Gå til hovedinnhold

Kvikksølv i sjømat ved U-864

— Resultater fra overvåkning i 2018

Forfatter(e): Sylvia Frantzen , Amund Måge og Monica Sanden (HI)

Sammendrag

Vraket av ubåten U-864 som ligger på rundt 150 m dyp ved Fedje hadde store mengder kvikksølv om bord da den ble senket, og sjøbunnen rundt er sterkt forurenset av metallisk kvikksølv. Havforskningsinstituttet overvåker årlig, på vegne av Kystverket, innholdet av kvikksølv i sjømat fisket rundt vraket samt fire nautiske mil nord og sør for vraket. I 2018 analyserte vi filet av 70 brosmer (Brosme brosme) og klokjøtt og innmat av 79 taskekrabber (Cancer pagurus).  Syv brosmer hadde kvikksølvnivå over grenseverdien satt for mattrygghet i EU og Norge, og gjennomsnittlig kvikksølvnivå var relativt høyt. Nivåene var likevel innenfor det normale for kysten av Vestlandet, og ikke noe tilsier en økende trend. Både klokjøtt og innmat av krabber hadde relativt høyt kvikksølvnivå ved vraket og fire mil nord, men ingen var over grenseverdien som bare gjelder klokjøtt. Brunmat av kokte krabber og hepatopankreas av rå krabber hadde forhøyet nivå av totalkvikksølv, mens metylkvikksølvnivået var lavt. Dette skyldes trolig metallisk kvikksølv som krabbene har fått i seg direkte fra sedimentet, og analyser av stabile kvikksølvistoper har vist at en del av kvikksølvet i innmaten  stammer fra U-864. Også klokjøtt av krabbe prøvetatt ved vraket og nord for vraket i 2018 hadde relativt høyt kvikksølvnivå. Siden alt kvikksølvet var metylkvikksølv er det lite sannsynlig at dette stammer fra vraket, og isotopsammensetningen tyder på at det forhøyede kvikksølvnivået i klokjøtt skyldes annen påvirkning. Det høye nivået i 2018 trenger ikke å bety en økning, men det er likevel viktig å følge med videre.

1 - Innledning

Den 9. februar 1945 ble den tyske ubåten U-864 torpedert og senket av en britisk ubåt vest av Fedje. Ubåten var på vei til Japan med en last krigsutstyr, og det er estimert at 67 tonn metallisk kvikksølv var lagret i jernflasker i kjølen. Vraket av ubåten og den farlige lasten ble liggende på rundt 150 meters dyp om lag tre kilometer vest for Fedje, og ble lokalisert først i 2003.

Analyser utført i 2003, verifisert gjennom en større kartlegging i 2005 (Uriansrud m.fl. 2005), viste at prøver av sedimenter tatt ved vraket inneholdt høye konsentrasjoner av kvikksølv. Dette bekreftet at det var kvikksølv i lasten og at en del av flaskene med kvikksølv ble ødelagt under torpederingen slik at kvikksølv ble spredd til sedimentet. En ny kartlegging ved vraket i 2013 bekreftet de høye kvikksølvnivåene i sedimentene (Solhjell og Lunne 2013). De høyeste kvikksølvkonsentrasjonene i sedimentet er funnet nærmest vraket, innenfor en radius på ca. 100 meter, og nivåene avtar gradvis med økende avstand fra vraket. Et forsøk har vist at det er liten grad av metylering i sediment fra vrakområdet på grunn av lite organisk materiale (Kystverket 2015).

For å kunne vurdere i hvilken grad kvikksølv fra ubåtvraket og sedimentet rundt påvirker sjømattryggheten har NIFES årlig siden 2004 overvåket kvikksølvinnholdet i fisk og krabbe fra området (Måge m.fl. 2006; 2007; Frantzen m.fl. 2008; 2010; 2011; 2012;  2014; 2018; 2019: Haldorsen m.fl. 2013; Frantzen og Måge 2015; 2016). Kvikksølvanalysene har hvert år siden 2009 blitt utført på prøver av brosme (Brosme brosme) og taskekrabbe (Cancer pagurus).

Overvåkningen viser at det er noe forhøyede nivåer av kvikksølv i brunmat av taskekrabbe fanget i vrakområdet, men ikke i klokjøtt av krabbe og muskel av brosme. Dette skyldes sannsynligvis at kvikksølvet i sedimentet i liten grad er metylkvikksølv, som er den formen som tas lettest opp i muskelvev (Bloom 1992). Metallisk kvikksølv fra sedimentet kan likevel inntas og være i fordøyelseskjertelen til krabben før det eventuelt skilles ut. I 2014 ble de kokte krabbeprøvene analysert for metylkvikksølv, og disse analysene viste at 100 % av kvikksølvet i klokjøttet var i form av metylkvikksølv, men at det i brunmat var lavere andel metylkvikksølv ved vraket og nord for vraket (Frantzen og Måge, 2015). At kvikksølv i brunmat av krabbene stammer fra vraket og sedimentet rundt ble bekreftet ved analyse for stabile kvikksølvisotoper, gjennomført ved Universitetet i Gent i et samarbeidsprosjekt (Rua-Ibarz m.fl. 2016). Her ble det funnet at brunmat av krabbene fisket nærmest vraket hadde en sammensetning av kvikksølvisotoper mer lik metallisk kvikksølv fra vraket og sedimentet enn de krabbene som var fisket fire nautiske mil nord og fire nautiske mil sør for vraket.

Muskel av brosme inneholder nesten bare metylkvikksølv, mens lever av brosme også inneholder uorganisk kvikksølv i ulik grad, og det er vanlig å finne høyere andel uorganisk kvikksølv i lever i områder forurenset av kvikksølv. Undersøkelser fra 2015 viste at det ikke var uvanlig mye uorganisk kvikksølv i lever av brosme fisket nær de forurensede sedimentende rundt ubåtvraket (Frantzen og Måge 2016). Lever og filet av brosme prøvetatt i 2015 ble også analysert for stabile kvikksølvisotoper, og dette arbeidet viste at brosme fra området ved U-864 ikke har annerledes isotopsammensetning enn brosme prøvetatt andre steder langs kysten av Vestlandet eller i Skagerrak (Rua-Ibarz m.fl. 2019). Disse resultatene støtter de tidligere antakelsene om at brosme i svært liten grad akkumulerer det metalliske kvikksølvet i sedimentet rundt ubåtvraket, hverken i filet eller lever.

I 2017 ble krabbe opparbeidet både med og uten koking. Dette viste at hepatopankreas av krabber som ikke var kokt hadde høyere nivå av kvikksølv, men ikke metylkvikksølv, enn brunmat av krabber som var kokt. Dette tyder på at koking medfører tap av metallisk kvikksølv, og i videre overvåkning vil det bli analysert både rå og kokte krabber.

I 2018 ble det igjen tatt prøver av krabbe og brosme ved vraket samt fire nautiske mil sør for vraket og fire nautiske mil nord for vraket. Filet av brosme, samt klokjøtt og brunmat av kokte krabber og klokjøtt og hepatopankreas av rå krabber ble analysert for totalkvikksølv. Krabbeprøver tatt ved vraket og fire mil sør for vraket ble i tillegg analysert for metylkvikksølv og stabile kvikksølvisotoper. Resultat fra kvikksølvisotopanalysene er beskrevet i en masteroppgave fra Universitetet i Gent (Dumont 2019).

2 - Materiale og metoder

2.1 - Prøveinnsamling

Vraket av U-864 ligger på 150 meters dyp omlag tre kilometer vest for øya Fedje, ved 60°46' N, 4°37' Ø (Figur 1). Prøvetakingen av brosme og krabbe ble gjennomført i perioden 23.-28. mai 2018 av Havforskningsinstituttets Jan Pedersen og Jan Hinriksson sammen med kystfisker Helge Torsvik med hans 43 fots fiskebåt M/K Vikingfjord (H-1-A). Prøvene ble tatt innenfor en to kilometers radius av posisjonene vist i figur 1; det vil si ved vraket, fire nautiske mil sør for vraket (4 nm S) og fire nautiske mil nord for vraket (4 nm N).

Målet var å få 25 brosme og 30 krabbe fra hver posisjon, men minimum 15 brosme og 20 krabbe. Det var utfordrende å få nok av både brosme og krabbe. Den samlede fangsten i hvert område er gitt i Tabell 1.

 

Figure 1. Map of the sea area off Fedje indicating the sampling areas. The red points mark the site of the submarine wreck (U-864), four nautical miles south of the wreck (4 nm S) and four nautical miles north of the wreck (4 nm N). The circles mark the areas within where the fishing gear was placed (2 km radius).

Table 1. Total number of individuals caught of tusk (Brosme brosme) and edible crab (Cancer pagurus), respectively, during sampling in May 2018. The samples were taken at the site of the U-864 wreck, four nautical miles south (4 nm S) and four nautical miles north (4 nm N) of the wreck.

