Gå til hovedinnhold

Fremmedstoffer i rødspette, breiflabb og lyr

— Sluttrapport for kartleggingsprogrammet «Fremmedstoffer i villfisk med vekt på kystnære farvann» 2016-2018

Forfatter(e): Sylvia Frantzen , Bente Nilsen og Monica Sanden (HI)

Sammendrag

I denne undersøkelsen har vi i løpet av 2016-2019 kartlagt nivåene av miljøgifter i 448 rødspette (Pleuronectes platessa), 315 breiflabb (Lophius piscatorius) og 296 lyr (Pollachius pollachius) fisket langs kysten av Norge og i Nordsjøen. Filet fra enkeltfisk og samleprøver av lever ble analysert for metaller, og samleprøver av filet og lever ble analysert for organiske miljøgifter som dioksiner, PCB, klorerte pesticider, bromerte flammehemmere og perfluorerte alkylstoffer (PFAS). Ingen fisk hadde konsentrasjoner av noe stoff i filet over grenseverdiene som gjelder for mattrygghet i Norge og EU. For kvikksølv var nivåene høyest i breiflabb, og gjennomsnittsnivået i breiflabb var høyest langs kysten av Vestlandet, med rundt 0,4 mg/kg våtvekt. Breiflabb er imidlertid en av artene som har en særskilt høy grenseverdi for kvikksølv på 1,0 mg/kg våtvekt. Lever av breiflabb og lyr hadde høye nivåer av organiske miljøgifter, med gjennomsnittskonsentrasjoner av dioksiner og dioksinlignende PCB over grenseverdiene satt for lever av fisk. Også klorerte pesticider og bromerte flammehemmere viste forholdsvis høye nivåer i lever av de to artene. Rødspette hadde lavere nivåer av organiske miljøgifter i leveren enn de to andre artene, mens nivåene i filet var høyere. Dette skyldes trolig at rødspette lagrer en større del av fettet, og dermed også fettløselige organiske miljøgifter, i fileten. På grunn av tidligere funn advarer Mattilsynet generelt mot å spise fiskelever fra kystområdene, og for gravide, ammende og barn advares det mot å spise fiskelever uansett fangstområde. Nivåene av PFAS var lave og under kvantifiseringsgrensene for de aller fleste prøver og stoffer.

1 - Innledning

Kartlegging av miljøgifter i ville fiskebestander gjøres årlig på vegne av Mattilsynet for å dokumentere at fisk som omsettes til konsum er innenfor gjeldende grenseverdier som gjelder mattrygghet i EU og Norge (EU 2018; Forskrift om visse forurensende stoffer i næringsmidler). Hensikten med kartleggingen er å sikre tryggere mat ved å kunne hindre at fisk med for høye nivåer av miljøgifter blir omsatt og spist. Gjennom kartleggingsprogrammet «Fremmedstoffer i villfisk med vekt på kystnære farvann» har det tidligere blitt gjennomført kartlegginger av miljøgifter i ulike arter: dioksiner og dioksinlignende PCB i lever av torsk fra norske fjorder og havner (Nilsen m.fl. 2011), miljøgifter i krabbe og hval (Julshamn m.fl. 2012b, Julshamn m.fl. 2012c), sei fra Nordsjøen (Nilsen m.fl. 2013a) og brosme, lange og bifangstarter (Frantzen og Maage 2016). Gjennom basisundersøkelser finansiert gjennom andre kilder og Mattilsynets kartleggingsprogrammer har Havforskningsinstituttet etter hvert etablert et omfattende datagrunnlag for fremmedstoffer i mange av våre viktigste fiskeslag. Det gjelder både de kommersielt viktigste artene og arter som ikke er like store kommersielt, men som er god matfisk og som kan ha visse utfordringer mht. fremmedstoffer på grunn av biologi og/eller levested. I denne undersøkelsen har vi undersøkt nivået av fremmedstoffer i tre helt ulike fiskearter som er relativt små i norske fiskerier, men som er god matfisk og der vi fra før har et relativt beskjedent datagrunnlag på nivåer av fremmedstoffer: Rødspette (Pleuronectes platessa), breiflabb (Lophius piscatorius) og lyr (Pollachius pollachius).

1.1 - Rødspette

Rødspette er en flyndrefisk som finnes i det østlige Atlanterhavet fra Barentshavet i nord og sørover til Middelhavet og nordvestkysten av Afrika (hi.no/hi/temasider/arter/rodspette). Rødspette er inndelt i en rekke bestander, der nordsjøbestanden er den største. Man finner rødspette fra fjæren og ned til ca. 200 meters dyp. Den kan bli opptil én meter lang og syv kilo, men i Nordsjøen er den sjelden over 40 cm og et halvt kilo. Gytefeltene er i den sentrale og sørlige delen av Nordsjøen. De yngste individene er konsentrert i grunne kystfarvann, særlig i den østlige delen. Som vanlig hos flatfisk vokser hunnen mye raskere enn hannen og blir betydelig større. Kjønnsmodningen inntrer vanligvis ved 2–3-årsalder, og senere for hunner enn for hanner. Voksen rødspette vandrer hvert år mellom gyteområder i sentrale og sørlige deler av Nordsjøen og beiteområder noe lenger nord. Det er påvist at i hvert fall deler av denne vandringen foregår pelagisk. Larvedriften varierer med vær og vind, og fra det første leveåret fins larvene på grunne sanddyner (0–3 m), mens rødspetten seinere i livet lever dypere og vandrer lite. En stor del av den umodne rødspetten i Skagerrak stammer fra gytefeltene i Nordsjøen. Skagerrakbestanden vandrer mer enn den delen som lever i Nordsjøen, og en del av den voksne bestanden vandrer også videre østover mot nordre Kattegat. Voksen fisk spiser børstemark, skjell, maneter, krepsdyr, pigghuder og små fisk. Rødspette er en god matfisk. Den er mager til halvfet med fettinnhold rundt 2 g/100 g; (sjomatdata.hi.no).

Det internasjonale havforskningsrådet (ICES) gir bare ut kvoteråd for bestanden i Nordsjøen og Skagerrak, og de største fiskeriene etter rødspette finner sted i Nordsjøen. Tall fra FAO og Fiskeridirektoratet viser at europeisk fangst av rødspette i 2017 var på 103 472 tonn, mens norske fangster var på relativt beskjedne 848 tonn (fao.org; fiskeridir.no). Nederland, Danmark og Storbritannia sto for størstedelen av fisket i Nordsjøen. Norske fartøy fisker lite i Nordsjøen og mest (78 %) langs kysten fra Lofoten og nordover. Men fordi det totalt sett fiskes mest rødspette i Nordsjøen er det mest fokus på Nordsjøen i fiskeriforvaltningen. Derfor er det lite kunnskap om rødspettebestanden i de nordlige områdene der de norske fartøyene fisker mest. Det aller meste av rødspette som fiskes går til konsum.

Det finnes fra før noe kunnskap om fremmedstoffer i rødspette fra norske farvann. Rødspette, fordi den er så vanlig og fordi den lever på bunnen, har noen ganger vært benyttet som indikator i forurensnings-overvåkning (Green og Knutzen 2003; Goksoyr m.fl. 1991). I den stikkprøvebaserte overvåkningen som gjøres med fokus på mattrygghet (ved HI, tidligere NIFES) ble det i 2007 analysert til sammen 74 rødspetter fra tre posisjoner i Nordsjøen for metaller (sjomatdata.hi.no; www.miljostatus.no). Fra 2014 ble forurensning i rødspette inkludert som en indikator i forvaltningsplanen for Nordsjøen og Skagerrak, og det ble tatt rundt 50 prøver årlig i 2014 og 2015 som ble analysert for ulike miljøgifter. Deretter ble kartleggingen som rapporteres her igangsatt. 

1.2 - Breiflabb

Breiflabb er en typisk bunnfisk som noen ganger blir funnet høyt oppe i vannsøylen (hi.no/hi/temasider/arter/breiflabb). Den kan treffes fra strandsonen og videre nedover i dype fjorder. Lenger sør i Atlanterhavet er den også vanlig ned til dybder på mer enn 1000 meter. Breiflabben er utbredt fra Barentshavet til nordlige deler av Vest-Afrika, og den finnes i Middelhavet og Svartehavet. Vestgrensen går ved Island. I Norge er breiflabb utbredt langs hele kysten til Nordkapp, men de siste årene har fangstene avtatt mer og mer lengst nord.

Breiflabben er en rovfisk som har få naturlige fiender i voksen alder. Den kan bli mer enn 25 kg og to meter og lever av fisk, krepsdyr og blekksprut. Den ligger stille, godt kamuflert på bunnen, og lokker til seg bytte ved hjelp av den fremste finnestrålen som fungerer som en fiskestang med en hudflik som agn. Alle typer fisk som kommer nær nok den store kjeften, blir slukt når breiflabben raskt åpner gapet og suger byttet inn. En har til og med funnet sjøfugl og oter i magen på breiflabb. Merkeforsøk de siste årene har vist at breiflabben er i stand til å gjennomføre relativt lange vandringer, men det er fremdeles noe uklart hvordan dynamikken i gyte- og næringsvandring er hos arten. Enkeltfisk har vandret fra Nordsjøen til Færøyane, Island og norskekysten helt opp til Vesterålen, og fisk merket på Møre har vært fanget igjen i Nordsjøen og ved kysten av Nordland.

