa sirkler), teiner (rød triangler), video (blå firkanter) og stasjoner med både video og Agassiz-trål (grønne firkanter). Grå linjer og frittstående nummer viser inndelte områder/strata 1-7.
Figur 4.1: Kart over dekningsområde med inndelte områder og gjennomførte stasjoner (med stasjonsnummer) for snøkrabbetoktet 2023.

 


4.2 - Biologiske data

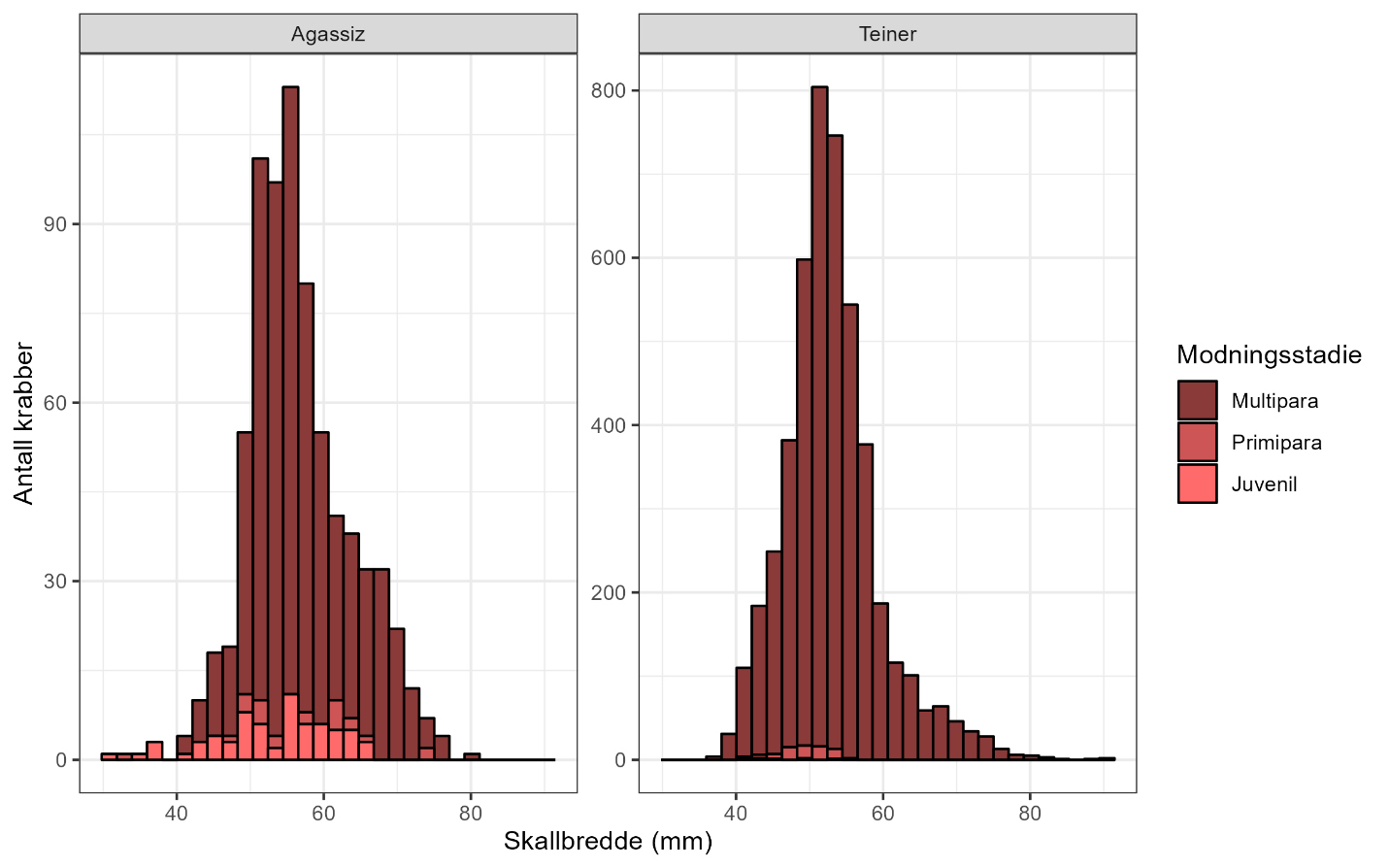
Totalt ble det registrert 26453 krabber fordelt på video, trål og teiner (Tabell 4.1), hvorav det ble tatt lengde og andre biologiske mål av 23041 individer. Biologiske data ble registrert fra individene som ble fanget med Agassiz-trål eller teiner. På teinestasjonene var det store fangster og vi hadde ikke muligheten til å opparbeide alt med full biologisk prøvetaking i henhold til håndboken, men gjorde delvis prøvetaking etter behov. Det ble blant annet prioritert å ta klomål av store individer av hannkrabbe for å supplere datagrunnlaget om kjønnsmodning og terminalt skallskifte. De ulike teinene fanger ulike deler av bestanden og teinene som likner de som brukes i fiskeriet fangster de største krabbene i populasjonen, noe som har vært et problem å få til med trål. Det er usikkert hvorfor vi får lite av de største størrelsene av krabber i trålen, det kan skyldes at de blir skremt av vaier og rekker å flykte før de havner i trålen eller at det er relativt få av dem. Lengdefordeling av snøkrabbe fanget i trål og teiner er vist i Figur 4.2. På video kan det se ut som vi får filmet også de store krabbene, men det er ennå ikke gjort forsøk på å registrere størrelse og andre biologiske mål ut fra video, noe det skal jobbes med fremover. Vi ser et potensiale for at en sammensetning av teiner med forskjellig maskestørrelse i kombinasjon med videoslede kan erstatte krabbetrålen og til sammen gi gode data på både tetthet og sammensetning av bestanden. Dette forutsetter videreutvikling av metodikken på videoselden og automatisk størrelsesvurdering kan utvikles. På årets tokt ble det utført forsøk med teiner med standardisert ståtid (ved hjelp av lukking) til bruk i overvåkning. Fordeling av modningsstadier for hunnkrabber i hvert redskap er vist i Figur 4.3. Fordeling av skallalder i forhold til lengde for hvert redskap er gitt i Figur 4.4.

