Investigation of contaminants in Atlantic halibut from the coast of Trøndelag and Nordland in Norway
Comparison with results from the baseline study of Atlantic halibut in 2013-2016
In a survey for contaminants in Atlantic halibut in 2013-2016, we found that halibut caught in the outer part of Sklinnadjupet in the Norwegian Sea had significantly higher levels of mercury and persistent organic pollutants than halibut from all other investigated areas, and this area was therefore closed for halibut fisheries from October 2017. The high levels were found in open sea, and for the coastal areas inside, where an extensive halibut fishery takes place, the survey had very limited data. In this follow up study we have therefore collected and analysed samples of 20 extra halibut from the coastal areas east of the closed fishing area.
The results showed that the levels of both mercury and the organic pollutants dioxins and dioxin-like PCBs, non-dioxin-like PCBs (PCB6) and polybrominated flame retardants (PBDE7), were significantly lower in halibut caught along the coast than in halibut from open sea in outer Sklinnadjupet. The results confirmed that it is the halibut from open sea in outer Sklinnadjupet that stand out with high levels, while halibut caught along the coast east of this area have lower levels more like the levels we find in halibut from adjacent coastal and offshore areas further south and north.
Sammendrag
I en kartleggingsundersøkelse for miljøgifter i atlantisk kveite i 2013-2016 ble det funnet at kveite fanget i ytre Sklinnadjupet i Norskehavet hadde betydelig høyere nivåer av kvikksølv og organiske miljøgifter enn kveite fra alle andre områder som ble undersøkt, og dette området ble derfor stengt for kveitefiske fra oktober 2017. De høye nivåene ble funnet i åpent hav, og for kystområdene innenfor, der det foregår mye kveitefiske, var det svært mangelfulle data i kartleggingsundersøkelsen. I denne oppfølgende undersøkelsen er det derfor samlet inn og analysert prøver av 20 ekstra kveite fra kystområdene øst for det stengte fiskefeltet.
Resultatene viste at nivåene av både kvikksølv og de organiske miljøgiftene dioksiner og dioksinlignende PCB, ikke-dioksinlignende PCB (PCB6) og polybromerte flammehemmere (PBDE7), var betydelig lavere i kveite fanget langs kysten enn i kveite fra åpent hav i ytre Sklinnadjupet. Resultatene bekreftet at det er kveitene fra åpent hav i ytre Sklinnadjupet som skiller seg ut med høye nivåer, mens kveite fanget langs kysten øst for dette området har lavere nivåer mer tilsvarende nivåene vi finner i kveiter fra tilstøtende kyst- og havområder lenger sør og nord.
1 - Innledning
I en stor kartleggingsundersøkelse av miljøgifter i atlantisk kveite (Hippoglossus hippoglossus) gjennomført i perioden 2013-2016, ble det funnet at kveite fanget i et område i ytre Sklinnadjupet innenfor Fiskeridirektoratets statistikkområde 06 i Norskehavet, hadde høye nivåer av både kvikksølv og persistente organiske miljøgifter i muskel (Nilsen m.fl., 2016). Nivåene av miljøgifter i kveite fra ytre Sklinnadjupet var betydelig høyere enn i kveite fra alle andre områder som ble undersøkt, og etter anmodning fra Mattilsynet innførte Fiskeridirektoratet forbud mot fiske av atlantisk kveite i dette området fra oktober 2017 (Lovdata, Forskrift om utøvelse av fisket i sjøen, §35b).
Det er foreløpig ikke kjent hva som er årsaken til de høye nivåene av miljøgifter i kveite fra ytre Sklinnadjupet. De høye nivåene kunne ikke forklares ved biologiske faktorer som størrelse eller alder på kveitene (Nilsen m.fl., 2016), og en oppfølgende analyse av stabile isotoper av nitrogen og karbon tydet heller ikke på at de høye nivåene kunne forklares ut fra kveitenes diett eller plassering i næringskjeden i dette området (Nilsen m.fl., 2019a). Analyse av sedimentprøver innsamlet i ytre Sklinnadjupet og områdene rundt i juni-2018 indikerte at det kan finnes lokale forurensningskilder for metaller i deler av Sklinnadjupet øst for det stengte fiskefeltet (Nilsen m.fl., 2019b). Det ble imidlertid ikke funnet forhøyede nivåer av organiske miljøgifter i sedimenter fra området, og videre undersøkelser vil være nødvendig for å fastslå om det finnes kilder til miljøgifter i ytre Sklinnadjupet.
De høye nivåene av miljøgifter i kveite fra ytre Sklinnadjupet ble funnet i åpent hav. For kysten i dette området, der det foregår mye kveitefiske, var det imidlertid svært mangelfullt datagrunnlag i kartleggingsundersøkelsen, med kun tre små kveiter tatt langs kysten i område 06. For å bedre dette datagrunnlaget har vi i denne undersøkelsen, på oppdrag fra Mattilsynet, samlet inn og analysert prøver av 20 ekstra kveite fra kystområdene i område 06 (utenfor deler av Trøndelag og Nordland, se kart i figur 1). Som i kartleggingsundersøkelsen ble disse kveitene analysert for metaller i B-snitt, og dioksiner, dioksinlignende PCB, ikke-dioksinlignende PCB (PCB6) og PBDE7 i B-snitt og I-snitt av muskel. Siden kartleggingsundersøkelsen viste at nivået av PFAS var lavt i all kveite som ble undersøkt, ble kveitene i denne undersøkelsen ikke analysert for PFAS.
Nivåene av kvikksølv og organiske miljøgifter i kveite fra kystområdene i område 06 ble sammenlignet med nivåene som tidligere var funnet i kveite fra åpent hav i ytre Sklinnadjupet, samt med nivåene i kveite fra statistikkområde 07 rett sør for område 06, og statistikkområde 00 og 05 rett nord for område 06 (Nilsen m.fl., 2016). Hensikten med arbeidet var å undersøke om nivåene av kvikksølv og organiske miljøgifter i kveite fanget langs kysten i område 06 var like høye som i havområdet utenfor, eller om nivåene langs kysten er mer tilsvarende nivåene som tidligere er funnet i kveite fanget i områdene rett sør og nord for område 06.
2 - Materiale og Metoder
2.1 - Innsamling av prøver
Det ble samlet inn prøver av totalt 20 kveite fanget langs kysten mellom 64,5°N og 67°N i perioden mellom august 2017 og desember 2018 (blå punkter i figur 1). For å sikre at kveitene ble samlet inn i områder der det foregår kommersielt fiske, ble prøvetakingen gjennomført med hjelp fra to fiskemottak, Modolv Sjøset fisk AS på Træna og Rørvik fisk AS i Rørvik, i tillegg til flere lokale fiskere.
Figure 1. Map showing all positions where individual Atlantic halibut were sampled in this study (blue points) and in an earlier study included here for comparison (red points; Nilsen et al., 2016). The numbers indicate the statistical areas used by the Norwegian Directorate of fisheries (areas delineated with red lines). Atlantic halibut sampled within area 06 were grouped into two groups, 06-coast and 06-ocean.