ICES gir råd for to breiflabbestander, en sørlig som strekker seg fra Portugal/Spania og nordover til Irland, og en i området vest for Skottland og Nordsjøen/Skagerrak. Bestanden nord for Stad henger nok til en viss grad sammen med den vi finner i Nordsjøen, men blir foreløpig regnet som en egen bestand. Den totale norske fangsten av breiflabb i 2018 var 3300 tonn (Fiskeridir.no), og fangstene har nesten blitt halvert siden en topp i 2010. Før 2010 hadde fangstene økt jevnt og mer enn tredoblet seg siden 1997. For få år siden ble mer enn 80 % av den norske fangsten tatt nord for Stad, men i 2018 hadde dette falt til bare 22 %. I 2018 ble størstedelen av fangstene tatt på Møre (Område 07). Nord for Stad tar fiskere fra andre nasjoner bare ubetydelige fangster av breiflabb, mens sør for Stad deler vi breiflabben med andre nordsjøland. De norske fangstene utgjør her 5–10 %. Skottland står for mesteparten av uttaket, mens Danmark ligger på omtrent samme nivå som Norge. Det norske fisket blir for det meste drevet fra sjarker med stormasket garn nær kysten både nord og sør for Stad. De andre nasjonene fisker mest med bunntrål i Nordsjøen. Det norske fisket er i stor grad rettet mot den kjønnsmodne delen av bestanden, mens trålfisket i Nordsjøen helst tar mindre, umoden fisk.

Breiflabb er en god matfisk og regnes som en delikatesse. Den har et fettinnhold på 0,1 g/100 g (www.matvaretabellen.no). Siden breiflabb er en rovfisk har den potensiale til å akkumulere høye nivåer av miljøgifter, og den er blant fiskeslagene som har en egen grenseverdi for kvikksølv på 1,0 mg/kg våtvekt, mens grenseverdien som gjelder for de fleste arter er på 0,5 mg/kg våtvekt (EU 2018).

Nivåer av fremmedstoffer i breiflabb har tidligere vært undersøkt i andre studier i ulike deler av Europa, med begrenset antall fisk og analyser i hver studie (Mormede og Davies 2001a; Mormede og Davies 2001b; Chouvelon m.fl. 2014; Bordajandi m.fl. 2006; Storelli og Marcotrigiano 2000; Storelli m.fl. 2013). Noen av disse studiene har vist at kvikksølvnivået i breiflabb kan være relativt høyt sammenlignet med andre fiskeslag undersøkt fra samme område. Det finnes imidlertid svært begrenset med data på fremmedstoffer i breiflabb fra norske fiskeriområder (sjomatdata.hi.no). Gjennom stikkprøvebasert overvåkning ble det analysert 25 breiflabbprøver i 2003 (upubliserte data) og 25 prøver i 2015.

1.3 - Lyr

Lyr anses som en bentopelagisk fisk som foretrekker kystnære habitater i 40-100 meters dybde med steinete havbunn (hi.no/hi/temasider/arter/lyr). Den er en vanlig art i turist- og fritidsfisket.

Utbredelsen av lyr strekker seg fra Portugals vestkyst nordover rundt De britiske øyer og østover til Nord-Norge og Nordsjøen og Skagerrak. Lyr kan bli inntil 13 år gammel og 130 cm lang og veie inntil 10 kg. Lyr er predator på forskjellige pelagiske fiskearter og mesopelagiske organismer som laksesild, reker og krill. I norske farvann og i Nordsjøen gyter lyr i perioden mars-april. 

De norske fangstene av lyr i 2018 lå på til sammen rundt 2700 tonn (fiskeridir.no). Den største delen av norske lyrfangster tas nord for 62°N (70 %), og mesteparten tas i område 07 (Møre) fulgt av område 06 (Trøndelag og Nordland sør for Vestfjorden). I kystnære farvann fiskes lyr stort sett med garn, mens det utenfor 12 nautiske mil hovedsakelig fiskes med bunntrål. ICES gir råd på lyr i Nordsjøen basert på kriterier for en ”datafattig” bestand, det vil si at det ikke finnes datagrunnlag som kan brukes til å estimere størrelsen på bestanden. Fangstkvoter er dermed basert på trenden av de siste tre års totale fangst. Det gis ikke kvoteråd for lyr nord for Stad.

Lyr er en viktig art for fritidsfiske, og for at folk skal kunne vite at fisken de fisker selv er trygg å spise, er det viktig å skaffe kunnskap om nivåer av fremmedstoffer også i fisk som primært fiskes til eget konsum. Fra før av er det beskjedent med data på fremmedstoffnivået i lyr. I dette kartleggingsprogrammet, «Fremmedstoffer i villfisk med vekt på kystnære farvann» i 2013-2015 analyserte vi i tillegg til brosme og lange også en rekke arter tatt som bifangst, blant annet lyr fra seks ulike posisjoner (Frantzen og Maage 2016). I tillegg ble det i 2014 tatt prøver av lyr fra to posisjoner ved stikkprøvebasert overvåkning (sjomatdata.hi.no). Til sammen har tidligere 78 prøver av lyr fra norske hav- og kystområder blitt analysert for metaller, og seks samleprøver har blitt analysert for organiske miljøgifter.

2 - Materiale og metoder

2.1 - Prøveinnsamling

Prøveinnsamling ble gjort enten fra HI sine egne forskningsfartøy eller av kommersielle fiskefartøy tilhørende Kystreferanseflåten. Noen få prøver ble også tatt av andre fiskere på oppdrag fra HI. De fleste prøvene ble frosset ned hele og sendt til Bergen. Ved noe av prøvetakingen fra forskningsfartøy ble det tatt ut prøver av filet og lever om bord som så ble frosset ned.

Innsamlingen ble utført i henhold til en prøvetakingsplan der antall prøver fra ulike såkalte statistikkområder ble fordelt basert på Fiskeridirektoratets statistikk over kommersiell fangst i de ulike områdene (Fiskeridir.no). Kartene i Figure 1, Figure 2 og Figure 3 viser hvordan norske kyst- og havområder er inndelt i statistikkområder.

Rødspette ble samlet inn i perioden 2016 til 2018 fra sørlige del av Nordsjøen (område 41) i sør til Finnmarkskysten i nord (Figure 1). De aller fleste prøvene ble tatt langs kysten, med unntak av noen få prøver som ble tatt ute i Nordsjøen. Ved de fleste posisjonene ble det tatt 25 fisk fra en og samme posisjon (Table 1), men fra fjordene og kysten lengst nord og fra Nordsjøen besto en enhet (ett journalnr.) av 25 individer av rødspette fra flere ulike posisjoner. I Nordsjøen (område 42 + en posisjon i område 08) ble det tatt 13 fisk i 2016 og 10 fisk i 2018, og disse ble fordelt på to ulike journalnr. Fisket ble gjennomført med ulike redskap.

Figure 1 Positions where plaice (Pleuronectes platessa, rødspette) were sampled during 2016-2018. The colours indicate in which year the samples were collected. The numbered areas are the statistics areas of the Directorate of Fisheries, applied for Norwegian fishery statistics.

Table 1 Plaice (Pleuronectes platessa, rødspette). Overview of the different sample units from the different areas, giving date, journal no., statistics area of the Norwegian Directorate of Fisheries (Fiskeridir.no), and a description of the area. Number of individual samples and composite samples from each unit is given.
Sampling dateJournal no.Area no.Area descriptionCommentN ind. samplesN composite samples*
      filletliver
03.10.20162016-203403NØ av Varangerhalvøya 2533
12.10.20172017-186703Porsangerfjorden 2533
07.10.20162017-198003Porsangerfjorden og Varangerfjorden5 positions2533
10.10.20162016-173704Lyngen og Kvænangen + N av Sørøya3 positions2533
08.10.20162016-200404Nord av Sørøya 2533
07.10.20172017-180204Lyngen-Altafjorden mm6 positions2533
27.09.20162016-173205Yttersida, Olgrunnen 2033
27.09.20162016-173305Yttersida, Nappstraumen 2033
26.09.20162016-173405Yttersida, Gimsøystraumen 3533
28.09.20162016-173500Vestfjorden, Sennesvika 2533
01.02.20172017-73406Lok. 32, Meløy 2533
20.10.20172017-175407Giskesundet 2533
06.06.20172017-77828Nautnes, Øygarden 2533
19.12.20162017-49208Sørvest av Karmøy 2523
06.06.20162016-192509Mandal 2533
26.01.20162016-28042 + 08Nordsjøen5 positions1331
31.07.20182018-163742Nordsjøen3 positions1011
01.02.20172017-21341Nordsjøen sør 2433
01.02.20172017-21841Nordsjøen sør 2633
Total    4485453

*Liver samples were only analysed as composite samples, while individual fillet samples were analysed for metals and composite samples of fillet were analysed for POPs.

Breiflabb ble prøvetatt i perioden fra juni 2016 til juni 2019 (Table 2). Med unntak av prøvene tatt i åpent hav i Nordsjøen, ble de aller fleste prøvene tatt langs kysten (Figure 2). Fiskere i kystreferanseflåten og noen andre fiskere tok de aller fleste prøvene, i hovedsak med breiflabbgarn. Breiflabb lever enkeltvis, og man får ikke 25 stykker på et sted. Likevel ble prøvene tatt av fiskere stort sett registrert som tatt fra én posisjon selv om fisken ofte er tatt i et litt større område. Breiflabben som ble tatt ute i åpent hav i Nordsjøen ble tatt med trål på HI sine IBTS-tokt (International Bottom Trawl Survey), henholdsvis i juli-august 2018 og i februar 2019. Her trålet vi over store områder, og til slutt ble alle prøvene tatt ved de to toktene samlet til to ulike enheter (journalnummer) basert på geografi (Table 2): En enhet inneholdt fisk tatt i den vestligste delen med til sammen 25 breiflabb fra begge toktene (11+14). Den andre enheten besto av 17 fisk tatt i den østlige delen, der alle ble tatt på toktet i februar 2019.