Sampling areaTuskEdible crab
Wreck site U-8642521
4 nm S/ 5 nm S*2030
4 nm N /5 nm N2528

*Due to problems getting enough tusk at the stations, they were supplemented with fish caught further north and south.

 

Av brosme ble det fanget og analysert i alt 70 individer; 25 individer fra området ved vraket og fra 4 nm N og 20 individer fra 4 nm S. Av krabbe ble det tatt til sammen 79 individer; 21 fra vrakområdet, 30 fra 4 nm S og 28 fra 4 nm N.

Prøvene ble hver dag fraktet til kai ved Hellesøy i Øygarden og kjørt med bud til prøvemottaket i Bergen, hvor krabbene ble opparbeidet fra fersk, levende tilstand. Brosmene ble oppbevart ved -20°C frem til opparbeiding.

 

2.2 - Opparbeiding og analyse

Hver fisk ble lengdemålt og veid, og fisken ble filetert og skinnet fjernet. Taskekrabbene ble kjønnsbestemt, veid, og bredden på ryggskjoldet ble målt.

Halvparten av taskekrabbene ble kokt hele, og mage («pave») og gjeller ble fjernet før det ble tatt prøver av klokjøtt og brunmat fra hver krabbe. «Brunmat» vil si innmaten i krabbeskjellet som i tillegg til rogn og noe bindevev for det meste består av hepatopankreas (også kalt fordøyelseskjertelen, eller levermassen).

Den andre halvparten av krabbene ble avlivet ved stikking med syl gjennom to nervesentre etter standard metode fra Codex Alimentarius (WHO/FAO 2012), før klørne ble fjernet og det ble tatt prøve av hepatopankreas. For å ta prøve av hepatopankreas ble skallet åpnet, vann fikk renne av, og deretter ble så mye som mulig av hepatopankreas plukket ut ved hjelp av en pinsett. Klørne ble frosset ned, og klokjøttet ble plukket ut etter tining av klørne.

Hver prøve ble homogenisert, og prøvene av brosmefilet ble frysetørket før kvikksølvanalyse. For å unngå evt. avdamping av metallisk kvikksølv, ble prøvene av krabbe ikke frysetørket men analysert i våt tilstand.

Tørrstoff i krabbeprøvene ble bestemt ved at en prøve ble tørket i varmeskap ved 103°C. 

Før bestemmelse av totalkvikksølv med induktivt koblet plasma-massespektrometer (ICPMS) ble prøven dekomponert med syre i mikrobølgeovn slik at kvikksølvet forelå som ioner i løsning. Metoden ble beskrevet i detalj av Julshamn m.fl. (2007).

Krabbeprøver ble også analysert for metylkvikksølv ved GC-ICPMS med isotopfortynning (Valdersnes m.fl. 2012). Innveid prøve ble tilsatt "spikeløsning" og tetrametyl ammonium hydroksid (TMAH) og satt på rotator for dekomponering. Løsningen ble pH-justert, tilsatt derivatiseringsreagens, og derivatiserte kvikksølvforbindelser ble ekstrahert over i heksan. Prøvene ble til slutt analysert på GC-ICPMS og kvantifisert ved isotopfortynning. Metylkvikksølvkonsentrasjon er oppgitt som konsentrasjon kvikksølv og som andel metylkvikksølv-kvikksølv av totalkvikksølv.

Analysemetodene for bestemmelse av totalkvikksølv og metylkvikksølv er akkreditert i henhold til ISO-EN 17025.

3 - Resultater og diskusjon

3.1 - Brosme

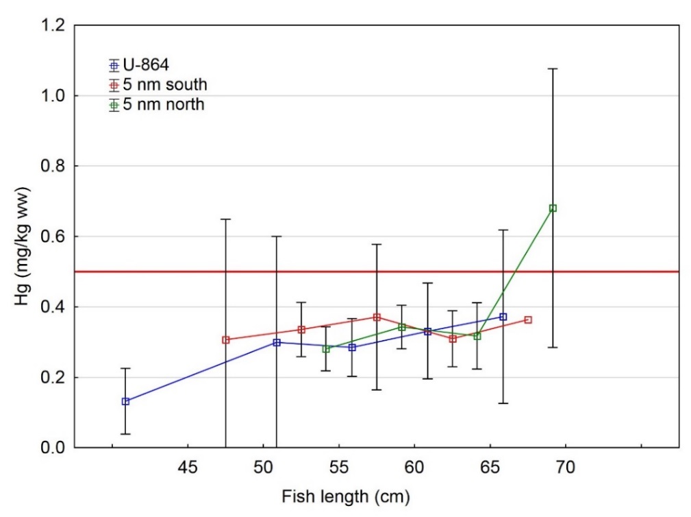
Brosme prøvetatt i 2018 varierte i vekt fra 0,65 til 4,05 kg (Tabell 2). Gjennomsnittsvekt for de tre prøvelokalitetene varierte fra 2,2 kg ved den sørlige lokaliteten til 2,7 kg ved den nordlige lokaliteten, mens brosme prøvetatt ved vraket hadde en snittvekt på 2,3 kg, som i 2017. Fisken prøvetatt i 2018 var i likhet med 2017 og 2016 større enn i de fleste tidligere år (Figur 2). Det at størrelsen på fisken varierer fra år til år gjør direkte sammenligning mellom år utfordrende, siden kvikksølv i fisk generelt øker med størrelse.

Gjennomsnittlig kvikksølvkonsentrasjon i filet av brosme prøvetatt i 2018 ved vraket, fem nautiske mil nord (5 nm N) og fem nautiske mil sør (5 nm S) var henholdsvis 0,29, 0,39 og 0,33 mg/kg våtvekt (Tabell 2; Tabell A1). Tre fisk prøvetatt ved vraket, tre prøvetatt nord for vraket og en prøvetatt sør for vraket var over den øvre grenseverdien på 0,5 mg/kg våtvekt satt i EU og Norge for kvikksølv i fisk som omsettes som mat (EC, 2006; Forskrift 3. juli 2015 nr. 870 om visse forurensende stoffer i næringsmidler). Gjennomsnittskonsentrasjonene var noe høyere i 2018 enn i 2017 og de fleste tidligere år bortsett fra 2008 og 2010 (Figur 2; Tabell A1).

Gjennomsnittlig kvikksølvinnhold i brosme prøvetatt ved vraket var lavere enn i brosme prøvetatt ved referanselokalitetene lenger sør og nord (Tabell 2), men forskjellene var ikke statistisk signifikante. Noen av forskjellene skyldes kanskje ulik størrelse på fisken vi fikk ved de tre lokalitetene (Figur 3).

Ved vraket var kvikksølvnivået i brosme målt i 2018 signifikant høyere enn i 2007, 2011 og 2012. I 2018 var gjennomsnittsvekten av brosmene de høyeste vi har målt og det var spesielt tre store fisk prøvetatt ved vraket som hadde relativt høye kvikksølvnivåer, over 0,5 mg/kg våtvekt, og som påvirket dette relativt høye gjennomsnittet. Disse tre brosmene var 62, 65 og 68,5 cm. Selv om nivåene var noe høyere i brosme analysert i 2018 er det ikke grunnlag for å kunne fastslå at det har vært en endring over tid (økning).

Tidligere har vi vist at kvikksølvnivåene i brosme fra Fedje ikke er høyere enn andre steder langs kysten mot Nordsjøen (Frantzen m.fl. 2018), og dette gjelder fremdeles. Analyser av stabile kvikksølvisotoper i brosme prøvetatt i 2015 og endelig publisert nå i 2019 viste at kvikksølvet som vi finner i brosme prøvetatt nær U-864 har samme isotopsammensetning som kvikksølv i brosme fisket andre steder uten spesielle punktkilder, som ved Skagerrakkysten og i Sognefjorden (Rua-Ibarz m.fl. 2019). I motsetning til dette hadde kvikksølvet i brosme prøvetatt i Hardangerfjorden, nær den forurensede sjøbunnen i Sørfjorden, en egen profil som skilte seg fra de andre områdene. Isotopsammensetningen så ellers ut til å endre seg gradvis nordover i Norskehavet. Disse resultatene viser med stor grad av sannsynlighet at kvikksølvet vi finner i brosme i områdene nær U-864 ikke stammer fra ubåtvraket, og at kvikksølvet i brosme prøvetatt her er et resultat av generell langtransportert forurensning. For å undersøke om dette bildet kan ha endret seg, vil det i 2019 igjen bli tatt prøver av brosme ved U-864 og i andre områder til analyse for stabile kvikksølvisotoper.