Det ble samlet inn fisk fra ulike vektklasser, med flest fisk fra vektklassen 11-40 kg som er den vektklassen som fiskes mest. Antall fisk i hver vektklasse var som følger:
0-10 kg: 1 fisk
11-40 kg: 11 fisk
41-60 kg: 2 fisk
60-100 kg: 3 fisk
>100 kg: 3 fisk
På grunn av høye nivåer, særlig av organiske miljøgifter, ble det fra oktober 2017 innført fiskeforbud for kveiter over 100 kg (Lovdata, Forskrift om utøvelse av fisket i sjøen, §48). Siden det ikke tidligere var analysert kveite over 100 kg fra område 06, valgte vi i denne undersøkelsen å ta imot og analysere tre kveite over 100 kg for å bedre datagrunnlaget for miljøgifter i denne størrelsesklassen.
2.2 - Opparbeiding av prøver
For at resten av fisken skulle kunne omsettes, ble det tatt prøver av fremre del av kveitene (vanligvis inkludert hodet), kappet av bak brystfinnen som vist med rød stiplet linje i figur 2. Disse prøvene inkluderte da både B-snitt (forholdsvis mager del av fileten) og I-snitt (fettrik del av fileten). Fiskemottaket noterte vekt, lengde og kjønn for fisken på følgeskjema som ble lagt ved prøven, og prøvene ble frosset ned før levering til Havforskningsinstituttet (HI). Ved ankomst HI ble otolitter (øresteiner) tatt ut for aldersbestemmelse av fisken. Alderen på fisken ble senere bestemt ved telling av årringer i øresteinene.
Figure 2. Illustration of cutting lines for Atlantic halibut. The fish were cut along the red, dotted line to give a sample including the head of the fish and two different sections of the fillet behind the head, the more lean part of the fillet (B-cut) and the more oily part of the fillet (I-cut). In some cases, the head was not included in the sample, but was cut off along the black dotted line. The sample was frozen before delivery to HI. (Based on illustration from ”Facts about fish”, Norwegian Seafood Export Council, Norway).
Ved ankomst HI ble prøvene tint og det ble tatt ut både B-snitt og I-snitt av fileten hver for seg. Filetprøver av alle B-snitt og I-snitt ble homogenisert ved hjelp av food processor. Vått, homogenisert materiale av B-snitt og I-snitt ble tatt ut og frosset ned i tett emballasje til bestemmelse av fettinnhold. Resten av det homogeniserte materialet av alle B-snitt ble deretter frysetørket og homogenisert igjen til tørt pulver. Tørrstoffinnholdet ble bestemt, og prøvene ble oppbevart i tett emballasje fram til analyse for metaller og organiske miljøgifter (dioksiner og dioksinlignende PCB, ikke-dioksinlignende PCB (PCB6) og polybromerte flammehemmere (PBDE7)). På grunn av høyt fettinnhold i I-snitt-prøvene som gjorde frysetørking vanskelig, ble prøvene av I-snitt ikke frysetørket, men frosset ned som vått materiale i tett emballasje fram til analyse for organiske miljøgifter.
2.3 - Analysemetoder
2.3.1 - Bestemmelse av metaller med ICPMS (Metode nr. 197)
Frysetørket prøve av B-snitt fra hver fisk ble veid inn til bestemmelse av metaller. Metaller ble bestemt ved hjelp av plasmamassespektrometer (ICPMS) etter dekomponering i mikrobølgeovn som beskrevet av Julshamn m.fl. (2007). Følgende grunnstoff ble bestemt: arsen, kadmium, kvikksølv, bly, sølv, kobber, jern, kobolt, sink, selen, mangan, vanadium, molybden, krom og nikkel. Metoden er akkreditert i henhold til NS-ISO 17025 for arsen, kadmium, kvikksølv, bly, kobber, sink og selen. Kvantifiseringsgrenser (LOQ) er beregnet på tørr prøve for hvert av grunnstoffene, og LOQ og måleusikkerhet for de akkrediterte stoffene er gitt i tabell 1. Analysekvaliteten overvåkes jevnlig ved deltakelse i ringtester og ved analyse av sertifiserte kontrollprøver.
2.3.2 - Bestemmelse av totalt fettinnhold med etylacetat-metode (Metode nr. 091)
Våte prøver av B-snitt eller I-snitt ble ekstrahert med 30 % isopropanol i etylacetat, isopropanol og etylacetat ble dampet av og fettet ble veid. Metoden er akkreditert i henhold til NS-ISO 17025, og laboratoriet har deltatt i ringtester med metoden siden 1998 med godt resultat. Kvantifiseringsgrense og måleusikkerhet er gitt i tabell 1.
2.3.3 - Bestemmelse av dioksiner, furaner, non-orto og mono-orto PCB, PCB6 og PBDE med felles opparbeidelsesmetode (Metode nr. 292)
Frysetørkede prøver av B-snitt og våte prøver av I-snitt ble ekstrahert, renset og analysert for dioksiner og dioksinlignende PCB (PCDD/F+dl-PCB), ikke-dioksinlignende PCB (PCB6) og polybromerte difenyletere (PBDE7) med metode som beskrevet av Julshamn et al., 2013. PCDD, PCDF og non-orto PCB ble analysert på HRGC/MS og kvantifisert ved istotopfortynning/intern standard. Mono-orto PCB, PCB6 og PBDE7 ble analysert på GC-MSMS og beregnet ved hjelp av isotopfortynning/intern standard.
Ved bestemmelse av dioksiner og dioksinlignende PCB (PCDD/F+dl-PCB) ble det kvantifisert syv kongenere av dioksiner (PCDD), ti kongenere av furaner (PCDF), fire kongenere av non-orto PCB (PCB-77, -81, -126 og -169) og åtte kongenere av mono-orto PCB (PCB-105, -114, -118, -123, -156, -157, -167 og -189). Toksiske ekvivalentverdier (TE) ble bestemt ved å multiplisere konsentrasjonene med kongenernes toksiske ekvivalensfaktorer (WHO-TEF 2005). Ved beregning av sum PCDD/F og sum PCDD/F+dl-PCB for vurdering opp mot EUs og Norges grenseverdier ble konsentrasjoner mindre enn kvantifiseringsgrensen (LOQ) satt lik LOQ (upperbound LOQ) slik regelverket for grenseverdier krever(EU, 2018;Forskrift 3. juli 2015 Nr. 870 om visse forurensende stoffer i næringsmidler).
Ved bestemmelse av ikke-dioksinlignende PCB (PCB6) ble følgende seks kongenere kvantifisert: PCB-28, -52, -101, -138, -153 og -180. Sum PCB6 ble beregnet med upperbound LOQ slik regelverket krever når verdiene skal vurderes opp mot EUs og Norges øvre grenseverdier.
For PBDE ble det kvantifisert 11 ulike kongenere, inkludert syv kongenere som summeres til en ”standard sum PBDE7” (PBDE-28, -47, -99, -100, -153, -154 og -183). Sum PBDE7 ble beregnet med upperbound LOQ.