I de fleste tilfeller ble hel fisk frosset ned så raskt som mulig og levert til prøvemottak i frossen tilstand. Unntaket var fisken som ble prøvetatt på IBTS-toktet i februar 2019. Her ble fisken veid og målt om bord, og lever og filet ble tatt ut og frosset ned før de ble levert til prøvemottak. Leveren ble oppbevart i spesielle plastbegre med lokk.

Prøvetaking av breiflabb bød på store utfordringer, og av 450 planlagte prøver fikk vi til sammen tatt 315 fisk. I utgangspunktet planla vi å ta prøver fra områder nord for Lofoten også, med 50 prøver fra område 05 og 25 fra område 04 (Nord-Troms og Vest -Finnmark, ikke i Figure 2). Her nord ble det imidlertid etter hvert rapportert at fiskerne ikke lenger fikk breiflabb, og vi fikk ingen fisk fra disse områdene. Dette tror forskerne skyldes sviktende rekruttering av breiflabb til Nord-Norge (Nedreaas, pers. medd.). Det antas at breiflabben ikke gyter i nord, og at bestanden er avhengig av at ungfisk klekket og oppvokst i sør vandrer nordover. Dette har trolig ikke skjedd på mange år, og den breiflabben som har vært i den nordligste delen av landet ser nå ut til å ha mer eller mindre dødd ut. I tillegg klarte vi ikke å få inn så mange prøver som ønsket fra områdene 00, 07 og 06, i alle disse områdene fikk vi rundt halvparten av det planlagte antallet prøver. Allikevel klarte vi til slutt å få dekket en stor del av de områdene der det fiskes breiflabb (Figure 2), selv om det mangler prøver fra et relativt stort område innenfor område 06.

Figure 2. Positions where anglerfish (Lophius piscatorius, breiflabb) were sampled during 2016-2019. The colours indicate in which year the samples were collected. The numbered areas are the statistics areas of the Norwegian Directorate of Fisheries, applied for Norwegian fishery statistics (Fiskeridir.no). Within the large shaded areas in the North Sea, samples were taken from many different positions during scientific cruises in 2018 and 2019. The points in the middle indicate the average position for all samples within each area.

Table 2 . Anglerfish (Lophius piscatorius , breiflabb). Overview of the different sample units from the different areas, giving date, journal no., statistics area of the Norwegian Directorate of Fisheries (Fiskeridir.no) and a description of the area. Number of individual samples and composite samples from each unit is given.
Sampling date(s)Journal no.Area no.Area descriptionN individual samplesN composite samples
     FilletLiver
20182018-8580Steigen2533
13.06.20192019-11006Lurøy2533
18.07.20192019-11486Rødøy2431
05.09.20172017-13027Finnen2433
19.01.20182018-1187Stadt2533
19.06.20162016-14858Skudenes2533
14.09.20162016-19188Skudenes2533
07.12.20162016-20069Mandal2533
22.09.20162016-192128Vest av Fedje2544
24.10.20172017-17882828/40 Aurshammaren2533
16.01.20192019-4728Sørvest av Sotra2533
31.07-08.08.2018 + 07.-10.02.20192018-129542North Sea west, 13 positions25 (11+14)33
15.-28.02.20192019-21708/28/42North Sea east, 11 positions1733
Total   3154038

 

Lyr ble prøvetatt i perioden september 2016 til november 2019 (Table 3). Prøvene ble tatt langs kysten fra Sagfjorden i Steigen i nord til Mandal i sør (Figure 3), samt to posisjoner i Nordsjøen, en vest av Shetland og en sentralt i Nordsjøen i område 08 omtrent på grensen mot område 28 og 42. I noen av områdene ble det tatt to prøver à 25 lyr relativt nære hverandre slik at de fremstår som et punkt i kartet. Dette gjaldt i område 00 (Sagfjorden), område 06 (Rødøyområdet) og i område 28 sørvest av Fedje. Alle prøvene ble tatt av kommersielle fiskere, de fleste med garn, noen med line og noen få med juksa. De fleste fiskerne som bidro til prøvetakingen tilhører HIs referanseflåte, men vi fikk også hjelp fra andre fiskere i enkelte områder.

Hel fisk ble frosset ned og deretter sendt til HI så raskt som mulig i frossen tilstand.

Selv om planen i utgangspunktet var å samle inn et relativt beskjedent antall på 350 lyr, ble det utfordrende å få inn alle de planlagte prøvene. Til sammen fikk vi til slutt inn 296 fisk fra 11 posisjoner. I område 05, nord for Lofoten, skulle vi opprinnelig ha 25 fisk. Disse utgikk da man regnet det som mer eller mindre umulig å få lyr i dette området, og det ble i stedet tatt en ekstra prøve fra område 28. Det ble også vanskeligere enn forventet å få inn lyr fra område 07, men der fikk vi til slutt inn to av de fire planlagte posisjonene høsten 2019. Problemene skyldes trolig delvis at lyr er av liten kommersiell betydning og stort sett fiskes som bifangst i fisket etter andre arter.


Figure 3 Positions where pollack (Pollachius pollachius, lyr) were sampled during 2016-2019. The colours indicate in which year the samples were collected. The numbered areas are the statistics areas of the Norwegian Directorate of Fisheries, applied for Norwegian fishery statistics (Fiskeridir.no).
Table 3 Pollack (Pollachius pollachius, lyr). Overview of the different sample units from the different areas, giving date, journal no., statistics area of the Norwegian Directorate of Fisheries (Fiskeridir.no) and a description of the area. Number of individual samples and composite samples from each unit is given.
Sampling dateJournalno.Area no.Sampling area descriptionN fishN composite samples
     FilletLiver
13.04.20182018-8560Sagfjorden, Steigen2533
13.04.20182018-14790Sagfjorden, Steigen2533
08.12.20162017-916Nordland, Rødøyområdet2533
07.09. + 18.- 21.11.20172017-20286Nordland, Rødøyområdet2533
20.09.20192019-18707Bakkerøra2133
08.11.20192019-20567Hidsboden, Gjerdsvika, Sande kommune2533
22.09.20162016-192228Sørvest av Fedje2533
21.11.20172017-204328Revet, sørvest av Fedje2533
20.01.20192019-4828Sørvest av Sotra2533
18.12.20162016-21189Mandal2533
08.02.20172017-21208 (42)Nordsjøen2533
02.06.20182018-109042Nordsjøen, Vest av Foula2533
Total   2963636

2.2 - Opparbeiding av prøver

Ved prøvemottaket ble fisken tint, lengdemålt og veid og sortert etter størrelse. Deretter ble den åpnet opp og lever og andre indre organer ble tatt ut. Kjønn ble bestemt og modningsstadium ble bestemt hvis mulig. Fisken ble deretter filetert og skinnet fjernet. De skinnfrie filetene og leverprøver ble homogenisert med food prosessor.

Homogeniserte prøver av filet av enkeltfisk ble frysetørket og tørrstoffinnhold ble bestemt ved å veie prøven før og etter frystørking. Tørrstoffbestemmelse er en akkreditert metode (HI-metode nr. 377).

For hvert journalnr. (25 fisk) ble det laget tre størrelsessorterte samleprøver av filet og av lever. Det betyr at de 25 fiskene ble delt inn i tre grupper basert på lengde slik at fisken i hver gruppe var mest mulig lik i størrelse. Antallet fisk i samleprøvene varierte fra 2 til 12, men de fleste av samleprøvene inneholdt materiale fra 8-10 fisk. Samleprøver av filet ble homogenisert. Noe av det homogeniserte prøvematerialet av filet ble tatt av til analyse på vått materiale, mens noe ble frysetørket for analyse på tørr prøve. Tørrstoffinnholdet ble bestemt for de frysetørkede prøvene. Samleprøver av lever ble homogenisert og deretter analysert våt.

Filet av enkeltfisk og samleprøver av lever ble analysert for metaller. Samleprøver av filet og samleprøver av lever ble analysert for en rekke organiske miljøgifter: dioksiner, PCB, PBDE, HBCD og TBBP-A, PFAS, klorerte pesticider, samt fettinnhold. HBCD og TBBP-A og klorerte pesticider ble bestemt hos Eurofins, mens resten av analysene ble gjennomført ved HI sine laboratorier. Fordi det noen ganger var for lite lever i noen av samleprøvene til at alle prøvene kunne analyseres, ble det analyserte prøveantallet litt ulikt for de ulike stoffene. Det ble da gjort en prioritering der metaller og dioksiner, PCB og PBDE ble ansett som viktigst, deretter de øvrige stoffene inkludert fettinnhold. De siste prøvene av lyr og breiflabb tatt ut fra og med juni 2019 ble av økonomiske grunner bare analysert for metaller, dioksiner, PCB og PBDE.

En oversikt over de ulike analysemetodene, hvilke parametere som er akkreditert, samt akkrediteringsstatus for metodene er gitt i Table 4.

2.3 - Fettbestemmelse ved etylacetat (metode nr. 091)

Prøver som skulle analyseres for fettløselige organiske miljøgifter, det vil si samleprøver av filet og lever, ble analysert for fettinnhold med etylacetat-metoden. Våte, homogeniserte prøver ble ekstrahert med 30 % isopropanol i etylacetat. Etylacetat ble dampet av og fettet veid. Metoden er akkreditert i henhold til ISO 17025, og laboratoriet har deltatt i ringtester med metoden siden 1998 med godt resultat. Kvantifiseringsgrense og måleusikkerhet er gitt i Table 5.