Table 2. Fish weight (g), length (cm) and mercury concentration (Hg, mg/kg ww) in fillet of tusk (Brosme brosme) sampled in May 2018 at the wreck site (U-864), five nautical miles south (5 nm S) and five nautical miles north (5 nm N) of the wreck. The results are given as mean ± standard deviation, minimum and maximum values.

Sampling siteNFish weight (g)Fish length (cm)Hg (mg/kg ww)
  Mean ± SD (Min – max)Mean ± SD (Min – max)Mean ± SD (Min – max)
U-864252317 ± 931 (651 – 4050)58.6 ± 8.8 (40 – 70)0.29 ± 0.15 (0.082 - 0.71) (3)
5 nm N252705 ± 632 (1681 – 3888)60.1 ± 5.0 (51 – 70)0.39 ± 0.21 (0.20 – 1.1) (3)
5 nm S202192 ± 701 (1206 – 3442)56.5 ± 5.7 (48 – 69)0.33 ± 0.09 (0.20 - 0.55) (1)

 

Figure 2. Concentration of mercury (mg/kg ww, left) in fillet and fish weight (g, right) of tusk (Brosme brosme) caught near the wreck of U-864 every year from 2005-2018. For each year, mean ± 95% confidence intervals are given, and median values are shown as separate points. The red line marks the maximum level for Hg in fish for human consumption (EU and Norway).

 

Figure 3. Concentration of mercury (mg/kg ww) in fillet of tusk (Brosme brosme) caught in 2018 at the wreck of U-864, five nautical miles south (5 nm S) and five nautical miles north (5 nm N) of U-864, at different fish size intervals (<45, 45-50, 50-55, 55-60, 60-65, 65-70 and >70 cm). Means ± 95% confidence intervals are given. The red line marks the maximum level for Hg in fish for human consumption (EU and Norway).

 

Forklaringen på at vi ikke finner kvikksølv fra ubåtvraket i brosme fisket her, er at det metalliske kvikksølvet i sedimentet er lite tilgjengelig for opptak i næringskjeden. Det er metylkvikksølv som er den kvikksølvformen som er mest tilgjengelig for opptak i næringskjeden. Metyleringsforsøk gjennomført på vegne av Kystverket med forurenset sediment fra bunnen ved ubåtvraket viste ingen betydelig metylering, men at tilførsel av organisk materiale økte metyleringen (Kystverket 2015). Dette tyder på at kvikksølvet ved vraket er lite metylert fordi det er lite organisk materiale i sedimentet. 

 

3.2 - Krabbe

Krabbene som ble fanget i 2018 hadde skallbredde fra 106 til 177 mm og vekt fra 185 til 1004 g (Tabell 3). Gjennomsnittsstørrelse varierte fra 131 cm og 352 g for krabbene prøvetatt fire nautiske mil nord for vraket og behandlet rå til 146 cm og 550 g for krabbene tatt ved U-864 og kokt. Variasjon i størrelse har tidligere vist liten betydning for kvikksølvnivå i krabbe.

Table 3. Crab size of cooked and raw edible crab (Cancer pagurus) caught in 2018 at the wreck site of U-864, four nautical miles south (4 nm S) and four nautical miles north (4 nm N) of the wreck. Results are given as means ± standard deviations, minimum and maximum values.

   Weight (g)Carapace width (mm)
AreaTreatmentNMean ± SD (Min – Max)Mean ± SD (Min – max)
U-864Cooked9550 ± 249 (273 – 1004)146 ± 19 (121 – 177)
 Raw12418 ± 137 (249 – 677)135 ± 11 (120 – 153)
4 nm SCooked15469 ± 140 (266 – 778)141 ± 14 (120 – 165)
 Raw15467 ± 105 (263 – 671)143 ± 9 (121 – 159)
4 nm NCooked14426 ± 116 (190 – 667)139 ± 13 (106 – 166)
 Raw14352 ± 98 (185 – 537)131 ± 13 (109 – 156)

 

3.2.1 - Klokjøtt

Konsentrasjonen av totalkvikksølv i klokjøtt av krabbe varierte fra 0,036 til 0,50 mg/kg våtvekt (Tabell 4). Den høyeste konsentrasjonen var lik grenseverdien, men ingen krabbe var over grenseverdi. Den høyeste gjennomsnittlige konsentrasjonen av kvikksølv i klokjøtt var 0,25 mg/kg våtvekt, målt i klokjøtt fra kokte krabber prøvetatt 4 nm nord for U-864. Den laveste snittverdien, 0,068 mg/kg våtvekt, ble målt i klokjøtt av rå krabber fisket 4 nm sør.

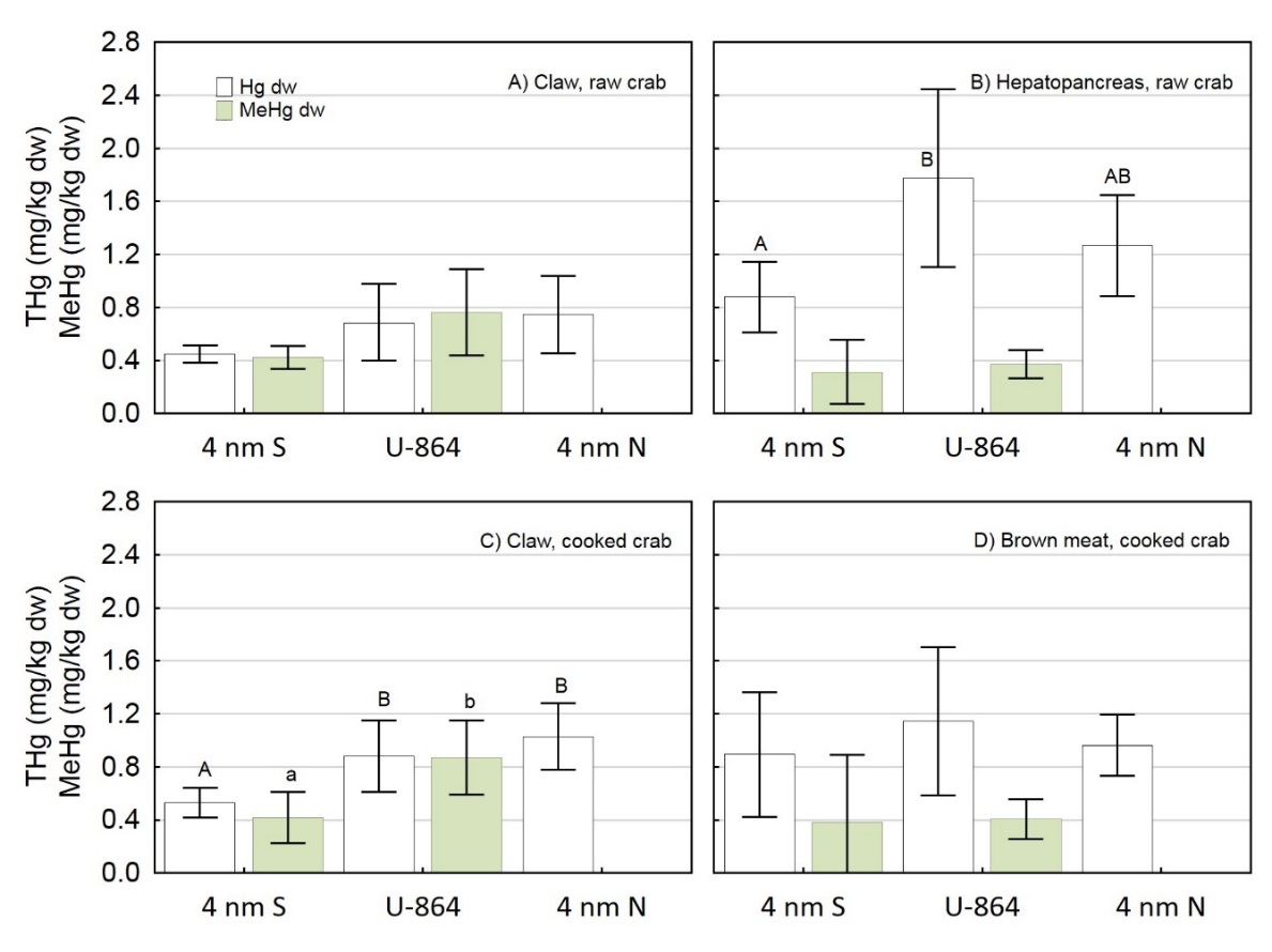
Det var altså store variasjoner mellom prøvene, og noe av variasjonen kan skyldes variasjon i vanninnhold i prøvene. Sammenligning av lokalitetene ble derfor gjort på konsentrasjoner omregnet til tørr prøve (Figur 4). Klokjøtt av krabber fra den sørlige lokaliteten hadde generelt noe lavere totalkvikksølvnivå enn klokjøtt av krabber fisket ved vraket og 4 nm nord (Figur 4). I klokjøtt av kokte krabber var det signifikant forskjell mellom den sørlige lokaliteten og de to lenger nord.