Det ble samlet prøver av mageinnholdet fra til sammen 110 individer. Disse analyseres videre ved et DNA-laboratorium i Tromsø.

Redskapstype Antall stasjoner Observerte snøkrabber Lengdemålte snøkrabber
Agassiz 32 1 598 1 589
Teiner 13 23 113 21 452
Videoslede 23 1 742 0
Planktonhåv 15    
Tabell 4.1: Antall gjennomførte stasjoner og antall observerte og lengdemålte snøkrabber per redskap.

 

Figuren viser to diagram som beskriver lengdefordeling av hunnkrabber (røde stolper) og hannkrabber (blå) fanget i Agassiz-trål (venstre) og i teiner (høyre). X-aksene viser skallbredde i mm og går fra 0 til 150 mm. Y-aksene viser antall krabber og går fra 0 til 250  for Agassiz-trål og 0 til 2500 for teiner.
Figure 4.2: Lengdefordeling av snøkrabbe fanget i Agazzis-trål og i teiner.

 

 

Figuren viser to diagram som viser fordeling av modningsstadier over størrelser for snøkrabbehunner fanget i Agassiz-trål (venstre) og teiner (høyre). Modningsstadiene er vist i mørkeste farge for multipara, mellomste farge for primipara og lyseste farge for juvenile. X-aksene viser skallbredde i mm og går fra 0 til 90 mm. Y-aksene viser antall krabber og går fra 0 til 120  for Agassiz-trål og 0 til 800 for teiner.
Figur 4.3: Fordeling av modningsstadier over størrelser for snøkrabbehunner fanget i Agassiz-trål og teiner.

 

 

Figuren viser to stablet søylediagram med prosentvis fordeling av skallalder fordelt på størrelse hos snøkrabbe fanget i Agazzis-trål (venstre) og i teiner (høyre). Fargen på søylene angir følgende skallalder: 1 (rosa), 2 (grønn), 3 (turkisblå) og 4 (lilla). X-aksene angir skallbredde i mm og går fra 30 til 140 mm. En stiplet linje viser minstemålet på 95 mm. Y-aksen angir prosentandel og går fra 0 til 100 %.
Figur 4.4: Skallalder fordelt på størrelse i Agazzis-trål og teiner. Den stiplede linjen viser minstemålet på 95 mm skallbredde.