Metoden er akkreditert i henhold til NS-ISO 17025, og kvantifiseringsgrenser og måleusikkerhet er oppgitt i tabell 1. Analysekvaliteten overvåkes jevnlig ved deltakelse i ringtester og ved analyse av sertifiserte kontrollprøver.
Table 1. Undesirable substances included, analytical methods used, accreditation status of the methods, limit of quantification (LOQ) and measurement uncertainty (MU) for the samples analysed.
Analyte
Method
Accreditation
LOQ
MU (%)
Arsenic
ICP-MS
Yes
0.01 mg/kg d.w.
20 c)
Cadmium
ICP-MS
Yes
0.005 mg/kg d.w.
20 c)
Mercury
ICP-MS
Yes
0.005 mg/kg d.w.
25 c)
Lead
ICP-MS
Yes
0.03 mg/kg d.w.
25 c)
Copper
ICP-MS
Yes
0.1 mg/kg d.w.
25 c)
Zinc
ICP-MS
Yes
0.5 mg/kg d.w.
20 c)
Selenium
ICP-MS
Yes
0.01 mg/kg d.w.
25 c)
PCDDs and PCDFs
HRGC/HRMS
Yes
0.008-0.4 pg/g w.w. a)
20-35 d)
Non-ortho PCBs
HRGC/HRMS
Yes
0.008-0.4 pg/g w.w. a)
25-40 d)
Mono-ortho PCBs
GC-MSMS
Yes
10 pg/g w.w. b)
30-50 a)
PCB6
GC-MS MS
Yes
0.03 ng/g w.w. b)
30
PBDE7
GC-MSMS
Yes
0.002-0.013 ng/g w.w. a)
30-50 a)
Fat content
Gravimetry-ethyl acetate
Yes
0.1 g/100 g w.w.
5-12 e)
a) Depending on analyte (congener). b) For fatty fish. c) Measurement uncertainty (MU) at concentrations above 10xLOQ. At lower concentrations, MU is higher (70% for mercury and 40% for the other elements). d) Depending on concentration level (for each congener). e) Depending on concentration level.
2.3.4 - Resultatbehandling og statistiske metoder
I denne undersøkelsen ble det samlet inn og analysert 20 kveite langs kysten i område 06 (område 06-kyst, se figur 1) i 2017-2018. Før sammenligning av områder ble data for disse 20 kveitene slått sammen med tilsvarende data fra tre kveiter fanget i samme område i 2013 i forbindelse med kartleggingsundersøkelsen (Nilsen m.fl., 2016). Data for kveitene fra område 06-kyst ble deretter sammenlignet med tilsvarende data fra kveite fra områdene 06-hav, 07, 00 og 05 (se avmerking av områder i figur 1) som tidligere var fanget og analysert i 2013-2016 i forbindelse med kartleggingsundersøkelsen (Nilsen m.fl., 2016). For å teste om fysiske parametere og nivåene av kvikksølv og organiske miljøgifter i kveitemuskel var signifikant forskjellige mellom ulike områder benyttet vi enveis variansanalyse (ANOVA) fulgt av Tukey post-hoc test. Før ANOVA ble dataene testet for antagelsen om homogene varianser ved Levenes test og inspeksjon av residual plott. Etter log10-transformering tilfredsstilte alle dataene antagelsen om homogene varianser, og log-transformerte data ble derfor benyttet til variansanalysen.
All statistisk analyse ble utført ved bruk av StatisticaTM 13.1 (Dell Inc,, Round Rock, TX, USA) og statistisk signifikans ble akseptert ved p < 0,05.
3 - Resultater og diskusjon
3.1 - Fysiske og biologiske parametere
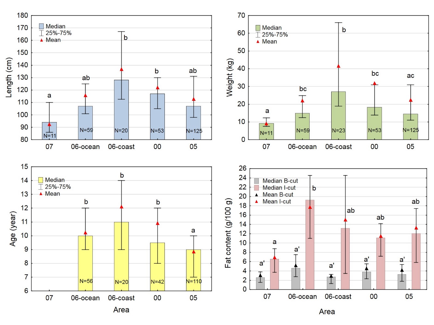
En oversikt over fysiske og biologiske parametre for 20 kveite samlet inn og analysert i denne undersøkelsen samt tre kveite fra Nilsen m.fl. (2016) er gitt i tabell 2. I tabellen er tilsvarende data for kveite fra kartleggingsundersøkelsen fra område 06-hav tatt med til sammenligning.
Kveite fra område 06-kyst varierte i lengde fra 57 til 215 cm, med et gjennomsnitt på 137 cm (tabell 2). De tre største kveitene veide mer enn 100 kg, nærmere bestemt 114 kg, 116 kg og 124 kg. Kveitene fra område 06-kyst var i gjennomsnitt noe større og eldre enn kveite som ble samlet inn ute i havet i område 06 (område 06-hav) i kartleggingsundersøkelsen (tabell 2; figur 3). Denne forskjellen var imidlertid ikke statistisk signifikant (figur 3).
Kveitene fra 06-kyst ble også sammenlignet med kveite samlet inn i kartleggingsundersøkelsen fra områder lenger sør (område 07) og lenger nord (område 00 og 05). Kveitene fra 06-kyst var signifikant lengre og tyngre enn kveitene fra område 07 (ANOVA, p<0,005). Alder var ikke bestemt for kveitene fra område 07. Kveitene fra 06-kyst hadde også signifikant høyere vekt og alder enn kveitene i område 05 (ANOVA, p<0,05) (figur 3). Det var ingen signifikant forskjell i størrelse eller alder mellom kveite fra område 06-kyst og område 00.
Fettinnholdet både i B-snitt og I-snitt av kveite fra område 06-kyst var lavere enn fettinnholdet målt i kveite fra område 06-hav (tabell 2), men denne forskjellen var ikke statistisk signifikant (figur 3). Det var heller ingen statistisk signifikante forskjeller i fettinnhold mellom kveite fra område 06-kyst og kveite fra områder lenger sør (område 07) eller lenger nord (område 00 og 05).
Table 2. Summary of results for length, weight, age, and fat content in B-cut and I-cut of muscle from Atlantic halibut collected between 64.5°N and 67°N, in coastal areas (06-coast) or ocean areas (06-ocean). Data for the area 06-coast include 20 fish from this study and three fish from Nilsen et al., 2016. Data for the area 06-ocean are from Nilsen et al., 2016.