2.4 - Bestemmelse av metaller (metode 197)

Homogenisert, frysetørket prøvemateriale av fiskemuskel og homogenisert vått prøvemateriale av fiskelever ble veid inn til bestemmelse av metaller. Metaller ble bestemt ved hjelp av plasmamassespektrometer (ICPMS) etter dekomponering i mikrobølgeovn som beskrevet av Julshamn m.fl. (2007). Følgende grunnstoff ble kvantifisert: arsen, kadmium, kvikksølv, bly, sølv, kobber, jern, kobolt, sink, selen, mangan, vanadium, molybden, krom og nikkel. Metoden er akkreditert for kobber, sink, arsen, kadmium, kvikksølv, bly og selen. Kvantifiseringsgrenser er beregnet på tørr prøve for hvert av grunnstoffene, og LOQ og måleusikkerhet for de akkrediterte stoffene er gitt i Table 5. Analysekvaliteten overvåkes jevnlig ved deltakelse i ringtester og ved analyse av sertifiserte kontrollprøver.

2.5 - Dioksiner, PCB og PBDE (metode 292)

Frysetørkede, homogeniserte filetprøver og våte, homogeniserte leverprøver ble ekstrahert, renset og analysert for dioksiner og furaner, PCB og PBDE som beskrevet av Julshamn m.fl. 2013a). PCDD, PCDF og non-orto PCB ble analysert på HRGC/MS og mono-orto PCB, PCB6 og PBDE ble analysert på GC-MSMS. Alle konsentrasjoner ble beregnet ved hjelp av isotopfortynning og intern standard. Metoden kvantifiserer ti ulike kongenere av PBDE, inkludert syv kongenere som summeres til en upperbound “standard sum PBDE” (PBDE-28, 47, 99, 100, 153, 154 og 183). I tillegg kvantifiseres PBDE-66, 119, og 138. Metoden kvantifiserer også seks ikke-dioksinlignende PCB, PCB6 (PCB 28, 52, 101, 138, 153 og 180). Videre kvantifiserer metoden syv ulike dioksiner, ti furaner, fire non-orto PCB og åtte mono-orto PCB. For dioksiner, furaner og dioksinlignende PCB ble toksiske ekvivalent verdier (TEQ), beregnet ved å multiplisere konsentrasjonene med kongenernes toksiske ekvivalentfaktorer (TEF). Beregningen av kongenersummer blir utført etter en "upper bound" prosedyre, som beskrevet i EU (2018). Metoden er akkreditert i henhold til ISO 17025, og analysekvaliteten overvåkes jevnlig ved deltakelse i ringtester og ved analyse av sertifiserte prøver. Kvantifiseringsgrenser og måleusikkerhet er oppgitt i Table 5.

2.6 - HBCD og TBBP-A (Eurofins metode nr. GFB71 og GFB86)

Heksabromcyclodekan (HBCD) ble bestemt på vått materiale hos underleverandør Eurofins med LC-MS/MS. Tre ulike HBCD-kongenere ble bestemt, α-HCBD, β-HBCD og γ-HBCD, samt summen av disse. Tetrabrombisfenol-A (TBBP-A) ble også bestemt hos Eurofins med LC-MS/MS. Kvantifiseringsgrenser og måleusikkerhet for de ulike analyttene er gitt i Table 5.

2.7 - Klorerte pesticider (Eurofins metode nr. GFP53)

Klorerte pesticider ble bestemt på vått materiale hos underleverandør Eurofins med GC-HRMS. Metoden kvantifiserer 30 ulike stoffer inkludert endosulfaner, klordaner, DDT og metabolitter, toksafener, heksaklorbenzen (HCB), HCH med mer (se Table 5). Metoden er akkreditert, og LOQ og måleusikkerhet er gitt i Table 5. Sum DDT ble beregnet som upperbound sum av o,p’-DDT, p,p’-DDT, o,p’-DDD, p,p’-DDD, o,p’-DDE og p,p’-DDE, uttrykt som DDT ved omregning i forhold til molekylvekt (MW DDT=354,5 g/mol, MW DDD=320,0 g/mol og MW DDE=318,0 g/ml). Sum klordan ble beregnet som upperbound sum av cis-klordan, trans-klordan og oksyklordan, uttrykt som klordan ved omregning i forhold til molekylvekt (MW=409,8 g/mol for klordan og MW=423,7 g/mol for oksyklordan). Sum toksafen ble beregnet som upperbound sum av toksafen 26, toksafen 50 og toksafen 62.

2.8 - Perfluorerte alkylstoffer (metode 349)

Våte samleprøver av filet eller lever ble veid inn og tilsatt massemerket intern standard og metanol og ekstrahert i ultralydbad. Etter sentrifugering ble supernatanten dekantert over i en sprøyte og filtrert gjennom 0,45 μm nylonfilter før vann ble tilsatt etterfulgt av opprensing på ASPEC. Ekstraktet fra ASPEC ble videre opprenset ved filtrering gjennom 3K ultrafilter. Prøvene ble til slutt analysert på LC-MS/MS og kvantifisert ved hjelp av intern standard. Forbindelsene som kan kvantifiseres med metoden, LOQ og måleusikkerhet for de ulike analyttene i fiskemuskel og -lever samt hvilke analytter metoden er akkreditert for, er oppgitt i Table 6. Metoden er validert for fiskemuskel, fiskelever og fiskerogn, og er akkreditert i henhold til NS-ISO 17025 for fet og mager fisk og lever av disse.


 

2.9 - Tabell over analyser utført samt akkrediteringsstatus

Table 4. Table of analyses performed including which matrices and parameters they are accredited for.

HI method no.Method nameAccredited parametersAccreditation status
197Multi-element determination with ICP-MSAs, Cd, Cu, Hg, Pb, Se, ZnAccredited for foodstuffs, feed, tissues and tissue fluids
292Joint extraction method and analysis on GCMS (PBDE), HRGCHRMS (dioxins, furans, non-ortho PCB) and GCMSMS (mono-ortho PCB)PBDE-28, 47, 99, 100, 153, 154, 183 PCB-28, 52, 101, 138, 153, 180 Mono-ortho PCB Non-ortho PCB PCDF PCDDAccredited for fish, fish products, oil, bivalves and feed.
349Determination of PFAS with LC-MSMSPFOS, PFOSA, PFHpA, PFOA, PFNA, PFDA, PFUdA, PFDoDA, PFTrDAAccredited for oily and lean fish and fish liver
377Dry matter determination by freeze dryingDry matterAccredited for foodstuffs, feed, tissues and tissue fluids
91Fat contents by ethyl acetate extraction and gravimetryFatAccredited for foodstuffs, feed, tissues and tissue fluids
Eurofins GFP-53OCP(27) + Endosulfan - Monitoring (HRMS)Endosulfan I (alpha-endosulfan), endosulfan II (beta-endosulfan), endosulfan sulphate, pentachlorobenzene, hexachlorobenzene (HCB), alpha-HCH, beta-HCH, gamma-HCH (Lindane), delta-HCH, o,p'-DDT, p,p'-DDT, o,p'-DDE, p,p'-DDE, o,p'-DDD, p,p'-DDD, aldrin, dieldrin, endrin, toxaphene parlar 26, toxaphene parlar 50, toxaphene parlar 62, heptachlor, mirex, cis-chlordane, trans-chlordane oxy-chlordane, trans-nonachlor, cis-heptachlorepoxide, trans-heptachlorepoxide, octachlorstyreneAccredited for food, feed and various seafood products
Eurofins GFB71Hexabromocyclodecane (3 HBCD)Alpha-HBCD Beta-HBCD Gamma-HBCDAccredited for fish oil, fish meal, fish feed and fish fillet
Eurofins GBP86Tetrabromobisphenol A (TBBPA)Tetrabromobisphenol-A (TBBPA)Accredited for fish oil, fish meal, fish feed and fish fillet

Table 5. Undesirable substances included, analytical methods used, accreditation status of the methods, limits of quantification (LOQ) and measurement uncertainty (MU) for the samples analysed.

Analyte

Method

Status
Accreditation

LOQ

MU (%)

Arsenic

ICP-MS

Yes

0.01 mg/kg dw

20 c

Cadmium

ICP-MS

Yes

0.005 mg/kg dw

20 c

Mercury

ICP-MS

Yes

0.005 mg/kg dw

25 c

Lead

ICP-MS

Yes

0.03 mg/kg dw

25 c

Copper

ICP-MS

Yes

0.1 mg/kg dw

25 c

Zinc

ICP-MS

Yes

0.5 mg/kg dw

20 c

Selenium

ICP-MS

Yes

0.01 mg/kg dw

25 c

PCDDs and PCDFs

HRGC/HRMS

Yes

0.008-0.4 pg/g ww a

20-35 d

Non-ortho PCBs

HRGC/HRMS

Yes

0.008-0.4 pg/g ww a

25-40 d

Mono-ortho PCBs

GC-MSMS

Yes

10 pg/g ww b

30-50 a

PCB6

GC-MSMS

Yes

0.03 ng/g ww b

30

PBDE7

GC-MSMS

Yes

0.002-0.013 ng/g ww a

30-50 a

Dry matter

Freeze-drying

Yes

2 g/100 g

10-35 e

Fat content

Gravimetry-ethyl acetate

Yes

0.1 g/100 g oil

5-12 e

HBCD α-, β-, γ-

LC-MS/MS

Yes

0.006 pg/g ww

40

TBBP-A

LC-MS/MS

Yes

0.1 ng/g ww

40

Pesticides, 30 different analytes

GC-HRMS

Yes

0.13-1 ng/g ww

50

a) Depending on analyte (congener).
b) For fatty fish.
c) Measurement uncertainty (MU) at concentrations above 10xLOQ. At lower concentrations, MU is higher (70% for mercury and 40% for the other elements).
d) Depending on concentration level (for each congener).
e) Depending on concentration level.