I 2018 målte vi også metylkvikksølv i klokjøtt av krabber tatt ved vraket og 4 nm sør, og gjennomsnittlig andel metylkvikksølv varierte fra 96 til 102 %. Det vil si at så å si alt kvikksølvet i klørne var metylkvikksølv, og dette er som forventet da vi vet at metylkvikksølv er den kvikksølvformen som akkumuleres i muskelvev. Andelen metylkvikksølv var like høy i kokte som i rå krabbeklør.

Når vanninnhold ble tatt høyde for ved å sammenligne tørrstoffkonsentrasjoner (Figur 4), var det ingen betydelig forskjell i konsentasjon av total- eller metylkvikksølv mellom kokte og rå klør. Vanninnholdet avtar ved koking, og de gjennomsnittlige våtvektskonsentrasjonene var derfor stort sett litt høyere i kokte enn i rå krabbeklør (Tabell 4).

I kokt klokjøtt var det en positiv sammenheng mellom konsentrasjonen av total- og metylkvikksølv og krabbens størrelse målt som skallbredde, og denne økningen var større ved vraket av U-864 enn ved lokaliteten 4 nm sør for vraket (Figur A1, A2). Lavere konsentrasjoner ved den sørlige lokaliteten sammenlignet med de øvrige lokalitetene skyldtes imidlertid ikke forskjeller i størrelse. Ved den nordlige lokaliteten var det ingen sammenheng mellom kvikksølvnivå og størrelse. For rått klokjøtt var det ikke signifikant sammenheng med størrelse, og dette kan kanskje skyldes at det var et mindre størrelsesspenn blant de krabbene som ble behandlet rå, med de største krabbene litt over 15 cm.


Table 4. Concentrations of mercury in cooked and raw edible crab (Cancer pagurus) caught in 2018 at the wreck site of U-864, four nautical miles south (4 nm S) and four nautical miles north (4 nm N) of the wreck. For cooked crab, claw meat and brown meat (BM) were analysed, and for raw crab, claw meat and hepatopancreas (HP) were analysed. Total mercury (THg, mg/kg wet weight) was determined in all samples, while methyl mercury (MeHg) was determined in a limited number of samples crabs from U-864 and 4 nm S. MeHg results are given both as concentrations (mg/kg wet weight) and as portion of total mercury (% of THg). Results are given as means ± standard deviations (SD), minimum and maximum values.

   THg clawMeHg clawTHg BM/HPMeHg BM/HPMeHg% clawMeHg% BM/HP
   Mean ± SDMean ± SDMean ± SDMean ± SDMean ± SDMean ± SD
AreaTreat- mentNMin – maxMin - maxMin – maxMin - maxMin - maxMin - max
U-864Cooked9/90.185 ± 0.0650.184 ± 0.0690.241 ± 0.0820.095 ± 0.05098 ± 541 ± 19
   0.089 - 0.260.081 - 0.260.10 - 0.400.034 - 0.1790 - 10313 - 73
 Raw12/100.157 ± 0.1160.170 ± 0.1210.532 ± 0.2180.107 ± 0.051102 ± 1125 ± 14
   0.072 - 0.500.065 - 0.490.28 - 0.960.047 - 0.2378 - 11910 - 53
4 nm SCooked15/50.116 ± 0.0530.090 ± 0.0450.117 ± 0.0630.072 ± 0.08596 ± 938 ± 24
   0.053 - 0.230.046 - 0.140.043 - 0.280.025 - 0.2288 - 10819 - 79
 Raw15/50.068 ± 0.0260.067 ± 0.0180.188 ± 0.0910.068 ± 0.03799 ± 946 ± 18
   0.036 - 0.120.040 - 0.0890.077 - 0.380.044 - 0.1387 - 11020 - 65
4 nm NCooked140.246 ± 0.098 0.202 ± 0.073   
   0.12 - 0.39 0.098 - 0.34   
 Raw140.127 ± 0.054 0.301 ± 0.105   
   0.062 - 0.23 0.17 - 0.48   

 

Figure 4. Total mercury (THg, mg/kg dry weight) and methyl mercury (MeHg, mg/kg dry weight) in crab (Cancer pagurus) caught at the wreck of U-864, four nautical miles south of the wreck (4 nm S) and four nautical miles north of the wreck (4 nm N). Results are given for A) raw claw meat, B) hepatopancreas of raw crab, C) claw meat of cooked crab and D) brown meat of cooked crab. Means ± 95% confidence intervals are shown.

Gjennomsnittsnivået av totalkvikksølv i klokjøtt av de kokte krabbene fra vrakområdet analysert i 2018, 0,19 mg/kg våtvekt, var det høyeste gjennomsnittet målt siden starten av overvåkningen i 2006 (Figur 5A; Tabell A3), og til sammenligning var gjennomsnittskonsentrasjonen målt ved vraket i 2017 0,14 mg/kg våtvekt og gjennomsnittet for 2008-2017 0,11 mg/kg våtvekt (Frantzen m.fl. 2019). Men variasjonen er stor både mellom år og mellom individuelle krabber. Klokjøttnivået målt i 2018 var signifikant høyere kun i forhold til nivåene målt i 2010, 2012 og 2015, sammenlignet på tørrvektsbasis. Det er så langt ikke grunnlag for å fastslå at det har vært en generell økning i perioden overvåkningen har pågått. 

Figure 5. Concentrations (mg/kg dry weight, dw) of Hg over time from 2006-2018 analysed in A) claw meat and B) brown meat of boiled crabs captured at the site of U-864, 4 nautical miles (nm) south and 4 nm north of the wreck. Concentrations are given as log10 transformed values, and mean, standard errors and 95% confidence intervals are givens. The horizontal lines represent reference sites on the west coast of Norway south of 62°N. The black horizontal line represents the mean Hg concentration of all 110 crab samples analysed in 2011 on the coast of west Norway south of 62°N (Julshamn m.fl. 2012). The orange lines represent the highest and the lowest mean values among all 11 stations included in the study.

3.2.1.1 - Sammenligning med bakgrunnsnivå

For å sammenligne kvikksølvkonsentrasjoner i krabbe med bakgrunnsnivå er det her tatt utgangspunkt i den store kartleggingen av fremmedstoffer i taskekrabbe langs kysten som ble gjennomført i 2011 (Julshamn m.fl. 2012). For en mest mulig relevant sammenligning er det denne gangen inkludert data fra stasjoner på Vestlandet sør for 62 °N. Det vil si totalt 110 krabber fra 11 ulike lokaliteter i Rogaland, Hordaland og Sogn og Fjordane. Disse lokalitetene var valgt ut slik at krabbene ikke skulle være prøvetatt i områder med kjent forurensning og ikke inne i fjorder. Figur 5A viser at kvikksølvkonsentrasjonene målt i klokjøtt av krabber fra de tre lokalitetene ved Fedje de fleste år har vært innenfor de høyeste og de laveste gjennomsnittsverdiene fra lokaliteter andre steder på Vestlandet. Bare i 2018 var konsentrasjonene både ved vraket og 4 nm nord betydelig høyere enn referanselokaliteten fra 2011 med det høyeste gjennomsnittet (0,12 mg/kg vv ved en lokalitet i Fitjar kommune).

Det ser altså ut til at krabber fisket i 2018 nær ubåtvraket og 4 nm nord for vraket hadde forhøyet kvikksølvnivå i klokjøtt sammenlignet med bakgrunnsnivå. Dette skiller seg fra tidligere funn som viser at kvikksølvnivået i klokjøtt rundt U-864 ikke er forhøyet (f.eks. Frantzen m.fl. 2019). Men det forhøyede kvikksølvnivået stammer ikke nødvendigvis fra kvikksølvlasten fra U-864, det kan også skyldes eventuelle andre påvirkningskilder.

For å undersøke nærmere om kvikksølvet i krabbene tatt ved vraket kan spores tilbake til U-864 og det forurensede sedimentet rundt, ble ti av krabbene fisket ved vraket og fem av krabbene fisket 4 nm sør for vraket analysert for stabile kvikksølvisotoper gjennom et samarbeid med Universitetet i Gent. Resultatene fra disse analysene er blitt en masteroppgave ved Universitetet i Gent (Dumont 2019). Resultatene støtter resultatene fra isotopanalysene med krabber prøvetatt i 2014, som tydet på at klokjøtt av krabber fisket i området ikke hadde tatt opp kvikksølv fra vrakstedet (Rua-Ibarz m.fl. 2016). Det var ikke signifikant forskjell i isotopsammensetningen mellom krabber fisket ved vraket og de fisket fire nautiske mil sør for vraket. Videre sammenlignet vi denne gangen isotopsammensetning i kokte og rå krabber, og for klokjøtt ble det vist at koking ikke påvirket isotopsammensetningen i krabbeklørne. Dette er trolig fordi kvikksølvet i klørne var rundt 100 % metylkvikksølv, som er sterkt bundet til proteinene i muskelvevet og ikke frie molekyler som lett kan løses i kokevannet eller fordampe i kokeprosessen.