06-coast
06-ocean
N
Mean ± SD (Median)
Min-max
N
Mean ± SD (Median)
Min-max
Length (cm)
20 a
137 ± 45 (128)
57-215
59 b
11 5 ± 24 (107)
73-181
Weight (kg)
23
42 ± 36 (27)
2.2-124
59 b
22 ± 16 (15)
4.2-72
Age (years)
20a
12.1 ± 4.4 (11)
7-24
56 c
10.2 ± 2.3 (10)
6-16
Fat content, B-cut (g/100g)
23
2.9 ± 2.3 (2.7)
0.54-12
60
5.2 ± 3.7 (4.6)
0.15-20
Fat content, I-cut (g/100g)
23
15 ± 11 (13)
1.1 -39
60
18 ± 9 (19)
0.15-37
a For three fish from area 06-coast, length and age was not recorded. b For one fish from area 06-ocean, length and weight was not recorded. c For four fish from area 06-ocean, age was not determined
Det var en svært ujevn kjønnsfordeling for kveitene som ble samlet inn langs kysten i område 06. Av de 21 kveitene fra område 06-kyst som ble kjønnsbestemt var det 16 hunner (76 %) og 5 hanner (24 %) (tabell 5). Dette stemmer godt overens med resultatene fra område 00 og område 05 i kartleggingsundersøkelsen der vi fant at henholdsvis 67 % og 71 % av kveitene som ble samlet inn var hunner (Nilsen m.fl., 2016). Kveitene som ble samlet inn i område 07 ble ikke kjønnsbestemt, men kveitene fra 06-hav i kartleggingsundersøkelsen hadde en noe jevnere kjønnsfordeling med 59 % hunner og 41 % hanner.
Figure 3. Length, weight, age and fat content in B-cut and I-cut of the muscle from Atlantic halibut collected in different areas within Norwegian waters (see figure 1 for geographical location of the different areas). Age was not determined for halibut from area 07. Median concentrations (columns), 25 and 75 percentiles (vertical bars) and mean values (red and black triangles) are shown. Data for halibut from areas 07, 06-ocean, 00 and 05 are from an earlier study (Nilsen et al., 2016) and are included here for comparison. Different letters above the columns indicate significant differences between the areas (one-way ANOVA with log-transformed values, followed by Tukey post-hoc test, p<0.05).
3.2 - Metaller i muskel (B-snitt)
I denne undersøkelsen ble konsentrasjonene av metaller i muskel (B-snitt) bestemt for 20 kveiter fanget langs kysten i område 06 (område 06-kyst, se figur 1) i 2017-2018. Resultatene ble slått sammen med metallresultater fra tre kveiter fanget i samme område i 2013 i forbindelse med kartleggingsundersøkelsen (Nilsen m.fl., 2016), og en oversikt over resultatene for disse 23 kveitene er gitt i tabell 3.
Table 3. Concentrations of different metals and arsenic in B-cut of muscle from Atlantic halibut sampled in the area 06-coast. Mean, standard deviation (SD), median, minimum and maximum values and number of fish with concentrations below the limit of quantification (LOQ) are given. EU maximum levels for mercury, cadmium and lead in muscle meat from Atlantic halibut are shown in a separate column.
Element (mg/kg ww)
N*
Mean**
SD**
Median
Min
Max
# < LOQ
EU max level
Mercury (Hg)
23
0.30
0.23
0.19
0.034
0.77
0
1.0
Cadmium (Cd)
23
<0.001
<0.0009
0.0019
20
0.05
Lead (Pb)
23
<0.006
<0.004
0.011
19
0.3
Arsenic (As)
23
6.2
4.0
5.2
1.5
17
0
-
Selenium (Se)
23
0.51
0.11
0.50
0.33
0.86
0
-
Copper (Cu)
23
0.14
0.034
0.14
0.086
0.24
0
-
Zinc (Zn)
23
4.2
0.81
3.7
3.1
6.7
0
-
Iron (Fe)
23
0.94
0.52
0.80
0.52
2.9
0
-
Manganese (Mn)
23
0.075
0.040
0.065
0.030
0.18
0
-
Silver (Ag)
23
<0.002
<0.002
<0.003
23
-
Molybdenum (Mo)
23
<0.020
<0.020
0.020
22
-
Cobalt (Co)
23
<0.006
<0.004
<0.008
23
-
Vanadium (V)
23
<0.001
<0.001
0.0081
16
-
Chromium (Cr)
20
<0.006
<0.004
0.017
17
-
Nickel (Ni)
20
<0.07
<0.05
<0.09
20
-
* 20 fish from this study and three fish from Nilsen et al., 2016. **Mean and standard deviation (SD) were only determined for elements where more than half the number of fish had concentrations above the limit of quantification (LOQ).
Resultatene for kvikksølv er av størst interesse i dette arbeidet og presenteres mer i detalj under kapittel 3.2.1, mens det her gis en kort oppsummering for de øvrige metallene.
Konsentrasjonene av kadmium og bly i kveitemuskel (B-snitt) fra område 06-kyst var svært lave og under kvantifiseringsgrensene for de aller fleste kveitene (tabell 3). Dette er i overensstemmelse med resultatene fra kartleggingsundersøkelsen (Nilsen m.fl., 2016). Ingen av kveitene hadde konsentrasjoner av disse metallene over EUs og Norges grenseverdier på 0,05 mg/kg våtvekt og 0,3 mg/kg våtvekt som gjelder for henholdsvis kadmium og bly i filet av de fleste fiskearter ( EU 2018, Forskrift om visse forurensende stoffer i næringsmidler).
Arsen og de essensielle metallene selen, kobber, sink, jern og mangan var tilstede i målbare konsentrasjoner i alle kveitene fra område 06-kyst, mens metallene sølv, molybden, kobolt, vanadium, krom og nikkel var enten under kvantifiseringsgrensen eller tilstede i svært lave konsentrasjoner i alle kveitene. Nivåene av alle disse elementene stemte godt overens med nivåene som tidligere ble funnet i kartleggingsundersøkelsen for kveite (Nilsen m.fl., 2016).
3.2.1 - Kvikksølv
Konsentrasjonene av kvikksølv i kveitemuskel (B-snitt) fra område 06-kyst er oppsummert i tabell 4 og figur 4. Her er også vist resultater for kvikksølv fra kartleggingsundersøkelsen for kveite fra område 06-hav, område 07 (sør for område 06-kyst) og område 00 og 05 (rett nord for dette området) (se figur 1).
Kvikksølvnivåene i kveite fra område 06-kyst hadde en medianverdi på 0,19 mg/kg våtvekt. Dette var mye lavere enn kveite fra område 06-hav, der medianverdien var 0,51 mg/kg våtvekt (tabell 4; figur 4), og forskjellen var statistisk signifikant (ANOVA, p<0,00005; figur 4). Det var derimot ingen signifikant forskjell mellom kvikksølvnivået i kveite fra 06-kyst og kvikksølvnivåene i kveite fra område 07 like sør for eller område 00 like nord for område 06. Kvikksølvnivået i kveiter fra område 05, som strekker seg lenger nordover enn område 00 (se figur 1), var imidlertid signifikant lavere (median 0,10 mg/kg) enn nivået i område 06-kyst (ANOVA, p<0,00005; figur 4).