Table 6. List of poly- and perfluorinated alkyl substances determined by the PFAS method with accreditation status, LOQ (ng/g sample) and measurement uncertainty (MU, %) for each compound in muscle meat and liver of fish.
  Muscle meat Liver
Analyte AccreditationaLOQ (ng/g)bMU (%)LOQ (ng/g) bMU (%)
PFBSNo1 (3)805 (4.5)80
PFHxSNo1 (1.8)403 (2.7)35
PFOSYes0.2 (1.8)353 (4.5)75
PFDSNo0.2 (1.8)600.5 (2.7)30
PFOSAYes0.5 (1.5)800.5 (2.7)80
PFBANo1 (2.1)3510 (3)30
PFHxANo0.5 (1.8)602 (4.5)60
PFHpAYes0.2 (2.4)505 (6)30
PFOAYes0.6/4 (2.4)351.7/7 (7.2)30
PFNAYes0.2 (1.8)350.5 (4.5)30
PFDAYes0.2 (1.2)400.5 (1.8)30
PFUdAYes0.2 (2.7)400.5 (4.5)30
PFDoDAYes0.2 (1.8)402 (7.2)35
PFTrDAYes0.2 (3.6)800.5 (9.6)60
PFTeDANo0.2 (2.4)800.5 (9.6)70
N-EtFOSANo1.5/135-c-c
N-EtFOSENo190-c-c
N-MeFOSANo1/0.538-c-c
N-MeFOSENo0.5/1.539-c-c

a) The method is accredited for muscle meat and liver from fatty fish and lean fish.
b) Due to a change in the method, LOQ for many PFAS compounds changed during the project.
c) N-EtFOSA, N-EtFOSE, N-MeFOSA and N-MeFOSE are not determined in fish liver

 

3 - Resultater og diskusjon

3.1 - Rødspette

De 448 rødspettene som ble analysert varierte i lengde fra 22,5 til 59,5 cm og i vekt fra 127 til 2868 g, med gjennomsnittlig lengde og vekt på henholdsvis 40,8 cm og 852 g (Table 7). Litt over halvparten, 58,7 %, av de 433 rødspettene som ble kjønnsbestemt var hunner. Kondisjon gitt som k-faktor (100 x vekt/lengde3), levervekt og gonadevekt ble også målt i hver enkelt fisk og er oppsummert i Table 7. Fettinnhold ble målt i samleprøver av filet og samleprøver av lever, og viste stor variasjon, fra 0,67 til 4,2 g/100 g i filet og fra 4,6 til 27 g/100 g i lever.

Table 7. Overall results for physical and biological parameters measured in plaice (Pleuronectes platessa) sampled in Norwegian waters during 2016-2018 for analysis of contaminants. Results are given for fish length (cm), weight (g), k-factor (100 x weight/length3), liver weight (g) and sex (% female).
 Valid NMean ± SDMedianMin - MaxQ25Q75
Fish length (cm) 44840.8 ± 6.840.522.5 - 59.536.545.3
Fish weight (g) 448852 ± 463762127 - 28685191131
K-factor 4481.14 ± 0.161.10.76 - 1.91.01.2
Liver weight (g) 40910.6 ± 9.47.80.82 - 593.915
Gonad weight (g) 43231.7 ± 58.614.90.010 - 6683.837
Fat content fillet (g/100 g) 55*2.30 ± 0.792.30.67 – 4.21.72.9
Fat content liver (g/100 g) 46*13.6 ± 6.0124.6 - 279.818
Sex (% female) 43358.7    

*Fat content was analysed in composite samples only.

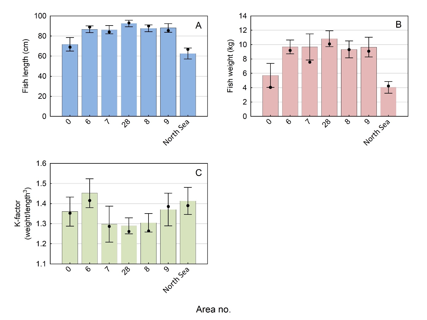
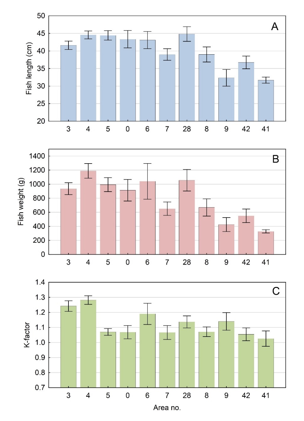
Geografisk variasjon i størrelse og kondisjon (k-faktor) på rødspettene er vist i Figure 4. Generelt ble de største fiskene tatt lengst nord på kysten, fra Finnmark til og med Nordland. Et unntak var område 28, der det også ble tatt nokså stor fisk, kun en posisjon. De minste rødspettene ble tatt i de sørligste områdene, 09 (Mandal) og 41 (Nordsjøen sør). Gjennomsnittsvekt på fisken for hvert statistikkområde varierte fra 328 g i område 41 (Nordsjøen sør) til 1189 g i område 04 (Nord-Troms og Vest-Finnmark), mens gjennomsnittslengde varierte fra 31,7 cm i område 41 til 44,8 cm i område 28 (Figure 4A,B). Det at rødspetten fisket i Nordsjøen var mindre enn den som ble tatt lenger nord stemmer med det vi vet fra før at rødspette i Nordsjøen sjelden blir mer enn 40 cm og 0,5 kg. Nordsjøen er gyte- og oppvekstområde (hi.no/hi/temasider/arter/rodspette), mens den voksne fisken trolig vandrer lenger nordover for å beite og vokse seg større.

Gjennomsnittlig kondisjon gitt som k-faktor var høyest (1,24-1,28) i Finnmark og Nord-Troms, middels (1,14-1,19) i område 06, 28 og 09, og lavest (1,03-1,07) i de øvrige områdene (Figure 4C). Denne variasjonen kan skyldes prøvetakingstidspunktet, men årstid forklarer ikke hele variasjonen, da rødspetter med både de høyeste og noen av de laveste k-faktorverdiene ble prøvetatt i oktober. Det er mulig at rødspette generelt er i bedre kondisjon i de nordlige områdene enn lenger sør.

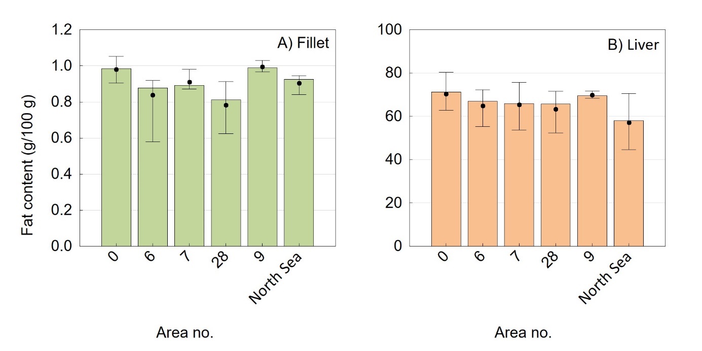
Gjennomsnittlig fettinnhold i samleprøver av lever og filet var henholdsvis 13,6 og 2,3 g/100 g (Table 7), og viste at rødspette er en art som lagrer mesteparten av fettet i leveren. Fettinnholdet i lever var betydelig høyere i fisk prøvetatt i områdene fra Lofoten til Nordkapp (Område 00, 05, 04) enn i de øvrige områdene (Figure 5). Lever av rødspette fra område 05 (Lofoten) hadde et gjennomsnittlig fettinnhold på 21,7 g/100 g, mens i område 08 (Rogaland) var gjennomsnittet lavere enn en tredjedel av dette (6,2 g/100 g). Gjennomsnittlig fettinnhold i filet var generelt høyere i rødspette fra Trøndelag (område 06) og nordover (2,4 - 3,1 g/100 g) enn i rødspette fisket lenger sør (snitt fra 1,4 til 1,8 g/100 g). Forskjellene i fettinnhold mellom områdene, særlig i lever der overskuddsfettet lagres, kan delvis skyldes at prøvene ble tatt på ulike tider av året. Rødspettene fra områdene med høyest gjennomsnittlig fettinnhold, område 05 og 00, ble prøvetatt i september.

Hunner var betydelig større enn hanner, med gjennomsnittsvekt på 1003 g for hunnene og 660 g for hannene (Figure 6), og dette stemmer også med det man vet om rødspettas biologi, at hunnene vokser raskere og blir større enn hannene (hi.no/hi/temasider/arter/rodspette). I de fleste områdene var det både hunner og hanner i prøvene, bortsett fra i område 42 i Nordsjøen, der alle de 10 rødspettene som ble undersøkt for kjønn før analyse var hunner.

Figure 4. A) Fish length (cm), B) weight (g) and C) k-factor (K = weight/length3) of plaice (Pleuronectes platessa) sampled in different areas (statistics areas) of the Norwegian coast (from north to south: areas 03 to 09) and the North Sea (areas 41 and 42). Mean ± 95% confidence intervals are given.

 

Figure 5. Fat contents (g/100 g) in A) fillet and B) liver of plaice (Pleuronectes platessa) sampled in different areas (statistics areas) of the Norwegian coast (from north to south: areas 03 to 09) and the North Sea (areas 41 and 42). Mean, minimum and maximum values are given.

 

 

Figure 6. A) Fish length and B) fish weight of male and female plaice (Pleuronectes platessa) sampled along the Norwegian coast and in the North Sea. Means ± 95% confidence intervals are given.

 


3.1.1 - Kadmium, bly, kvikksølv og arsen i rødspette

Resultat av bestemmelse av en rekke ulike grunnstoff; sølv (Ag), arsen (As), kadmium (Cd), kobolt (Co), krom (Cr), kobber (Cu), jern (Fe), kvikksølv (Hg), mangan (Mn), molybden (Mo), nikkel (Ni), bly (Pb), selen (Se), vanadium (V) og sink (Zn) i filet og lever av rødspette er gitt i Table 8. De fleste elementene har ikke grenseverdier for mattrygghet, og det er bare kadmium, bly, kvikksølv og arsen som vil bli kommentert ytterligere her.