Resultatene fra isotopanalysene tyder altså på at det forhøyede metylkvikksølvnivået målt i klokjøtt av krabber fra vrakområdet og fire mil lenger nord i 2018 skyldes annen påvirkning enn vraket. Det bør imidlertid også bemerkes at metylering av kvikksølv i seg selv medfører fraksjonering som gir endret isotopsammensetning, samtidig som metylkvikksølvet som er tilstede i næringskjeden vil bestå av kvikksølv fra ulike kilder. Derfor kan det være vanskeligere å skille ulike kilder fra hverandre når metylkvikksølv er den dominerende kvikksølvformen, sammenlignet med når det er mye uorganisk kvikksølv til stede. Likevel skulle man forvente en forskjell i signatur med en såpass dominerende kvikksølvkilde som kvikksølvet i sedimentet rundt U-864.

3.2.2 - Brunmat og hepatopankreas

Brunmat av kokte krabber varierte i konsentrasjon av totalkvikksølv fra 0,043 mg/kg våtvekt til 0,40 mg/kg våtvekt, og gjennomsnittet for de tre lokalitetene varierte fra 0,12 mg/kg våtvekt ved lokaliteten 4 nm sør til 0,24 mg/kg våtvekt ved vraket av U-864 (Tabell 4). Hepatopankreas av de rå krabbene hadde som tidligere noe høyere konsentrasjon av totalkvikksølv enn brunmat av kokte krabber, med gjennomsnitt for de tre lokalitetene fra 0,19 mg/kg ved den sørlige lokaliteten til 0,53 mg/kg våtvekt ved vraket. Variasjonen for hepatopankreas fra individuelle krabber var fra 0,077 til 0,96 mg/kg våtvekt. Det er ingen grenseverdier for mattrygghet som gjelder for hepatopankreas eller brunmat av krabber.

Gjennomsnittlig konsentrasjon av metylkvikksølv i brunmat/hepatopankreas varierte fra 0.068 mg/kg våtvekt i rå krabber prøvetatt ved den sørlige lokaliteten til 0,11 mg/kg våtvekt i rå krabber tatt ved ubåtvraket, og den høyeste enkeltverdien for metylkvikksølv var 0,23 mg/kg våtvekt, målt i hepatopankreas av en rå krabbe prøvetatt ved vraket (Tabell 4). Konsentrasjonen av metylkvikksølv i brunmat/hepatopankreas av enkeltkrabber prøvetatt ved vraket og 4 nm sør var mellom 13 og 79 % av totalkvikksølvkonsentrasjonen, og den gjennomsnittlige andelen metylkvikksølv varierte fra 25 % i hepatopankreas av rå krabber fra vrakstedet til 46 % i hepatopankreas av rå krabber tatt fire mil sør for vraket. 

Fordi tørrstoffinnholdet i innmaten av krabben påvirkes av koking og fordi vanninnholdet kan variere mye er det videre valgt å sammenligne konsentrasjoner omregnet til tørr prøve.

Det var ingen sammenheng mellom størrelse på krabbene og kvikksølvkonsentrasjon i tørr prøve hverken for brunmat av kokte eller hepatopankreas av rå krabber (Figur A1, A2). Dette gjaldt både total- og metylkvikksølv.

Det var ingen vesentlig forskjell i kvikksølvkonsentrasjon på tørrvektsnivå mellom brunmat av kokte og hepatopankreas av rå krabber, selv om det ved vraket var litt høyere gjennomsnittskonsentrasjon i de rå krabbene (1,8 mg/kg tørrvekt) enn i de kokte krabbene (1,1 mg/kg tørrvekt) (Figur 4). Det var imidlertid stor variasjon og antallet prøver relativt lavt. Det var ingen forskjell i metylkvikksølvkonsentrasjon mellom rå og kokte prøver, og den lille forskjellen som var for totalkvikksølv kan skyldes at noe uorganisk kvikksølv forsvinner i kokeprosessen.

Ti av krabbene prøvetatt ved vraket i 2018 ble analysert for stabile kvikksølvisotoper ved Universitetet i Gent, og resultatene er nå ferdigstilt. De viser at det er forskjell i isotopsammensetning mellom brunmat av kokte og hepatopankreas av rå krabber, der kokte krabber har en høyere andel av tyngre kvikksølvisotoper enn rå krabber (Dumont, 2019). Dette kan forklares med at lettere isotoper lettere fordamper ved varmebehandling enn tyngre isotoper, og det støtter også oppunder vår antakelse om at noe av det metalliske kvikksølvet forsvinner fra brunmaten ved koking.

Disse resultatene understreker behovet for å fortsette å overvåke både rå og kokte krabber for å fange opp både eventuell kontaminering av krabber fra det metalliske kvikksølvet som forurenser sedimentet og for å ivareta mattryggheten ettersom tilbereding av krabbene påvirker kvikksølvnivåene.

3.2.2.1 - Sammenligning mellom lokaliteter

I hepatopankreas av de rå krabbene var det vesentlig lavere nivå av totalkvikksølv (tørrvekt) i krabber tatt sør for vraket sammenlignet med vrakområdet (Figur 4). For metylkvikksølv var det ingen forskjell. For kokte krabber var det ingen vesentlig forskjell mellom lokalitetene, hverken for totalkvikksølv eller metylkvikksølv.

I enkelte tidligere år har brunmat av kokte krabber prøvetatt ved vraket hatt høyere kvikksølvkonsentrasjon enn de prøvetatt sør for vraket, mens vi andre år ikke har sett noen forskjeller (Se vedlegg i rapporten for 2017, Frantzen m.fl. 2019). I 2017 var det tydeligere forskjeller mellom lokalitetene for de kokte krabbene enn for de rå krabbene, mens det nå i 2018 bare var forskjell for de rå krabbene.

Omregnet til tørr prøve var det tre rå krabber og to kokte krabber prøvetatt ved vrakområdet som hadde spesielt høye totalkvikksølvkonsentrasjoner i henholdsvis hepatopankreas og brunmat med over 1,0 mg/kg tørrvekt. Tilsvarende høye verdier ble ikke funnet for metylkvikksølv. Dette skyldes trolig at bare noen få hadde fått i seg betydelige mengder metallisk kvikksølv fra sedimentet. Dette har vi også sett tidligere, og store forskjeller fra år til år skyldes etter all sannsynlighet at det bare er noen få enkeltkrabber som får i seg vesentlige mengder metallisk kvikksølv, og hvor mange det er og hvor mye de har fått i seg varierer fra år til år.

Resultatene fra kvikksølvisotopanalyse både med krabber fra 2014 (Rua-Ibarz m.fl. 2016) og fra 2018 (Dumont 2019) støtter også denne forklaringen. Resultatene fra begge undersøkelsene viste at jo større andel uorganisk kvikksølv det var, jo mer lik var isotopsammensetningen den som er målt i sedimentet og i metallisk kvikksølv fra ubåten. Basert på dette ble det konkludert med at det metalliske kvikksølvet i krabbene syntes å stamme fra ubåtvraket, mens metylkvikksølvet synes å stamme fra andre, mer diffuse kilder som langtransportert forurensning.

Dette reflekteres også i variasjonen fra år til år som vi ser i de kokte krabbene (Figur 5). I 2018 var gjennomsnittlig kvikksølvkonsentrasjon i brunmat av kokte krabber prøvetatt ved vraket relativt høyt, med et gjennomsnitt blant de høyeste som er målt. Det kan nesten se ut som om det har vært en økning siden 2014, men samtidig ser vi at gjennomsnittskonsentrasjonene også var relativt høye i 2011-2013. Det kan være naturlige svingninger eller tilfeldig variasjon, men det er uansett nødvendig å overvåke videre for å se om det kan være en reell økning eller ikke.

3.2.2.2 - Sammenligning med bakgrunnsnivå

Når det gjelder sammenligning av kvikksølvkonsentrasjoner i brunmat med andre områder på Vestlandet sør for Stadt, så viser Figur 6B at kvikksølvnivået i krabber fra lokalitetene ved U-864 samt fire mil nord og fire mil sør de fleste år var over gjennomsnittlig bakgrunnsnivå for Vestlandet målt i 2011, på 0,063 mg/kg våtvekt. Enkelte år har gjennomsnittet også vært høyere enn den høyeste av referanselokalitetene fra 2011 (0,096 mg/kg våtvekt målt ved Karmøy).