Hensikten med denne undersøkelsen var å undersøke om nivåene av kvikksølv i kveiter fanget langs kysten i område 06 var like høye som i havområdet utenfor, eller om nivåene langs kysten er mer tilsvarende nivåene som tidligere er funnet i kveite fanget i områdene sør og nord for område 06. Resultatene, som på tross av et begrenset antall fisk i område 06-kyst (23 fisk) var klart statistisk signifikante, bekreftet at det er kveite fra åpent hav i område 06 som skiller seg ut med høye nivåer av kvikksølv, mens kveite fisket langs kysten i område 06 har lavere nivåer av kvikksølv tilsvarende nivåene vi finner i kveite fra tilstøtende kyst- og havområder lenger sør og nord. At nivåene i område 05 er noe lavere enn i område 06-kyst stemmer overens med trenden vi fant i kartleggingsundersøkelsen som viste at kvikksølvnivåene avtok jo lenger nord kveitene var fanget.
Ingen kveite fra område 06-kyst hadde kvikksølvkonsentrasjoner over grenseverdien på 1,0 mg/kg våtvekt som gjelder for atlantisk kveite (tabell 4). Syv kveite fra dette området (30 %) hadde likevel forholdsvis høye nivåer av kvikksølv, fra 0,50 til 0,77 mg/kg våtvekt. Fem av disse var svært store kveite på 124, 116, 114, 77 og 73 kg (figur 5). Til sammenligning hadde 12 % av kveitene fra område 06-hav nivåer av kvikksølv over grenseverdien, og mer enn halvparten (52 %) av kveitene fra område 06-hav hadde kvikksølvnivåer over 0,5 mg/kg våtvekt på tross av at ingen kveite fra dette området var større enn 72 kg.
Table 4. Concentrations of mercury in B-cut of muscle from Atlantic halibut collected in the area 06-coast in this study and in areas 07, 06-ocean, 00 and 05 in an earlier study (Nilsen et al., 2016). Median, mean±standard deviation (SD), minimum-maximum values and number of fish with concentrations above the EU maximum level (#>EU max level) within each area are given. Values above the maximum level are indicated with red numbers.
Mercury (mg/kg ww)
Area
N
Median
Mean ± SD
Min-Max
# >EU max level*
07
11
0.20
0.21 ± 0.08
0.092 - 0.34
0
06-ocean
60
0.51
0.63 ± 0.51
0.063 – 2.4
7
06-coast
23**
0.19
0.30 ± 0.23
0.034 – 0.77
0
00
53
0.13
0.21 ± 0.20
0.036 – 0.94
0
05
125
0.10
0.13 ± 0.08
0.021 – 0.59
0
*EU maximum level for mercury in muscle of Atlantic halibut is 1.0 mg/kg wet weight (EU, 2018). **20 fish sampled and analysed for this study and 3 fish from Nilsen et al. (2016).
Figure 4. Concentrations of mercury in B-cut of muscle from Atlantic halibut sampled in different areas within Norwegian waters (see figure 1 for geographical location of the different areas). Median concentrations (columns) and 25 and 75 percentiles (vertical bars) are shown for each area. Mean values are indicated by red triangles. The maximum level for mercury in muscle meat from Atlantic halibut, 1,0 mg/kg wet weight, is outside the scaling of the figure. The red dotted line indicates the EU and Norwegian maximum level for mercury in muscle meat from most other fish. Different letters above the columns indicate significant differences between the areas (one-way ANOVA with log-transformed mercury values, followed by Tukey post-hoc test, p<0.05)
Kartleggingsundersøkelsen viste at nivåene av kvikksølv i kveite økte med økende størrelse på fisken (Nilsen m.fl., 2016). Også for kveite fra område 06-kyst ble det funnet en sterk korrelasjon mellom kvikksølv i B-snitt og både lengde og vekt (r=0,85 og r=0,81, p<0,00001; tabell A1 i appendix). Ved sammenligning av de ulike områdene 07, 06-hav, 06-kyst, 00 og 05, var det imidlertid tydelig at kvikksølvkonsentrasjonen økte mye raskere med økende størrelse på fisken i område 06-hav enn i område 06-kyst og områdene rett nord og sør for dette (figur 5). Sammenligning av fisk med samme størrelse fra de ulike områdene viste at kveite fra område 06-hav ved alle størrelser hadde betydelig høyere konsentrasjon av kvikksølv enn kveite fra alle de andre områdene, mens kveitene fra område 06-kyst hadde tilnærmet samme konsentrasjoner som kveite fra område 00 og område 07. Kveite fra område 05 hadde ved de fleste størrelser noe lavere kvikksølvkonsentrasjoner enn kveite fra alle de andre områdene.
Også når man tar hensyn til størrelse viser dette altså at det er kveite fra område 06-hav som skiller seg ut med høye nivåer av kvikksølv, mens kveite fisket langs kysten i område 06 har lavere nivåer av kvikksølv tilsvarende nivåene vi finner i kveite fra tilstøtende kyst- og havområder i sør og i nord.
Figure 5. Concentration of mercury in muscle (B-cut) of Atlantic halibut from different areas within Norwegian waters (see figure 1 for geographical location of the different areas) at different fish size intervals. Left: Fish length intervals (<80, 80-100, 100-120, 120-140, 140-160, 160-180, 180-200, 200-220 and >220 cm). Right: Fish weight intervals (<20, 20-40, 40-60, 60-80, 80-100, 100-120, 120-140, 140-160 and >160 kg). The red horizontal line indicates the EU and Norwegian maximum level for mercury in muscle meat from Atlantic halibut. Medians ± 25-75% percentiles are shown.
3.3 - Organiske miljøgifter i muskel (B-snitt og I-snitt)
3.3.1 - Dioksiner og dioksinlignende PCB
Resultatene for sum PCDD/F og sum PCDD/F+dl-PCB i B-snitt og I-snitt av kveitemuskel fra område 06-kyst er oppsummert i tabell 5 og 6 og figur 6 sammen med tilsvarende resultater fra kartleggingsundersøkelsen for områdene 06-hav, 07, 00 og 05.
Ingen kveite fra område 06-kyst hadde konsentrasjoner over grenseverdien for sum PCDD/F (3,5 ng TE/kg våtvekt) i B-snitt eller I-snitt. De høyeste verdiene av sum PCDD/F i B-snitt og I-snitt var henholdsvis 0,69 og 3,4 ng TE/kg våtvekt (tabell 5). Det var heller ingen kveite som hadde konsentrasjoner i B-snitt over grenseverdien for sum PCDD/F+dl-PCB (6,5 ng TE/kg våtvekt), med en maksverdi på 5,4 ng TE/kg våtvekt (tabell 6). I prøver av I-snitt hadde imidlertid fem kveite fra dette området (22 %) konsentrasjoner av sum PCDD/F+dl-PCB over grenseverdien, og den høyeste verdien var hele 27 ng TE/kg våtvekt. Fire av overskridelsene gjaldt imidlertid svært store kveiter på 124, 116, 114 og 73 kg som hadde konsentrasjoner i I-snitt på henholdsvis 14, 12, 27 og 8,5 ng TE/kg våtvekt. Til sammenligning hadde 58 % av kveitene fra område 06-hav konsentrasjoner i I-snitt av sum PCDD/F+dl-PCB over grenseverdien på tross av at ingen kveite fra dette området var større enn 72 kg. At kveitene over 100 kg fra område 06-kyst hadde høye nivåer i I-snitt over grenseverdiene for sum PCDD/F+dl-PCB bekrefter resultater fra kartleggingsundersøkelsen, der kveiter over 100 kg (200 cm) hadde svært høye nivåer av organiske miljøgifter uavhengig av fangstområde (Nilsen m.fl., 2016).