 


4.3 - Teineforsøk

Det ble gjort forsøk med seleksjonsmetoder og lukkemekanismer i teinene. Oversikt og beskrivelse av de ulike teinetypene er gitt i Tabell 4.2, og oversikt over lengdefordeling i teinene kan sees i Figur 4.5.

 

Figuren viser tre diagram med størrelsesfordeling av krabbe i tre ulike teinetyper. FIN = finmasket teine (diagram til venstre), LUKK = teine som lukker seg automatisk (diagram i midten) og STD = standard kommersiell teine (diagram til høyre). X-aksene viser skallbredde i mm, og går fra 30 til 150 mm i alle tre diagram. En stiplet linje viser minstemålet på 95 mm. Y-aksen viser antall krabber og går fra henholdsvis 0 til 1200, 0 til 1000 og 0 til 600.
Figur 4.5: Størrelsesfordelinger i tre ulike teinetyper. Den stiplede linjen viser minstemålet på 95 mm skallbredde. For beskrivelse av teinetyper, se egen tabell (Tabell 4.2). 

 

Forkortelse Beskrivelse
FIN Finmasket teine
KLATRE Teine med klatrepanel
LUKK Teine som lukker seg automatisk
LUKK_IKKE_STENGT Lukketeine som ikke har fungert
STD Standard kommersiell teine
Video Finmasket teine med video
Trampoline Trampoline
Tabell 4.2: Oversikt over teinetyper benyttet på snøkrabbetokt 2023. Type teine er notert i kommentarfeltet på fangstskjema (catchcomment).

4.4 - Skadet krabbe

Registrering av skader ble gjort på hannkrabber fanget med teiner eller trål. Det ble registrert relativt høy andel skadede krabber, spesielt i de standard kommersielle teinene. Dette må det ses nærmere på, og det bør fortsatt registreres skader på toktene i kommende år. Registreringen er relativt tidkrevende, og det vil være fordelaktig å finne en bedre løsning for dette innenfor Fish2Data-systemet. Mange krabber får trolig skader i trålen, det har ikke vært registrert forskjell på nye og gamle skader

 

Figuren viser tre stablet søylediagram med prosentvis fordeling av skadet (røde søyler) og uskadet (blå søyler) krabbe fra tre ulike teiner. FIN = finmasket teine (venstre diagram), LUKK = teine som lukker seg automatisk (midterste diagram) og STD = standard kommersiell teine (høyre diagram). X-aksene angir skallbredde i mm og går fra 40 til 150 mm. En stiplet linje viser minstemålet på 95 mm. Y-aksen angir prosentandel og går fra 0 til 100 %.
Figur 4.6: Andel skadet krabbe fordelt på størrelse i tre ulike teiner. Den stiplede linjen viser minstemålet på 95 mm skallbredde. 

 

 

Figuren viser et stablet søylediagram med prosentvis fordeling av skadet (røde søyler) og uskadet (blå søyler) krabbe i Agazzis-trål. X-aksene angir skallbredde i mm og går fra 40 til 140 mm. En stiplet linje viser minstemålet på 95 mm. Y-aksen angir prosentandel og går fra 0 til 100 %.
Figur 4.7: Andel skadet krabbe i Agassiz-trål. Mange krabber får trolig skader i trålen, men det har ikke vært registrert forskjell på nye og gamle skader. Den stiplede linjen viser minstemålet på 95 mm skallbredde.