Kadmium og bly

Filet av rødspette hadde svært lave nivåer av bly og kadmium, med henholdsvis 88 og 77 % av prøvene under bestemmelsesgrensene (LOQ) (Table 8). Den høyeste enkeltverdien av kadmium i filet var 0,0075 mg/kg våtvekt, langt under grenseverdien for kadmium i fisk til humant konsum på 0,05 mg/kg våtvekt som gjelder i EU og Norge. Den høyeste enkeltverdien av bly var 0,11 mg/kg våtvekt. Denne var godt under grenseverdien som gjelder bly i fisk på 0,3 mg/kg, men likevel relativt høy sammenlignet med de fleste andre prøvene. Den høyeste blyverdien i filet ble målt i en rødspette fra Mandal. Lave nivåer av bly og kadmium i filet av fisk stemmer med erfaring fra andre fiskeslag (sjomatdata.hi.no), der nivåene av bly og kadmium i filet stort sett er lave fordi disse tungmetallene primært lagres i organer som nyrer og lever.

Nivåene av kadmium og bly var betydelig høyere i lever enn i filet, med gjennomsnitt på henholdsvis 0,48 og 0,11 mg/kg våtvekt (Table 8). Variasjonen i kadmium- og blynivå i lever fra ulike områder er vist i Figure 7. De høyeste kadmiumnivåene i lever av rødspette ble målt i rødspette prøvetatt lengst nord (område 03 og 04), samt i område 06 (Figure 7A). De laveste kadmiumnivåene ble målt i rødspettene tatt lengst sør, i Mandal, samt ute i Nordsjøen. Kadmium har også tidligere vist høyere nivåer jo lenger nord vi kommer, noe som har vært særlig tydelig i krabbe (Wiech 2018; Julshamn m.fl. 2012b). Det er ikke klart hva som er årsaken til dette, men det antas å skyldes naturlige forhold og ikke forurensning. Blynivåene varierte mye mellom de analyserte samleprøvene, også innenfor områder. Den høyeste målte blykonsentrasjonen i lever var 0,43 mg/kg våtvekt, målt i en samleprøve av lever av rødspette fra fjorder i Nord-Troms og Vest-Finnmark (Lyngen-Altafjord), og en samleprøve fra Nordsjøen (Figure 7B). Det er vanskelig å vite hva denne variasjonen skyldes, men det er mulig å tenke seg at lokal forurensing f.eks. fra oljeinstallasjoner eller lokale kilder i fjorder kan gi forhøyet blynivå i enkeltfisk.

Figure 7. Variation in A) Cd concentration (mg/kg wet weight) and B) Pb concentration (mg/kg wet weight) in liver of plaice (Pleuronectes platessa) sampled in different areas along the Norwegian coast (from north to south: areas 03 to 09) and the North Sea (areas 41 and 42). Mean, minimum, maximum and median values are shown.

Table 8. Elements in plaice (Pleuronectes platessa). Concentrations (mg/kg ww) of 15 different elements in 448 individual fillet samples and 53 composite liver samples from Norwegian fishery areas. Mean ± standard deviation (SD), minimum and maximum values and 25 and 75% percentiles are shown, as well as the portion of samples below limit of quantification (<LOQ, %). Where more than 50% of samples are <LOQ, mean and SD are omitted.

Element
(mg/kg ww)
NMean ± SDMedianMin – MaxQ25Q75<LOQ (%)
AgFillet448 <0.002<0.002 - 0.004<0.002<0.00299.6
 Liver530.041 ± 0.0400.0230.007 - 0.160.0110.059 
AsFillet44826.4 ± 22.1202.9 - 1711333 
 Liver5314.8 ± 13.1104.5 - 657.416 
CdFillet448 <0.001<0.001 - 0.0075<0.001<0.00176.8
 Liver530.477 ± 0.5220.270.059 - 2.90.160.61 
CoFillet448 <0.005<0.004 - 0.018<0.005<0.00589.3
 Liver530.429 ± 0.1730.390.15 - 0.910.270.57 
CrFillet4480.025 ± 0.0500.006<0.003 - 0.39<0.0050.01948.7
 Liver530.106 ± 0.1500.062<0.01 - 0.950.0330.1217.0
CuFillet4480.170 ± 0.7620.130.087 - 160.120.15 
 Liver532.70 ± 1.142.31.2 - 6.01.93.2 
FeFillet4481.33 ± 0.721.20.57 - 9.80.981.5 
 Liver53169 ± 10214778 - 704118186 
HgFillet4480.057 ± 0.0550.0400.005 - 0.460.0250.070 
 Liver530.072 ± 0.0400.0640.024 - 0.220.0470.081 
MnFillet4480.060 ± 0.0510.0500.018 - 0.710.0390.068 
 Liver530.942 ± 0.3130.810.44 - 2.40.751.0 
MoFillet448 <0.02<0.02 - 0.07<0.02<0.0299.8
 Liver530.103 ± 0.0300.095<0.07 - 0.220.0850.1213.2
NiFillet448 <0.060<0.04 - 4.0<0.050<0.06094.2
 Liver53 <0.20<0.2 - 0.80<0.200.2669.8
PbFillet448 <0.005<0.004 - 0.11<0.005<0.00588.4
 Liver530.110 ± 0.1000.073<0.02 - 0.430.0420.151.9
SeFillet4480.387 ± 0.3240.310.14 - 3.60.260.40 
 Liver532.10 ± 0.472.01.2 - 3.51.82.3 
VFillet4480.008 ± 0.0240.002<0.001 - 0.330.0010.00517.6
 Liver530.77 ± 0.980.360.048 - 3.80.160.77 
ZnFillet4484.83 ± 0.724.82.9 - 7.64.35.2 
 Liver5334.8 ± 7.43423 - 522939 

Kvikksølv

Konsentrasjonen av kvikksølv (Hg) i filet av rødspette var generelt lav, med et gjennomsnitt på 0,057 mg/kg våtvekt og et spenn fra 0,005 til 0,46 mg/kg våtvekt (Table 8). Den høyeste verdien var like under grenseverdien for kvikksølv i fisk til humant konsum på 0,5 mg/kg våtvekt. Selv om noen få enkeltfisk hadde relativt høyt nivå hadde 75 % av fisken svært lavt kvikksølvnivå, med 0,070 mg/kg våtvekt eller lavere. Den høyeste verdien ble målt i filet av en rødspette prøvetatt ute i Nordsjøen i område 08, der gjennomsnittlig (median) konsentrasjon av Hg var 0,12 (0,08) mg/kg våtvekt. Gjennomsnittsverdi for de ulike statistikkområdene varierte fra 0,027 mg/kg våtvekt i område 05 (Lofoten) til 0,095 mg/kg våtvekt i område 42 i Nordsjøen (Figure 8). Det var ingen nord-sør gradient, slik som ble observert for brosme og lange (Frantzen og Maage 2016). Dette kan trolig delvis skyldes forskjeller i størrelse og kondisjon mellom rødspetter prøvetatt i sør og i nord. Kvikksølvnivåene i rødspette fra denne undersøkelsen er på nivå med eller lavere enn tidligere resultater fra norske kyst- og havområder (Green og Knutzen 2003Goksoyr m.fl. 1991; sjomatdata.hi.no).

Kvikksølvnivået i samleprøver av rødspettelever varierte fra 0,024 til 0,22 mg/kg (Table 8), med et totalt gjennomsnitt på 0,072 mg/kg. Dette er litt høyere enn gjennomsnittet for filet. Gjennomsnittlig lever:filet ratio for kvikksølv var på 1,3, med et spenn fra 0,69 til 2,5. Lever:filet ratio for kvikksølv kan si noe om forurensningsnivå og så ut til å øke fra Øst-Finnmark (område 03) til Vestfjorden. Videre sørover var gjennomsnittet relativt stabilt, med de høyeste verdiene i områdene 06, 09 og 41. Den laveste gjennomsnittlige lever:filet ratioen ble funnet i område 42.

Det var ingen klar og entydig sammenheng mellom størrelse og kvikksølv i rødspette. Det var en positiv korrelasjon mellom fiskens lengde og kvikksølvkonsentrasjon i filet (Figure 9A). Likevel kan bare noen av de geografiske forskjellene forklares med størrelse.

Fettinnhold ble bare analysert i samleprøver, men det er gjort korrelasjonsanalyse mellom fettinnhold i samleprøvene og gjennomsnittlig kvikksølvkonsentrasjon i den fisken som var representert i hver av samleprøvene. Det var ingen sammenheng mellom fettinnhold i filet og kvikksølvkonsentrasjon (ikke vist). Det var imidlertid en signifikant negativ korrelasjon mellom kvikksølvkonsentrasjon i filet og fettinnhold i lever av de samme fiskene (Figure 10A). Fettinnhold i lever kan være et mål på kondisjon hos mager fisk, da overskuddsfettet

Figure 8. Variation in Hg concentration (mg/kg wet weight) in A) fillet and B) liver of plaice (Pleuronectes platessa) sampled in different areas along the Norwegian coast (from north to south: areas 03 to 09) and the North Sea (areas 41 and 42). For fillet, mean ± 95% confidence interval and median values are given. For liver, mean, minimum, maximum and median values are shown. The red line marks the EU and Norway’s maximum level set for Hg in fish fillet for human consumption, which does not apply to liver.