Nivåene av sum PCDD/F og sum PCDD/F+dl-PCB var mye lavere i område 06-kyst enn i område 06-hav både i B-snitt og I-snitt (tabell 5; figur 6). Forskjellen var statistisk signifikant for sum PCDD/F både i B-snitt og I-snitt (ANOVA, p<0,005; ikke vist i figur), og for sum PCDD/F+dl-PCB i I-snitt (ANOVA, p<0,01; figur 6). Det var derimot ingen signifikant forskjell mellom nivåene av disse forbindelsene i kveite fra 06-kyst og kveite fra område 07 (like sør for område 06) eller område 00 og 05 (like nord for område 06).
Hensikten med denne undersøkelsen var å undersøke om nivåene av miljøgifter i kveiter fanget langs kysten i område 06 var like høye som nivåene som tidligere er funnet i kveiter fanget i område 06-hav (Nilsen m.fl., 2016), eller om nivåene langs kysten var mer tilsvarende nivåene i kveite fanget i områdene sør og nord for område 06. På samme måte som for kvikksølv, bekreftet resultatene at det er kveite fra åpent hav i område 06 som skiller seg ut med høye nivåer av sum PCDD/F og sum PCDD/F+dl-PCB, mens kveite fisket langs kysten i område 06 hadde lavere nivåer mer lik nivåene vi tidligere har målt i kveite fra tilstøtende kyst- og havområder sør og nord for område 06. På tross av et begrenset antall fisk i område 06-kyst (23 fisk), var forskjellen i nivåene mellom område 06-hav og 06 klart statistisk signifikante.
Table 5. Concentrations of sum dioxins and furans (PCDD/F) in B-cut and I-cut of muscle from Atlantic halibut collected in area 06-coast in this study and in areas 07, 06-ocean, 00 and 05 in an earlier study (Nilsen et al., 2016). Median, mean±standard deviation (SD), minimum-maximum values and the percentage of fish with concentrations above the EU maximum level (%>EU max level) within each area are given. Values exceeding the maximum level are indicated with red numbers.
Sum PCDD/F in B-cut (ng TEQ/kg ww)
Sum PCDD/F in I-cut (ng TEQ/kg ww)
N
Median(Mean±SD)
Min-Max
%>EU max level*
Median(Mean±SD)
Min-Max
%>EU max level*
07
11
0.21 (0.26±0.23)
0.059-0.88
0%
0.59 (0.77±0.68)
0.059-2.7
0%
06-ocean
59
0.56 (0.85±0.88)
0.032-4.0
5.1%
2.1 (3.2±3.1)
0.12-17
25%
06-coast
23**
0.34 (0.31±0.18)
0.037-0.69
0%
1.0 (1.0±0.78)
0.17-3.4
0%
00
53
0.19 (0.37±0.54)
0.029-2.9
0%
0.41 (0.89±1.2)
0.060-5.8
7.5%
05
125
0.20 (0.25±0.19)
0.023-0.89
0%
0.64 (0.74±0.52)
0.10-2.8
0%
* The EU maximum level for sum PCDD/F in muscle meat of fish is 3.5 ng TEQ/kg w.w. ** 20 fish sampled and analysed for this study and 3 fish from Nilsen et al. (2016).
Table 6. Concentrations of sum dioxins, furans and dioxin-like PCBs (PCDD/F+dl-PCB) in B-cut and I-cut of muscle from Atlantic halibut collected in area 06-coast in this study and in areas 07, 06-ocean, 00 and 05 in an earlier study (Nilsen et al., 2016). Median, mean±standard deviation (SD), minimum-maximum values and the percentage of fish with concentrations above the EU maximum level (%>EU max level) within each area are given. Values exceeding the maximum level are indicated with red numbers.
Sum PCDD/F+dl-PCB in B-cut (ng TEQ/kg ww)
Sum PCDD/F+dl-PCB in I-cut (ng TEQ/kg ww)
N
Median(Mean±SD)
Min-Max
%>EU max level*
Median(Mean±SD)
Min-Max
%>EU max level*
07
11
0.67 (0.83±0.68)
0.086-2.5
0%
2.5 (2.6±2.1)
0.084-8.2
9.1%
06-ocean
59
1.9 (2.3±2.1)
0.044-11
5.1%
6.9 (9.0±7.5)
0.23-45
58%
06-coast
23**
0.95 (1.4±1.4)
0.055-5.4
0%
3.3 (5.2±6.0)
0.34-27
22%
00
53
0.52 (1.5±2.5)
0.088-13
5.7%
2.0 (4.0±5.6)
0.084-30
17%
05
125
0.61 (0.83±0.78)
0.048-4.8
0%
1.9 (2.5±2.0)
0.16-15
4.0%
* The EU maximum level for sum PCDD/F+dl-PCB in muscle meat of fish is 6.5 ng TEQ/kg w.w. ** 20 fish sampled and analysed for this study and 3 fish from Nilsen et al. (2016).
Figure 6. Concentrations of sum PCDD/F+dl-PCB in B-cut and I-cut of muscle from Atlantic halibut sampled in different areas within Norwegian waters (see figure 1 for geographical location of the different areas). Median concentrations (columns) and 25 and 75 percentiles (vertical bars) are shown for each area. Mean values are indicated by triangles. The red line indicates the EU and Norwegian maximum level for sum PCDD/F+dl-PCB in fish muscle. Different letters above the columns (a and b for I-cut, a’ and b’ for B-cut) indicate significant differences between the areas (one-way ANOVA with log-transformed concentrations, followed by Tukey post-hoc test, p<0.05).
Resultatene fra kartleggingsundersøkelsen viste at nivåene av organiske miljøgifter i kveitemuskel økte med økende størrelse på fisken (Nilsen m.fl., 2016). Også for kveite fra område 06-kyst var det en sterk korrelasjon mellom sum PCDD/F og sum PCDD/F+dl-PCB i både B-snitt og I-snitt og både lengde og vekt (r=0,75-0,80 og r=0,70-0,85, p<0,0005; tabell A1 i appendix). Ved sammenligning av de ulike områdene var det tydelig at nivåene av disse organiske miljøgiftene økte raskere med økende størrelse på fisken i område 06-hav enn i område 06-kyst og områdene rett nord og sør for dette (figur 7). Sammenligning av fisk av samme størrelse fra de ulike områdene viste at kveiter fra område 06-hav ved nesten alle størrelser hadde høyere konsentrasjoner av sum PCDD/F og sum PCDD/F+dl-PCB enn kveiter fra alle de andre områdene (vist for sum PCDD/F+dl-PCB mot lengde i figur 7). Bare for kveite under 80 cm, som hadde lave konsentrasjoner av organiske miljøgifter, var det ingen forskjell i nivåene mellom områdene. Kveite fra område 06-kyst hadde derimot ved alle størrelser tilnærmet samme konsentrasjoner som kveiter fra område 00 og område 07, og bare litt høyere konsentrasjon enn kveite fra område 05, det siste særlig for I-snitt og i de største individene (figur 7).