For brunmat er resultatene fra denne sammenligningen altså ikke så ulik det som har vært registrert i tidligere rapporter, at nivået er noe forhøyet. Dette skyldes i hovedsak som tidligere nevnt at metallisk kvikksølv kan finnes i brunmaten hos enkeltkrabber. Det som er nytt for 2018 er det relativt høye nivået av kvikksølv i klokjøtt, som gir god grunn til å følge godt med videre. Det hadde kanskje vært behov for nyere bakgrunnsdata fra andre områder på Vestlandet for å kunne se bakgrunnsnivået nå kan være høyere enn i 2011, særlig ettersom isotopanalysene indikerer at metylkvikksølvet som vi finner i klokjøttet av krabbene stammer fra andre kilder enn fra ubåtvraket.

4 - Konklusjoner

Av i alt 70 brosmer analysert i 2018 hadde syv fisk (10 %) kvikksølvnivå over grenseverdien for mattrygghet på 0,5 mg/kg våtvekt; tre var tatt ved vraket, tre fire nautiske mil nord for vraket og én fire nautiske mil sør for vraket. Gjennomsnittskonsentrasjonene  for alle de analyserte brosmene var under grenseverdien ved alle de tre lokalitetene. I løpet av perioden overvåkningen har foregått til nå (2005-2018) har til sammen 51 av 1053 brosmer, 4,8 %, hatt kvikksølvnivå over grenseverdien som gjelder mattrygghet.

Det var ingen forskjell i kvikksølvnivå mellom brosme prøvetatt ved vraket og de to lokalitetene fire nautiske mil nord og sør for vraket, og kvikksølvnivået var heller ikke forhøyet sammenlignet med bakgrunnsnivå for kysten av Vestlandet.

Filet av brosme prøvetatt i 2018 nær vraket av U-864 hadde forholdsvis høyt kvikksølvnivå sammenlignet med flere tidligere år. Dette skyldtes trolig delvis at noen av fiskene var forholdsvis store med den høyeste gjennomsnittsvekten vi har hatt på denne lokaliteten. Nivåene har variert mye fra år til år, og det er så langt ikke grunn til å konkludere med noen økning i kvikksølvnivået i brosme fra området.

Ingen taskekrabber fisket i 2018 ved vraket av U-864 eller fire nautiske mil nord eller sør for vraket hadde kvikksølvnivå i klokjøtt over EU og Norges grenseverdi på 0,5 mg/kg våtvekt.

Gjennomsnittlig nivå av både totaltkvikksølv og metylkvikksølv i klokjøtt av krabbe prøvetatt ved vraket og fire nautiske mil nord for vraket var forholdsvis høyt sammenlignet med tidligere år og sammenlignet med bakgrunnsnivå. Nivået i klokjøtt av krabbe var også høyere ved vraket og nord for vraket sammenlignet med fire nautiske mil sør for vraket.

Analyser av stabile kvikksølvisotoper i noen av disse krabbene viste at kvikksølvet i klokjøtt av krabbe fisket ved vraket og fire nautiske mil sør for vraket ikke hadde signifikant forskjellig isotopsammensetning. Det er derfor grunn til å tro at det forhøyede kvikksølvnivået i klokjøtt målt i 2018 har andre årsaker enn forurensning fra ubåtvraket. Men det er viktig å følge godt med på utviklingen fremover.

Brunmat og hepatopankreas av henholdsvis kokte og rå krabber hadde også relativt høyt nivå av totalkvikksølv i 2018, men nivået av metylkvikksølv var ikke forhøyet. Det er ingen grenseverdi for mattrygghet som gjelder for brunmat og hepatopankreas.

I hepatopankreas av rå krabber var konsentrasjonen av totalkvikksølv høyere ved vraket enn 4 nautiske mil sør for vraket. I brunmat av kokte krabber var det ingen forskjell mellom lokalitetene. For metylkvikksølv var det ingen forskjell mellom lokalitetene hverken i rå eller kokt krabbe, og trolig var det det metalliske kvikksølvet fra U-864 tatt opp fra sedimentet som utgjorde forskjellen for totalkvikksølv. Dette støttes av analyse av stabile kvikksølvisotoper, som viste at det i hepatopankreas og brunmat var ulik isotopsammensetning ved vraket og fire nautiske mil sør for vraket.

Resultatene fra de nye isotopanalysene støtter tidligere konklusjoner om at det metalliske kvikksølvet i krabbene synes å stamme fra ubåtvraket, mens metylkvikksølvet synes å stamme fra andre kilder. 

Relativt høye kvikksølvnivåer i både klokjøtt og brunmat av krabbe prøvetatt ved vraket og fire nautiske mil nord for vraket i 2018 sammenlignet med tidligere år og sammenlignet med bakgrunnsnivå kan skyldes naturlige svingninger eller tilfeldig variasjon. Uansett årsak er det viktig å overvåke videre for å se hvorvidt det pågår en reell økning. Det er imidlertid viktig å påpeke at de målte kvikksølvnivåene ikke er så høye at de gir grunn til bekymring for mattryggheten.

5 - Litteraturliste

Bloom, N. S. (1992). On the chemical form of mercury in edible fish and marine invertebrate tissue. Canadian Journal of Fisheries and Aquatic Sciences 49: 1010-1017.

Dumont, L. (2019). High-precision mercury isotopic analysis in an environmental context. Department of Chemistry, Atomic and Mass Spectrometry. Ghent, Belgium, Gent University. Master of Science: 76 s.

EC (2006). Commission regulation (EC) No 1881/2006 of 19 December 2006 setting maximum levels for certain contaminants in foodstuffs. Official Journal of the European Union 364: 5-24.

Forskrift om visse forurensende stoffer i næringsmidler (2015). Forskrift om visse forurensende stoffer i næringsmidler (FOR-2015-07-03-870). Hentet fra https://lovdata.no/dokument/SF/forskrift/2015-07-03-870

Frantzen, S., D. Furevik, B. H. Ulvestad og A. Maage (2014). Kvikksølvinnhold i fisk og annen sjømat ved vraket av U-864 vest av Fedje. Nye analyser i 2013. Bergen, NIFES: 20 s.

Frantzen, S. og A. Maage (2015). Kvikksølv i fisk og annen sjømat ved vraket av U-864 vest av Fedje. Nye analyser i 2014. Bergen, NIFES: 24 s.

Frantzen, S. og A. Måge (2016). Kvikksølvinnhold i fisk og annen sjømat ved vraket av U-864 vest av Fedje. Nye analyser i 2015. Bergen, NIFES: 31 s.

Frantzen, S., A. Måge, D. Furevik og K. Julshamn (2008). Kvikksølvinnhold i fisk og sjømat ved vraket av U864 vest av Fedje. Nye analyser i 2008 og sammenligning med data fra perioden 2004 til 2007. Bergen, NIFES: 20 s.

Frantzen, S., A. Måge, D. Furevik og K. Julshamn (2010). Kvikksølvinnhold i fisk og sjømat ved vraket av U864 vest av Fedje - Nye analyser i 2009 og sammenligning av data fra perioden 2004-2008. Bergen, NIFES: 18 s.

Frantzen, S., A. Måge, D. Furevik og K. Julshamn (2011). Kvikksølv i fisk og annen sjømat ved vraket av U-864 vest av Fedje - Nye analyser i 2010 og sammenligning med perioden 2004 til 2009. Bergen, NIFES: 20 s.

Frantzen, S., A. Måge, D. Furevik, B. H. Ulvestad og K. Julshamn (2012). Kvikksølvinnhold i fisk og annen sjømat ved vraket av U-864 vest av Fedje - Nye analyser i 2011 og sammenligning med data fra perioden 2004 til 2010. Bergen, NIFES: 20 s.

Frantzen, S., H. M. Otterå, H. E. Heldal og A. Måge (2018). Kvikksølvinnhold i fisk og annen sjømat ved vraket av U-864 vest av Fedje - Resultater fra fast overvåkning og ekstra prøvetaking i 2016. Rapport fra Havforskningen, Havforskningsinstituttet. 8-2018: 36 s.

Frantzen, S., M. Sanden og A. Maage (2019). Kvikksølvinnhold i sjømat ved vraket av U-864 vest av Fedje - Resultater fra fast overvåkning i 2017. Rapport fra Havforskningen. Bergen, Institute of Marine Research. 2019-9: 34 s.

Haldorsen, A.-K. L., S. Frantzen, K. Julshamn, D. Furevik og A. Måge (2013). Kvikksølvinnhold i fisk og annen sjømat ved vraket av U-864 vest av Fedje. - Nye analyser i 2012. Bergen, NIFES: 17 s.

Julshamn, K., A. Måge, H. Norli Skaar, K. Grobecker, L. Jorheim og P. Fecher (2007). Determination of arsenic, cadmium, mercury, and lead by inductively coupled plasma/mass spectrometry in foods after pressure digestion: NMKL Interlaboratory Study. Journal of AOAC International 90: 844-456.