 

Figure 9. Scatterplots of Hg concentration (mg/kg wet weight) in fillet of plaice (Pleuronectes platessa) versus fish length (cm). A) The whole dataset, giving the result of Pearson’s linear correlation between Hg and fish length. B) Categorised by statistics area, where different colours mark different areas as shown.

 

Figure 10. Scatterplots mean Hg concentration (mg/kg wet weight) in fillet of plaice (Pleuronectes platessa) versus fat content in composite samples of liver (g/100g). A) The whole dataset, giving the result of linear correlation between Hg and fish length. B) Categorised by statistics area, where different colours mark different areas as shown.

 


hos disse artene lagres i leveren og ikke i fileten. Det at vi ser en negativ sammenheng mellom fettinnhold i lever og kvikksølvkonsentrasjon i filet, tyder på at fisk som er i dårlig kondisjon har en høyere konsentrasjon av kvikksølv enn fisk i god kondisjon.

Arsen

Konsentrasjonen av arsen (As) i rødspette var relativt høy både i lever og filet, med et totalt gjennomsnitt i filet på 26,4 mg/kg våtvekt og i lever på 14,8 mg/kg våtvekt (Table 8). Variasjonen mellom prøver var imidlertid stor, fra 2,9 til 171 mg/kg i filet og fra 4,5 til 65 mg/kg i lever. Det er ikke etablert noen grenseverdi for arsen i EU og Norge (EU 2018). Konsentrasjonene var på nivå med eller høyere enn det som tidligere har vært målt i rødspette i vår overvåkning, med gjennomsnitt i 2007, 2014 og 2015 på henholdsvis 24,4, 6,89 og 15, 2 mg/kg våtvekt (sjomatdata.hi.no). Goksoyr m.fl. (1991) fant nivåer mellom 6.0 og 10 i filet av rødspette fra Hvaler, og mellom 1,5 og 22,7 mg/kg i lever. Høye nivå av arsen har også tidligere blitt målt i rødspette undersøkt i andre steder (Luten m.fl. 1982; Leah m.fl. 1992). Gjennomsnittsnivået for rødspette er høyere enn gjennomsnitt for de fleste fiskearter som er i Sjømatdata (sjomatdata.hi.no), bortsett fra flyndrefisken lomre som hadde enda høyere arsennivå, med snitt på henholdsvis 86,0 og 49,4 mg/kg våtvekt i 2017 og 2018. Fisk som lever i tilknytning til bunnen, slik som rødspette, ser ut til å ha generelt høyere nivåer av arsen enn pelagisk fisk (Neff 1997), men årsaken til dette er ikke fullt ut forstått.

Arsennivå både i filet og lever av rødspette varierte mellom områder, med den største variasjonen i lever (Figure 11). I rødspettefilet var de høyeste gjennomsnittskonsentrasjonene i områdene 07, 28 og 08 (kysten av Vestlandet), og aller høyest gjennomsnitt var det i område 08 (Rogaland), der gjennomsnittskonsentrasjonen var over 51 mg/kg våtvekt. Lavest konsentrasjon i filet ble målt i rødspette fra område 41, sør i Nordsjøen. De høyeste snittkonsentrasjonene i lever ble målt hos rødspette fra områdene 06, 28 og 08, og aller høyest gjennomsnitt var det i område 06 med et snitt på 39,0 mg/kg. De laveste konsentrasjonene i lever av rødspette ble målt i områdene 05 (Lofoten) og 09 (Skagerrak). I de fleste områdene var det høyere gjennomsnittskonsentrasjon i filet enn i lever, med unntak av område 06 og 41 (Nordsjøen sør), der det var motsatt. Noe av variasjonen i arsenkonsentrasjon mellom områder kan skyldes variasjon i størrelse, siden det var en signifikant positiv korrelasjon mellom fiskens størrelse og arsenkonsentrasjon i filet (Figure 12). Det var også en negativ sammenheng mellom arsenkonsentrasjon i både filet og lever og fettinnhold i lever (Figure 13), som også kan ha bidratt til noe av variasjonen. Fettinnhold i lever kan ses på som en indikator på kondisjon, ettersom mesteparten av fettet til rødspetten lagres i leveren. En kombinasjon av lengde og kondisjon kan muligens forklare den geografiske variasjonen som er observert. En sesongvariasjon i arsennivå har vært observert i pelagiske fiskeslag som sild og makrell (Frantzen m.fl. 2015; Frantzen in prep.), der høyt fettinnhold samvarierte sterkt med arsennivå. Tilsvarende mønster ble ikke observert her.

Nivåene av kvikksølv og arsen i både filet og lever var godt korrelert med hverandre, og det er sannsynlig at det skyldes at begge akkumuleres over tid (positivt korrelert med størrelse) og fortynnes når fettinnholdet i lever er høyt.

 

Figure 11. Variation in As concentration (mg/kg wet weight) in A) fillet and B) liver of plaice (Pleuronectes platessa) sampled in different areas along the Norwegian coast (from north to south: areas 03 to 09) and in the North Sea (areas 41 and 42). For fillet, mean ± 95% confidence interval and median values are given. For liver, mean, minimum, maximum and median values are shown.

 

 

Figure 12 . Correlation between arsenic concentration in plaice (Pleuronectes platessa) fillet (As, mg/kg wet weight) and total fish length (cm). Result of Pearson’s linear correlation is shown.

 

 

Figure 13. Correlation between arsenic concentrations in plaice (Pleuronectes platessa) fillet and liver (As, mg/kg wet weigtht) and fat content (g/100 g) of the liver. Liver fat content and As concentrations in liver (red) were measured in composite samples. For fillet, mean As concentrations (blue) were calculated for the fish that were pooled for the liver fat analysis. Result of Peason’s linear correlation analysis is shown.

 

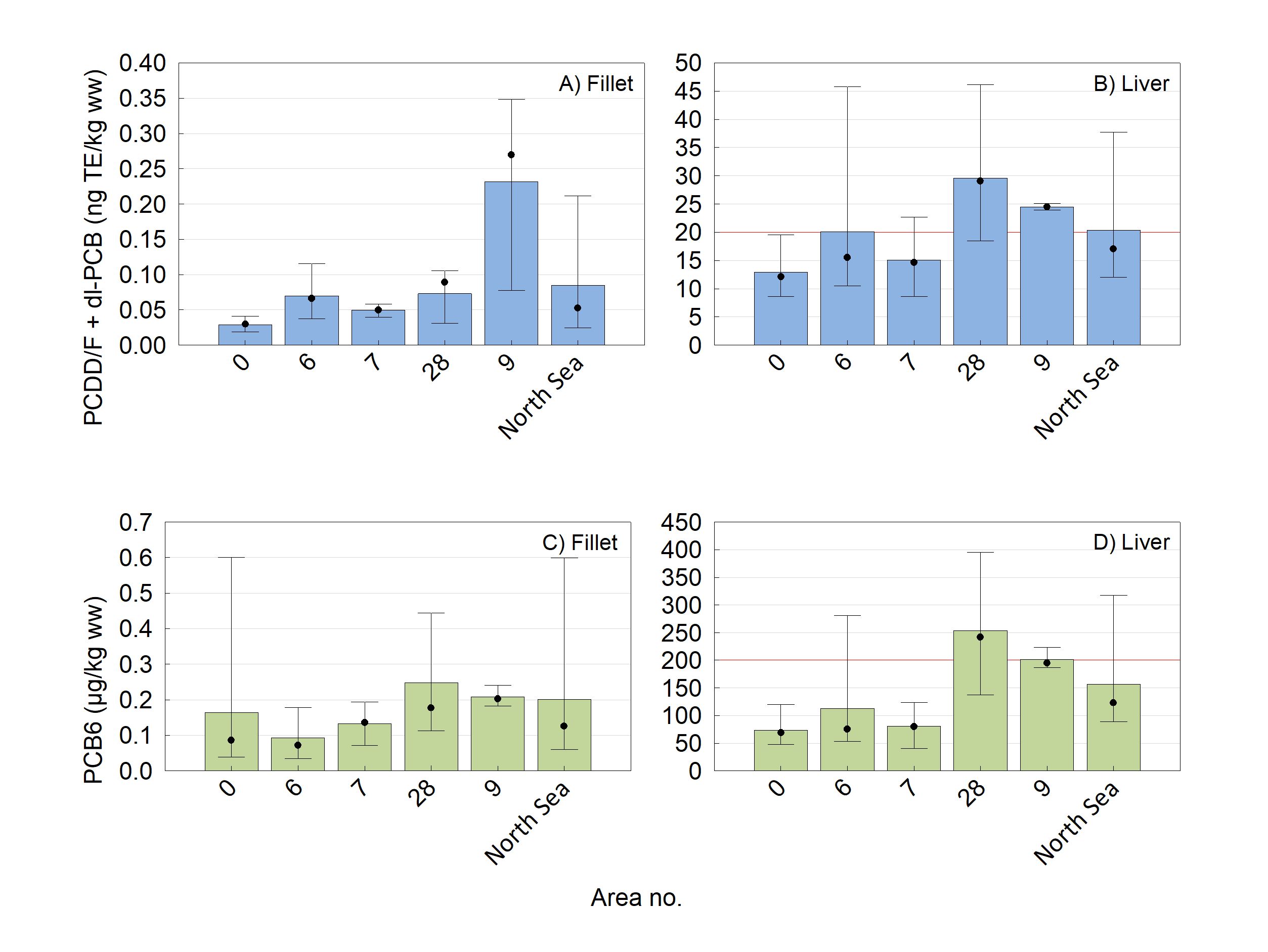
3.1.2 - Dioksiner og PCB i rødspette

Den totale summen av dioksiner og dioksinlignende PCB (PCDD/F+dl-PCB) i 54 samleprøver av filet av rødspette varierte fra 0,14 til 1,3 ng TE/kg våtvekt (Table 1), med gjennomsnitt og median på henholdsvis 0,52 og 0,50 ng TE/kg. Alle konsentrasjonene var langt under EU og Norges grenseverdi for summen av dioksiner og dioksinlignende PCB på 6,5 ng TE/kg våtvekt som gjelder fiskemuskel (EU 2018; Forskrift om visse forurensende stoffer i næringsmidler). Konsentrasjonen av sum dioksiner (PCDD+PCDF) i rødspettefilet varierte fra 0,084 til 0,65 ng TE/kg våtvekt med et snitt på 0,20 ng TE/kg, og var langt under grenseverdien for sum dioksiner på 3,5 ng TE/kg våtvekt. Summen av dioksinlignende PCB (dl-PCB; non-orto + mono-orto PCB) i filet varierte fra 0,048 – 1,0 ng TE/kg våtvekt med et snitt på 0,32 ng TE/kg og utgjorde den dermed største delen av sum dioksiner og dl-PCB. Det er ingen grenseverdi som gjelder for bare dl-PCB.