Også når man tar hensyn til størrelse viser dette altså at det var kveitene fra område 06-hav som skilte seg ut med høyere nivåer av organiske miljøgifter, mens kveite fisket langs kysten i område 06 hadde lavere nivåer av sum PCDD/F og sum PCDD/F+dl-PCB, mer lik nivåene som er målt i kveite fra tilstøtende kyst- og havområder sør for og nord for område 06.
Figure 7. Concentration of sum PCDD/F+dl-PCB in B-cut (left) and I-cut (right) of Atlantic halibut from different areas within Norwegian waters (see figure 1 for geographical location of the different areas) at different fish length intervals (<80, 80-100, 100-120, 120-140, 140-160, 160-180, 180-200, 200-220 and >220 cm). The red horizontal line indicates the EU and Norwegian maximum level for sum PCDD/F+dl-PCB in fish muscle (6.5 ng TEQ/kg w.w.). Medians ± 25-75% percentiles are shown.
3.3.2 - Ikke-dioksinlignende PCB (PCB6) og polybromerte flammehemmere (PBDE7)
Konsentrasjonene av ikke-dioksinlignende PCB (PCB6) og polybromerte flammehemmere (PBDE7) i både B-snitt og I-snitt av kveitemuskel fra område 06-kyst er oppsummert i tabell 7 og 8 og figur 8 og 9. Der er også vist resultater fra kartleggingsundersøkelsen for kveite fra område 06-hav, område 07 like sør for område 06-kyst og område 00 og område 05 rett nord for dette området (se figur 1).
Ingen kveite fra område 06-kyst hadde konsentrasjoner av sum PCB6i B-snitt over grenseverdien på 75 µg/kg våtvekt (tabell 7), med konsentrasjoner fra 0,26 til 48 µg/kg våtvekt. I I-snitt hadde imidlertid to kveite fra dette området (8,7 %) konsentrasjoner av sum PCB6 over grenseverdien, med konsentrasjoner på 98 og 235 µg/kg våtvekt. Dette var imidlertid to svært store kveiter på 124 og 114 kg, og til sammenligning hadde 31 % av kveitene fra område 06-hav konsentrasjoner av sum PCB6 i I-snitt over grenseverdien på tross av at ingen kveiter fra dette området var større enn 72 kg. At kveitene over 100 kg fra område 06-kyst hadde høye nivåer av sum PCB6 i I-snitt stemmer godt overens med resultatene fra kartleggingsundersøkelsen som viste at kveiter over 100 kg (200 cm), uavhengig av fangstområde, hadde svært høye nivåer av organiske miljøgifter (Nilsen m.fl., 2016).
Nivåene av både sum PCB6 og sum PBDE7 var mye lavere i område 06-kyst enn i område 06-hav både i B-snitt og I-snitt (tabell 7 og 8; figur 8 og 9). På tross av et begrenset antall fisk i område 06-kyst (23 fisk), var forskjellene statistisk signifikante både for sum PCB6 og sum PBDE7 og både i B-snitt og I-snitt (ANOVA, p<0,02). Det var derimot ingen signifikant forskjell mellom nivåene i kveite fra område 06-kyst og nivåene i kveite fra de tilstøtende områdene 07, 00 og 05 (figur 8 og 9).
Table 7. Concentrations of sum PCB6 in B-cut and I-cut of muscle from Atlantic halibut collected in the area 06-coast in this study and in areas 07, 06-ocean, 00 and 05 in an earlier study (Nilsen et al., 2016). Median, mean±standard deviation (SD), minimum-maximum values and the percentage of fish with concentrations above the EU maximum level (%>EU max level) within each area are given. Values exceeding the maximum level are indicated with red numbers.
Sum PCB6 in B-cut (µg/kg ww)
Sum PCB6 in I-cut (µg/kg ww)
N
Median(Mean±SD)
Min-Max
%>EU max level*
Median(Mean±SD)
Min-Max
%>EU max level*
07
11
6.4 (5.3±3.7)
0.20-12
0%
11 (14±9.3)
0.29-32
0%
06-ocean
59
16 (19±15)
0.22-70
0%
62 (69±48)
0.57-305
31%
06-coast
23**
4.4 (9.5±13)
0.26-48
0%
20 (33±50)
0.69-235
8.7%
00
53
4.1 (12±18)
0.12-77
3.8%
15 (30±40)
0.54-179
13%
05
125
5.2 (6.6±6.0)
0.25-34
0%
17 (20±17)
0.79-104
0.8%
* The EU maximum level for sum PCB6 in muscle meat of fish is 75 µg/kg w.w. ** 20 fish sampled and analysed for this study and 3 fish from Nilsen et al. (2016).
Figure 8. Concentrations of sum PCB6 in B-cut and I-cut of muscle from Atlantic halibut sampled in different areas within Norwegian waters (see figure 1 for geographical location of the different areas). Median concentrations (columns) and 25 and 75 percentiles (vertical bars) are shown for each area. Mean values are indicated by triangles. The red line indicates the EU and Norwegian maximum level for sum PCB6 in fish muscle. Different letters above the columns (a and b for I-cut, a’ and b’ for B-cut) indicate significant differences between the areas (one-way ANOVA with log-transformed concentrations, followed by Tukey post-hoc test, p<0.02).
Table 8. Concentrations of sum PBDE7 in B-cut and I-cut of muscle from Atlantic halibut collected in the area 06-coast in this study and in areas 07, 06-ocean, 00 and 05 in an earlier study (Nilsen et al., 2016). Median, mean±standard deviation (SD) and minimum-maximum values within each area are given.
Sum PBDE7 in B-cut (µg/kg ww)
Sum PBDE7 in I-cut (µg/kg ww)
N
Median(Mean±SD)
Min-Max
Median(Mean±SD)
Min-Max
07
11
0.38 (0.43±0.29)
0.033-0.95
1.2 (1.5±0.94)
0.025-3.2
06-ocean
59
1.2 (1.5±1.0)
0.023-5.1
4.7 (5.8±4.1)
0.037-21
06-coast
23*
0.40 (0.87±1.2)
0.007-4.6
1.9 (3.4±5.2)
0.14-24
00
53
0.33 (1.1±1.8)
0.027-11
1.3 (2.7±4.3)
0.039-26
05
125
0.30 (0.41±0.42)
0.029-2.2
0.94 (1.3±1.0)
0.067-5.6
* 20 fish sampled and analysed for this study and 3 fish from Nilsen et al. (2016).