 

Stasjon Serienr. Dato og tid Stasjonstype °N °Ø Redskap (n) N snøkrabbe
1 65005 06-04 06:23 Teiner 74.62 34.20 Teiner (25) 439
2 65006 06-04 07:23 Teiner 74.61 34.56 Teiner (24) 325
3 65007 06-04 08:07 Teiner 74.66 34.73 Teiner (22) 1059
4 65024 06-06 06:19 Teiner 75.32 32.70 Teiner (24) 341
5 65025 06-06 07:06 Teiner 75.40 32.68 Teiner (21) 1285
6 65045 06-08 13:42 Teiner 75.97 35.24 Teiner (23) 1731
7 65046 06-08 12:11 Teiner 75.91 34.33 Teiner (24) 3017
8 65055 06-09 18:11 Teiner 75.90 37.66 Teiner (23) 2992
9 65056 06-09 18:55 Teiner 75.85 37.82 Teiner (23) 4034
10 65071 06-12 04:30 Teiner 76.34 34.29 Teiner (23) 3402
11 65073 06-12 05:10 Teiner 76.35 34.01 Teiner (24) 2320
12 65072 06-12 07:22 Teiner 76.51 33.78 Teiner (23) 878
13 65083 06-13 13:54 Teiner 76.40 33.68 Teiner (23) 1290
101 65020 06-05 05:18 Agassiz 74.55 36.54 Agassiz (1) 53
102 65021 06-05 07:46 Videoslede + Agassiz 74.49 35.54 Agassiz (1) 11
102 65022 06-05 08:53 Videoslede + Agassiz 74.51 35.59 Videoslede (1) 51
105 65023 06-05 19:13 Agassiz 74.50 33.93 Agassiz (1) 7
106 65001 06-03 21:44 Videoslede 74.49 32.82 Videoslede (1) 13
107 65003 06-04 01:29 Videoslede 74.69 33.34 Videoslede (1) 61
108 65004 06-04 03:56 Videoslede 74.87 34.05 Videoslede (1) 240
109 65018 06-05 02:40 Agassiz 74.68 36.09 Agassiz (1) 171
111 65002 06-03 23:13 Videoslede 74.50 33.13 Videoslede (1) 51
112 65008 06-04 09:33 Videoslede + Agassiz 74.76 34.38 Videoslede (1) 74
112 65009 06-04 10:32 Videoslede + Agassiz 74.76 34.37 Agassiz (1) 26
113 65010 06-04 13:11 Videoslede + Agassiz 74.84 34.76 Videoslede (1) 74
113 65011 06-04 14:15 Videoslede + Agassiz 74.84 34.78 Agassiz (1) 168
201 65026 06-06 08:45 Agassiz 75.55 32.30 Agassiz (1) 8
202 65027 06-06 10:48 Agassiz 75.72 32.37 Agassiz (1) 9
203 65049 06-08 21:38 Videoslede 75.99 33.33 Videoslede (1) 60
204 65050 06-08 23:58 Videoslede 75.96 33.95 Videoslede (1) 160
205 65051 06-09 01:43 Videoslede + Agassiz 76.00 34.36 Videoslede (1) 186
205 65052 06-09 02:39 Videoslede + Agassiz 76.00 34.35 Agassiz (1) 124
206 65053 06-09 04:31 Agassiz 75.99 35.06 Agassiz (1) 140
208 65070 06-12 02:18 Agassiz 76.40 34.50 Agassiz (1) 80
209 65047 06-08 16:37 Agassiz 76.22 35.35 Agassiz (1) 14
210 65063 06-10 09:23 Agassiz 76.41 35.11 Agassiz (1) 86
211 65058 06-09 20:50 Agassiz 75.94 37.79 Agassiz (1) 65
212 65064 06-10 11:58 Agassiz 76.38 36.05 Agassiz (1) 53
213 65065 06-10 14:24 Agassiz 76.27 36.60 Agassiz (1) 55
215 65062 06-10 06:55 Agassiz 76.61 35.51 Agassiz (1) 121
216 65061 06-10 04:19 Agassiz 76.62 36.83 Agassiz (1) 27
217 65060 06-10 01:47 Agassiz 76.42 37.82 Agassiz (1) 18
301 65075 06-12 12:23 Agassiz 76.37 32.25 Agassiz (1) 40
302 65076 06-12 16:26 Agassiz 76.45 30.52 Agassiz (1) 27