Julshamn, K., B. M. Nilsen, S. Valdersnes og S. Frantzen (2012). Årsrapport 2011. Mattilsynets program: Fremmedstoffer i villfisk med vekt på kystnære farvann: Delrapport I: Undersøkelser av miljøgifter i taskekrabbe. Bergen, NIFES: 52 s.

Kystverket (2015). Oppsummering av metyleringsforsøk på kvikksølvforurensede sedimenter ved U-864, DNV GL AS Oil & Gas. 2015-8063: 58 s.

Li, H., X. Y. Lin, J. T. Zhao, L. W. Cui, L. M. Wang, Y. X. Gao, B. Li, C. Y. Chen og  Y. F. Li (2019). Intestinal Methylation and Demethylation of Mercury. Bulletin of Environmental Contamination and Toxicology 102(5): 597-604.

Måge, A., K. Julshamn, A. Storaker og D. M. Furevik (2006). Kvikksølvinnhald i fisk og sjømat ved søkkt ubåt (U-864) vest av Fedje - Nye analysar i 2006 - Samanlikning med data frå 2004 og 2005. . Rapport til Kystverket. Bergen, NIFES: 15 s.

Måge, A., L. Vågenes, S. Frantzen, K. Julshamn og D. Furevik (2007). Kvikksølvinnhald i fisk og sjømat ved søkkt ubåt (U864) vest av Fedje - Nye analysar 2007 - Samanlikning med data frå perioden 2004 til 2006. Bergen, NIFES: 17 s.

Rua-Ibarz, A., E. Bolea-Fernandez, A. Maage, S. Frantzen, S. Valdersnes og F. Vanhaecke (2016). Assessment of Hg Pollution Released from a WWII Submarine Wreck (U-864) by Hg Isotopic Analysis of Sediments and Cancer pagurus Tissues. Environmental Science & Technology 50(19): 10361-10369.

Rua-Ibarz, A., E. B. Fernandez, A. Maage, S. Frantzen, M. Sanden og F. Vanhaecke (2019). Tracing mercury pollution along the Norwegian coast via elemental and isotopic analysis of deep-water marine fish (Brosme brosme). Environmental Science & Technology 53: 1776-1785.

Solhjell, E. og T. Lunne (2013). U-864 2013 Soil Survey. Geotechnical report, NGI, Norwegian Geotechnical Institute. 20120738-01-R.

Uriansrud, F., J. Skei og P. Stenstrøm (2005). Miljøovervåkning, strømundersøkelser, sedimentkartlegging og miljørisikovurdering knyttet til Fase 1, kartlegging og fjerning av kvikksølvforurensing ved U-864. NIVA-rapport, NIVA. 2092-2005: 61 s.

Valdersnes, S., A. Maage, D. Fliegel og K. Julshamn (2012). A Method for the Routine Determination of Methylmercury in Marine Tissue by GC Isotope Dilution-ICP-MS. Journal of Aoac International 95(4): 1189-1194.

WHO/FAO (2012). Codex Alimentarius. Code of practice for fish and fisheries products. Second edition. Rome, WHO/FAO: 250 s.

6 - Vedlegg

Table A1. Mercury concentrations  in fillet of tusk (Brosme brosme) caught at and at different distences from the site of the U-864 wreck at Fedje from 2005 until 2018. Whole fish weight (g) and Hg (mg/kg wet weight) are given for each year and each station with mean, minimum and maximum values.

   Vekt (g)Hg (mg/kg våtvekt) EU-øvre grenseverdi: 0,5
ÅrLokalitetDatoNsnittminmakssnittminmaks# > 0.5
2018Ved vraket23.05.201825231765140500.2940.0820.713
 4 n mil nord25.05.2018252705168138880.3910.1971.13
 4 n mil sør25.05.2018202192120634420.3340.200.551
2017Ved vraket15.06.2017252317123040850.2070.1050.47 
 4 n mil nord21.06.2017252775157142680.2460.0420.531
 4 n mil sør16.06.201719253980245950.2640.0500.44 
2016Ved vraket12.05.201647229284849520.260.0900.725
  15.08.201625173990127410.2120.110.39 
  09.09.201620217937545760.180.0550.781
 4 n mil nord15.08.2016252536110951170.2340.100.47 
 4 n mil sør15.08.2016253784145275390.440.141.39
2015Ved vraket04.07.201525131893122040.260.110.44 
 4 n mil nord04.07.201525157396021640.240.150.41 
 4 n mil sør04.07.201525179183440040.240.0990.571
2014Ved vraket01.06.201425142485021120.270.110.691
 4 n mil nord01.06.201425131075722700.250.130.38 
 4 n mil sør01.06.201425155488522600.230.0700.49 
2013Ved vraket30.05.201325119465617080.190.0840.32 
 4 n mil nord29.05.201325103343420360.250.150.34 
 4 n mil sør31.05.101325140146240350.270.110.561
2012Ved vraket21.06.201225138452830290.190.100.32 
 4 n mil nord21.06.201225130745123950.240.150.42 
 4 n mil sør21.06.201225154868022740.250.160.481
2011Ved vraket10.06.201125109039116600.180.100.28 
 4 n mil nord10.06.20112596344917070.220.110.37 
 4 n mil sør10.06.201125147255123210.290.120.592
2010Ved vraket20.05.201025175145135400.320.140.46 
 4 n mil nord20.05.201025175160550530.360.150.604
 4 n mil sør20.05.201025189364432090.270.130.802
2009Ved vraket15.07.20092593138026400.210.110.41 
 4 n mil nord10.07.200925103642019000.350.210.541
 4 n mil sør22.10.20092583748016200.220.100.531
2008Ved vraket30.06.200825118234033600.330.160.735
 2 n mil nord30.06.200825138342036000.390.140.625
 4 n mil sør30.06.200825129052027800.420.280.582
2007Ved vraket19.06.200725142254028400.160.090.26 
 2 n mil nord26.06.20072278332021600.240.100.391
 4 n mil nord22.06.200725114848024400.250.140.64 
2006Ved vraket12.06.20062596434020800.220.130.49 
 1 n mil nord13.06.200625122236035400.280.190.531
 2 n mil nord17.06.200625114228030000.280.160.531
2005Ved vraket27.10.200525100753921950.200.080.35 

 

Table A2. Mercury concentrations (mg/kg wet weight) in fillet of tusk caught in the area around U-864, where results are pooled for all the sites. For each year and total, mean, number of samples (N), minimum (min) and maximum (max) values, standard deviatioln (SD), median and 25 and 75 % percentiles (Q25 and Q75) are shown.

 Hg filet (mg/kg ww)      
 SnittNMinMaxSDQ25MedianQ75
20050.203250.0820.350.0520.180.200.24
20060.257750.1300.530.0830.200.240.29
20070.217720.0880.640.0830.160.210.25
20080.383750.1400.730.1340.280.360.48
20090.259750.1000.540.1030.170.240.34
20100.316750.1300.800.1280.230.300.39
20110.227750.1000.590.0920.150.220.27
20120.230750.0960.480.0790.170.230.26
20130.236750.0840.560.0860.170.220.29
20140.250750.0700.690.0940.180.230.30
20150.247750.0990.570.0950.180.230.28
20160.2661420.0551.30.1870.160.210.30
20170.237690.0420.530.1090.160.210.31
20180.340700.0821.10.1640.260.300.39
Total0.26510530.0421.30.1280.180.240.32

 


Table A3. Mercury concentrations (Hg) in claw meat of crab (Cancer pagurus) caught at and near the site of U-864 wreck off Fedje each year from 2005 to 2018. Carapace width (mm) and Hg (mg/kg wet weight) are given as mean, minimum and maximum values.