Figure 9. Concentrations of sum PBDE7 in B-cut and I-cut of muscle from Atlantic halibut sampled in different areas within Norwegian waters (see figure 1 for geographical location of the different areas). Median concentrations (columns) and 25 and 75 percentiles (vertical bars) are shown for each area. Mean values are indicated by triangles. Different letters above the columns (a and b for I-cut, a’, b’ and c’ for B-cut) indicate significant differences between the areas ( one-way ANOVA with log-transformed concentrations, followed by Tukey post-hoc test, p<0.02).
I likhet med tidligere resultater fra kartleggingsundersøkelsen fant vi også for kveitene fra område 06-kyst at nivåene av sum PCB6 og sum PBDE7 økte med økende størrelse på fisken, og det var en god korrelasjon mellom sum PCB6 og sum PBDE7 og lengde (r=0,64-0,69, p<0,005; tabell A1 i appendix) og vekt (r=0,66-0,74, p<0,001; tabell A1) både for B-snitt og I-snitt. Når vi sammenlignet fisk av samme størrelse fra de ulike områdene, fant vi imidlertid på samme måte som for kvikksølv, sum PCDD/F og sum PCDD/F+dl-PCB, at nivåene i kveite fra område 06-kyst ikke økte like raskt med økende størrelse som nivåene i kveite fra område 06-hav (figur 10 og 11). Resultatene viste også her at ved alle størrelser (unntatt den minste størrelsesklassen, <80 cm, som har lave nivåer i alle områder), hadde kveite fra område 06-hav høyere konsentrasjoner av sum PCB6 og sum PBDE7 enn kveite fra alle de andre områdene (figur 10 og 11). Kveite fra område 06-kyst hadde på den annen side lavere konsentrasjoner tilnærmet lik kveite fra de tilstøtende områdene 07, 00 og 05. Bare for de aller største kveitene over 200 cm fant vi at kveite fra område 06-kyst hadde noe høyere nivåer av sum PCB6 og sum PBDE7 enn kveite fra område 05 (figur 10 og 11). Få individer i disse største størrelsesklassene gjør imidlertid disse resultatene usikre.
På samme måte som for kvikksølv, PCDD/F og PCDD/F+dl-PCB, var det altså også for sum PCB6 og sum PBDE7kveite fra åpent hav i område 06 som skilte seg ut med høye nivåer, mens kveite fisket langs kysten i område 06 hadde lavere nivåer mer tilsvarende nivåene vi har målt i kveite fra tilstøtende kyst- og havområder sør for og nord for område 06.
Figure 10. Concentration of sum PCB6 in B-cut (left) and I-cut (right) of Atlantic halibut from different areas within Norwegian waters (see figure 1 for geographical location of the different areas), at different fish length intervals (<80, 80-100, 100-120, 120-140, 140-160, 160-180, 180-200, 200-220 and >220 cm). The red horizontal line indicates the EU and Norwegian maximum level for sum PCB6 in fish muscle (75 µg/kg w.w.). Median ± 25-75% percentiles are shown.
Figure 11. Concentration of sum PBDE7 in B-cut (left) and I-cut (right) of Atlantic halibut from different areas within Norwegian waters (see figure 1 for geographical location of the different areas), at different fish length intervals (<80, 80-100, 100-120, 120-140, 140-160, 160-180, 180-200, 200-220 and >220 cm). Median ± 25-75 % percentiles are shown.
4 - Konklusjon
Analyse av muskelprøver fra kveite fanget langs kysten innenfor Fiskeridirektoratets statistikkområde 06 (område 06-kyst), viste at kveiter fra kysten i dette området hadde mye lavere nivåer av kvikksølv og organiske miljøgifter enn nivåene som tidligere er funnet i kveite fra et havområde i ytre Sklinnadjupet (område 06-hav) som er stengt for kveitefiske på grunn av høye nivåer av disse miljøgiftene.
Nivåene av kvikksølv og organiske miljøgifter i kveite fra område 06-kyst ble sammenlignet med nivåene som tidligere er funnet i kveite fra område 06-hav samt de tilstøtende områdene rett sør for og nord for disse områdene, og resultatene viste klart at det var kveite fra åpent hav i område 06 som skilte seg ut med mye høyere nivåer av særlig kvikksølv, men også de organiske miljøgiftene dioksiner og dioksinlignende PCB, ikke-dioksinlignende PCB (PCB6) og polybromerte difenyletere (PBDE7). Antall kveiter fanget langs kysten i område 06 var begrenset (23 fisk), men resultatene var klart statistisk signifikante og viste at kveite fisket langs kysten i område 06 hadde mye lavere nivåer av disse miljøgiftene enn kveite fanget i åpent hav i område 06. Denne konklusjonen underbygges også av at for alle størrelsesklasser fant vi at nivåene av miljøgifter i kveite fra område 06-kyst var lavere enn i område 06-hav og mer tilsvarende nivåene vi tidligere har målt i kveite fra tilstøtende kyst- og havområder sør for og nord for område 06.
Julshamn, K., Måge, A., Skaar Norli, H., Grobecker, K., Jorhem, L. og Fecher,P. (2007). Determination of arsenic, cadmium, mercury and lead by ICP-MS in foods after pressure digestion: NMKL Collaborative study. J AOAC International, 90, 844-856.
Julshamn, K., Duinker, A., Valdersnes, S., Lunestad, B.T. og Måge, A. (2013). Mattilsynets program: Miljøgifter i fisk og fiskevarer 2012. - Undersøkelse av fremmedstoffer i kongekrabbe (Paralithodes camtschaticus) og oljer. Mattilsynet, årsrapport 2012, 28 sider.
Nilsen, B.M., Kjell Nedreaas og Måge, A. (2016). Kartlegging av fremmedstoffer i Atlantisk kveite (Hippoglossus hippoglossus). Sluttrapport for programmet «Miljøgifter i fisk og fiskevarer» 2013-2015. NIFES-rapport (ISBN: 978-82-91065-43-4), 81 sider.
Nilsen, B.M., Bank, M.S. og Sanden M. (2019a). Kvikksølv og organiske miljøgifter i atlantisk kveite – Ny innsikt fra stabile isotoper av nitrogen og karbon. Rapport fra Havforskningen (ISSN:1893-4536) Nr. 2019-20.
Nilsen, B.M., Boitsov, S., Holte, B., Jensen, H.K.B. og Thorsnes, T. (2019b). Kildesporing av miljøgifter i kveite fra ytre Sklinnadjupet. Analyser av miljøgifter i sediment og rødpølser, oppsummering av eksisterende kunnskap og anbefalinger videre. Rapport fra Havforskningen (ISSN:1893-4536) Nr. 2019-23.
6 - Appendix
Table A1. Results from correlation analysis of mercury in B-cut and organic contaminants (PCDD/F, PCDD/F+dl-PCB, PCB6 and PBDE7) in B-cut and I-cut against length and weight of Atlantic halibut from the area 06-coast (N=23). Correlation coefficients (r), statistical significance levels (p) and r squared (r2) values are given. Correlations are significant at p < 0.05.