303 65082 06-13 06:17 Agassiz 76.58 30.83 Agassiz (1) 92
304 65081 06-13 04:22 Agassiz 76.74 30.33 Agassiz (1) 55
305 65079 06-13 00:43 Agassiz 76.99 30.59 Agassiz (1) 27
306 65077 06-12 19:00 Agassiz 76.55 29.73 Agassiz (1) 47
307 65078 06-12 22:05 Agassiz 76.85 29.66 Agassiz (1) 45
308 65080 06-13 02:30 Agassiz 76.81 30.71 Agassiz (1) 7
401 65074 06-12 08:07 Agassiz 76.51 33.54 Agassiz (1) 13
501 65014 06-04 19:34 Videoslede 75.07 36.29 Videoslede (1) 57
502 65043 06-07 20:46 Videoslede 75.12 33.64 Videoslede (1) 157
503 65044 06-07 23:13 Videoslede 75.34 33.27 Videoslede (1) 149
504 65054 06-09 10:40 Agassiz 75.75 35.28 Agassiz (1) 2
510 65013 06-04 17:28 Videoslede 75.04 35.45 Videoslede (1) 124
511 65017 06-04 22:50 Videoslede 74.86 36.07 Videoslede (1) 217
601 65038 06-07 09:29 Videoslede + Agassiz 74.73 30.10 Videoslede (1) 0
601 65039 06-07 10:40 Videoslede + Agassiz 74.73 30.11 Agassiz (1) 3
602 65037 06-07 06:13 Videoslede 75.10 30.24 Videoslede (1) 0
603 65034 06-06 23:32 Videoslede 75.28 31.96 Videoslede (1) 10
604 65032 06-06 20:08 Videoslede + Agassiz 75.42 31.61 Videoslede (1) 12
604 65033 06-06 21:14 Videoslede + Agassiz 75.42 31.61 Agassiz (1) 1
605 65029 06-06 14:49 Videoslede + Agassiz 75.79 30.84 Videoslede (1) 29
605 65030 06-06 15:53 Videoslede + Agassiz 75.79 30.83 Agassiz (1) 3
701 65040 06-07 14:07 Videoslede 74.67 31.52 Videoslede (1) 5
702 65042 06-07 17:26 Videoslede 74.96 32.24 Videoslede (1) 0
703 65035 06-07 01:45 Videoslede 75.14 31.74 Videoslede (1) 12
1001 65019 06-05 04:06 Planktonhåv 74.65 36.15 Planktonhåv (1) 0
1002 65069 06-11 06:08 Planktonhåv 74.56 34.73 Planktonhåv (1) 0
1003 65012 06-04 15:41 Planktonhåv 74.84 34.98 Planktonhåv (1) 0
1004 65057 06-09 20:03 Planktonhåv 75.93 37.52 Planktonhåv (1) 0
1005 65059 06-10 00:35 Planktonhåv 76.41 37.28 Planktonhåv (1) 0
1006 65048 06-08 19:13 Planktonhåv 76.25 34.26 Planktonhåv (1) 0
1007 65016 06-04 21:43 Planktonhåv 74.95 36.15 Planktonhåv (1) 0
1008 65015 06-04 20:48 Planktonhåv 75.03 36.25 Planktonhåv (1) 0
1009 65068 06-10 22:37 Planktonhåv 75.26 36.67 Planktonhåv (1) 0
1010 65067 06-10 21:03 Planktonhåv 75.45 37.04 Planktonhåv (1) 0
1011 65066 06-10 19:48 Planktonhåv 75.58 37.36 Planktonhåv (1) 0
1012 65028 06-06 12:02 Planktonhåv 75.77 32.38 Planktonhåv (1) 0
1013 65031 06-06 19:18 Planktonhåv 75.46 31.63 Planktonhåv (1) 0
1014 65041 06-07 15:14 Planktonhåv 74.72 31.54 Planktonhåv (1) 0
1015 65036 06-07 03:14 Planktonhåv 75.09 31.86 Planktonhåv (1) 0
Tabell 4.3 Gjennomførte stasjoner på snøkrabbetokt 2023. Stasjonsnummer korresponderer til planlagte stasjoner. Et stasjonsnummer har flere serienummer der det er benyttet flere redskap på samme stasjon.