Claw meat

(EU max level: 0.5)

 Carapace width (cm)

Hg (mg/kg ww)    

YearSiteDateNmeanminmaxmeanminmax
2018Ved vraket23.05.2018914.612.117.70.1850.0890.26
 4 n mil nord26.05.20181413.910.616.60.2460.120.39
 4 n mil sør24.05.20181514.112.016.50.1160.0530.23
2017Ved vraket15.06.20171113.711.515.70.1410.0900.22
 4 n mil nord22.06.20171014.513.216.70.1460.0820.22
 4 n mil sør16.06.20171515.112.917.20.1030.0290.17
2016Ved vraket12.05.20164813.611.117.20.0960.0460.26
  15.08.20162513.811.816.60.1140.0310.27
  09.09.20162713.111.615.30.1510.0730.40
 4 nm nord04.08.20162315.012.716.90.0840.0400.15
 4 nm sør13.08.20162313.610.417.10.0700.0260.15
2015Ved vraket04.07.20152513.510.816.50.0820.0320.14
 4 n mil nord04.07.20152414.010.517.20.0840.0330.16
 4 n mil sør04.07.20152513.710.016.70.0790.0310.20
2014Ved vraket01.06.20142514.211.317.90.0740.0240.14
 4 n mil nord01.06.20142514.412.016.90.0940.0190.29
 4 n mil sør01.06.20142414.412.018.00.0750.0190.18
2013Ved vraket05.06.20132513.611.416.50.100.0450.19
 4 n mil nord29.05.20132513.611.417.20.120.0330.21
 4 n mil sør05.06.20132514.111.716.50.100.0370.20
2012Ved vraket18-21.06.122514.010.818.00.110.0320.32
 4 n mil nord18-21.06.122514.211.117.00.110.0390.27
 4 n mil sør18-21.06.122514.411.617.60.100.0460.21
2011Ved vraket10.06.112513.610.516.70.150.0390.48
 4 n mil nord10.06.112512.810.715.40.0850.0020.18
 4 n mil sør10.06.112414.010.716.60.0970.0340.18
2010Ved vraket20.05.102514.310.817.50.070.020.17
 4 n mil nord20.05.102513.310.318.90.070.020.23
 4 n mil sør20.05.102514.211.316.20.060.020.18
2009Ved vraket 2514.713.017.00.110.050.22
 4 n mil nord 2114.511.717.10.110.050.25
 4 n mil sør 2415.212.717.40.110.050.17
2008Ved vraket30.06.082313.512.016.00.160.070.26
 2 n mil nord30.06.081814.012.017.00.140.060.30
 4 n mil sør30.06.081713.912.016.50.140.040.29
2007Ved vraket19.06.072513.811.017.00.130.030.27
 2 n mil nord20.06.072314.112.017.00.140.070.31
 4 n mil nord21.06.072214.111.018.00.140.060.27
2006Ved vraket17.06.0625   0.150.040.60
 1 n mil nord13.06.0624   0.150.050.45
 2 n mil nord17.06.0625   0.120.050.21
2005Ved vraket27.10.0525   0.180.080.37

 

Table A4. Mercury concentrations (Hg) in brown meat of crab (Cancer pagurus) caught at and near the site of U-864 wreck off Fedje each year from 2005 to 2018. Carapace width (mm) and Hg (mg/kg wet weight) are given as mean, minimum and maximum values. 

Brown meat  Vekt (g)Hg (mg/kg våtvekt)
YearSiteDateNmeanminmaxmeanminmax
2018Ved vraket23.05.2018955027310040.2410.100.40
 4 n mil nord26.05.2018144261906670.2020.0980.34
 4 n mil sør24.05.2018154692667780.1170.0430.28
2017Ved vraket15.06.2017114032457190.1640.110.25
 4 n mil nord22.06.2017105003457800.0590.0310.10
 4 n mil sør16.06.2017155443328510.0610.0240.11
2016Ved vraket12.05.2016572921086330.230.0670.64
 Ved vraket15.08.2016253851646520.1360.0160.27
 Ved vraket09.09.2016283021654800.420.112.6
 4 nm nord04.08.2016244622618080.0770.0330.17
 4 nm sør13.08.2016253571407150.0690.0330.10
2015Ved vraket04.07.2015253341485540.210.0422.4
 4 n mil nord04.07.2015243741706710.150.0750.24
 4 n mil sør04.07.2015253581456350.0900.0390.20
2014Ved vraket01.06.2014253942188180.0650.0160.17
 4 n mil nord01.06.2014253952476320.110.0120.22
 4 n mil sør01.06.20142542323510260.0770.0190.44
2013Ved vraket05.06.2013253391595150.210.0990.39
 4 n mil nord29.05.2013253491997420.210.0590.44
 4 n mil sør05.06.2013254312477880.120.0420.28
2012Ved vraket18-21.06.12253952056890.170.0560.33
 4 n mil nord18-21.06.12253871826360.180.0500.54
 4 n mil sør18-21.06.12254272497420.130.0490.33
2011Ved vraket10.06.11253861826340.170.0400.70
 4 n mil nord10.06.11253081834570.130.0500.24
 4 n mil sør10.06.11253851647040.160.0310.34
2010Ved vraket20.05.10233431365780.090.040.20
 4 n mil nord20.05.10242721554170.120.040.21
 4 n mil sør20.05.10223712005770.060.030.13
2009Ved vraket16.11.09253752125310.070.010.26
 4 n mil nord16.11.09214572607180.050.030.12
 4 n mil sør16.11.09245053167540.050.030.10
2008Ved vraket30.06.08233142174630.260.080.77
 2 n mil nord30.06.08183731446750.210.090.49
 4 n mil sør30.06.08173682096850.180.060.34
2007Ved vraket19.06.07253261684850.290.111.3
 2 n mil nord20.06.07223771626210.240.051.7
 4 n mil nord21.06.07243331375580.160.060.29
2006Ved vraket17.06.0625   0.190.060.34
 1 n mil nord13.06.0624   0.220.040.41
 2 n mil nord17.06.0625   0.180.080.33
2005Ved vraket27.10.05253501994860.260.090.56
2004Ved vraket16.1.0424   0.200.080.50

 

Table A5. Mercury concentrations in crab (Cancer pagurus) caught in the area around U-864, where results are pooled for all the sites. For each year and total, mean, number of samples (N), minimum (min), maximum (max) values, standard deviation (SD), median and 25 and 75% percentiles (Q25 and Q75) are given for claw meat and brown mean of boiled crabs, respectively.

 Hg brown meat      Hg claw      
 MeanNMinMaxSDQ25 MedianQ75MeanNMinMaxSDQ25MedianQ75
20050.26250.0900.560.120.170.240.340.177250.0830.370.0650.140.170.20
20060.198740.0400.410.0730.150.190.240.138740.0400.600.0840.0900.120.16
20070.23710.0531.700.240.140.190.240.139700.0330.310.0630.0890.120.18
20080.22580.0590.770.140.130.190.260.146580.0410.300.0640.0840.140.19
20090.057700.0100.260.0340.0400.0500.060.110700.0500.250.0450.0800.100.13
20100.089690.0300.210.0480.0500.0800.120.069750.0200.230.0390.0400.0600.080
20110.153750.0310.700.0950.0890.140.210.110740.0020.480.0770.0660.0920.13
20120.160750.0490.540.0920.0840.140.210.106740.0320.320.0590.0610.0860.14
20130.181750.0420.440.0850.120.170.220.110750.0330.210.0430.0770.100.13
20140.083730.0120.440.0650.0420.0660.120.081750.0190.290.0520.0450.0690.11
20150.15740.0392.40.270.0790.110.170.082740.0310.200.0380.0510.0740.10
20160.201590.0162.60.240.0810.150.250.1031460.0260.400.0550.0650.0900.13
20170.127360.0290.220.0450.0970.120.160.092360.0240.250.0570.0440.0740.13
20180.178380.0430.400.0870.110.170.250.180380.0530.390.0930.0950.150.24
Alle0.1589470.0102.60.1650.0720.130.200.1119440.0020.600.0640.0660.0970.14

 


Table A6. Mercury concentrations in crab (Cancer pagurus) caught in the area around U-864, where results are pooled for all the sites. For each year and total, mean, number of samples (N), minimum (min), maximum (max) values, standard deviation (SD), median and 25 and 75% percentiles (Q25 and Q75) are given for hepatopancreas and claw meat of raw crabs. 

 Hg hepatopankreas    Hg klo, rå      
 MeanNMinMaxSDQ25MedianQ75MeanNMinMaxSDQ25MedianQ75
201611.850.322611.10.561517........
20170.251390.0231.30.1910.200.220.290.094390.0020.220.0450.0680.0860.12
20180.327410.0770.960.1990.180.310.40.114410.0360.500.0790.0700.0930.14
Alle0.967850.023263.650.190.260.350.105800.0020.500.0650.0690.0890.13

 

 

Figure A1. Scatterplots between crab size (carapace width, mm) and dry weight total mercury concentration (Hg, mg/kg dw), given for A) brown meat of cooked crab, B) hepatopancreas of raw crab, C) claw meat of cooked crab and D) Claw meat of raw crab. Different sampling sites are indicated with different colours: Blue: Site of U-864 wreck; Red: 4 nautical mils south (nm S) of the wreck; Green: 4 nm north of the wreck. Correlation results are shown where there was any significant correlation.

 

 

Figure A2. Scatterplots between crab size (carapace width, mm) and dry weight MeHg concentration (mg/kg dw), given for A) brown meat of cooked crab, B) hepatopancreas of raw crab, C) claw meat of cooked crab and D) Claw meat of raw crab. Different sampling sites are indicated with different colours: Blue: Site of U-864 wreck; Red: 4 nautical mils south (nm S) of the wreck; Correlation results are shown where there was any significant correlation.