Konsentrasjonen av summen av seks ikke-dioksinlignende PCB (PCB6) i filet av rødspette varierte fra 0,31 til 7,0 µg/kg våtvekt, med et gjennomsnitt på 2,5 µg/kg. Ingen prøver var over grenseverdien på 75 µg/kg våtvekt som gjelder fiskefilet.

Nivået av sum dioksiner og dioksinlignende PCB i samleprøver av rødspettefilet målt i denne undersøkelsen er nokså likt det som ble målt i rødspetter analysert i 2015 og 2007. De to årene var gjennomsnittsverdiene henholdsvis 0,41 og 0,40 ng TE/kg våtvekt (sjomatdata.hi.no), men spennet var større, sannsynligvis fordi det var enkeltfisk som ble analysert. Også for PCB6 var nivået målt i denne undersøkelsen omtrent som i Sjømatdata. Green og Knutzen (2003) fant gjennomsnittlig PCB7-konsentrasjon i filet av rødspette på 1,54 µg/kg våtvekt. Sammenlignet med helt magre fiskearter som torsk og sei, har filet av rødspette mellom fem og ti ganger høyere nivå av dioksiner og dioksinlignende PCB. Nivået av PCB6 i filet av rødspette er mellom to og åtte ganger høyere enn i torsk og sei. Sammenligner vi nivået av dioksiner og dioksinlignende PCB og PCB6 i filet av rødspette med fete fiskeslag som makrell og sild, ser vi at nivåene i rødspette er mindre enn det halve av nivåene målt i disse.


Table 9 . Persistent organic pollutants in plaice (Pleuronectes platessa). Concentrations of sums of dioxins (PCDD), furans (PCDF), PCDD + PCDF, non-ortho PCBs, mono-ortho PCB, dl-PCBs, PCDD/F+dl-PCB (ng TEQ/kg ww) and non-dioxin like PCBs (PCB6, µg/kg ww) in composite samples of fillet and liver from Norwegian fishery areas. For PCDD/F+dl-PCB and PCB6 results are also given on fat weight basis (fw). Results are given as mean ± standard deviation (SD), minimum and maximum values, median and quartiles (Q25 and Q75). Number of samples exceeding EU and Norway’s maximum levels (>ML) is given for sum PCDD/F+dl-PCB and PCB6. All sums are upperbound, i.e. concentrations < LOQ are set as equal to LOQ.

*ng TEQ/kg ww
**ng TEQ/kg fw
*
**µg/kg ww
****µg/kg fw

OrganNMean ± SDMedianMin - maxQ25Q75>ML1
PCDD* Fillet540.096 ± 0.0580.0880.048 - 0.460.0700.11 
PCDF* Fillet540.103 ± 0.0500.0990.028 - 0.290.0740.12 
PCDD+PCDF* Fillet540.199 ± 0.0940.190.084 - 0.650.150.21 
non-ortho PCB* Fillet540.301 ± 0.1780.280.046 - 0.930.170.35 
mono-ortho PCB* Fillet540.022 ± 0.0160.0180.002 - 0.0700.00950.030 
moPCB+noPCB* Fillet540.323 ± 0.1930.300.048 - 1.00.180.38 
PCDD/F + dl-PCB* Fillet540.522 ± 0.2510.500.14 - 1.30.340.630
PCDD/F + dl-PCB fw** Fillet5422.6 ± 8.021.910 - 451627 
PCB6*** Fillet542.46 ± 1.631.90.31 - 7.01.23.40
PCB6 fw**** Fillet54103 ± 549124 - 25363135 
PCDD* Liver531.26 ± 0.761.10.54 - 4.90.811.5 
PCDF* Liver530.994 ± 0.9070.730.21 - 6.20.521.1 
PCDD+PCDF* Liver532.26 ± 1.551.90.88 - 111.52.3 
non-ortho PCB* Liver532.88 ± 4.301.70.055 - 301.12.6 
mono-ortho PCB* Liver530.166 ± 0.1540.100.019 - 0.700.0640.21 
moPCB+noPCB* Liver533.05 ± 4.381.80.074 - 301.12.8 
PCDD/F + dl-PCB* Liver535.31 ± 5.853.51.3 - 412.84.91
PCDD/F + dl-PCB fw** Liver4639.1 ± 29.43414 - 2192642 
PCB6*** Liver5321.5 ± 23.3122.0 - 926.7230
PCB6 fw**** Liver46144 ± 9212240 - 38875188 

1) Maximum levels (ML) (EU and Norway; EU 2018):
PCDD+PCDF in fish fillet: 3.5 ng TEQ/kg wet weight
PCDD/F+dl-PCB in fish fillet: 6.5 ng TEQ/kg wet weight
PCDD/F +dl-PCB in fish liver: 20 ng TEQ/kg wet weight
PCB6 in fish fillet: 75 µg/kg wet weight
PCB6 in fish liver: 200 µg/kg wet weight

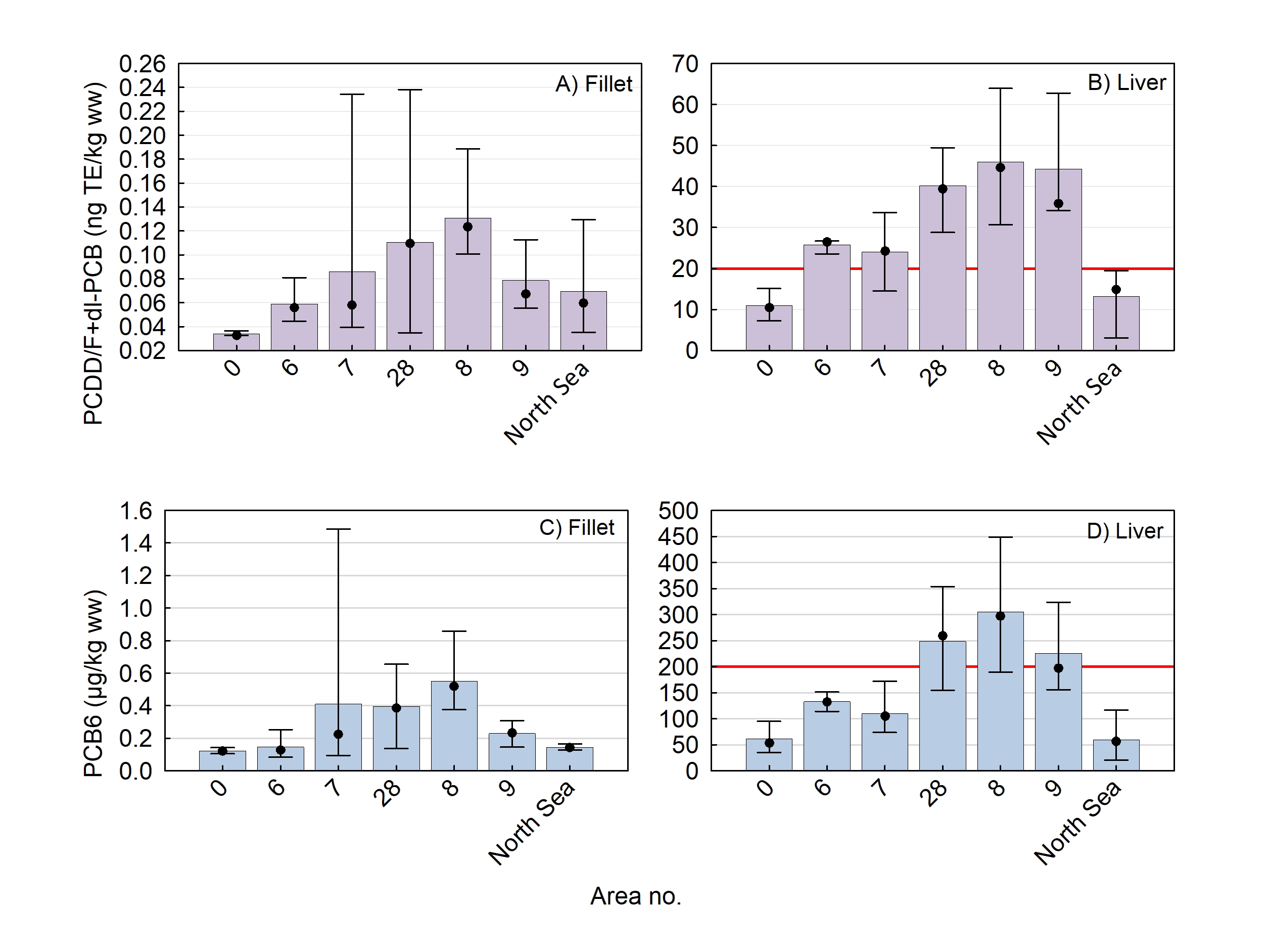
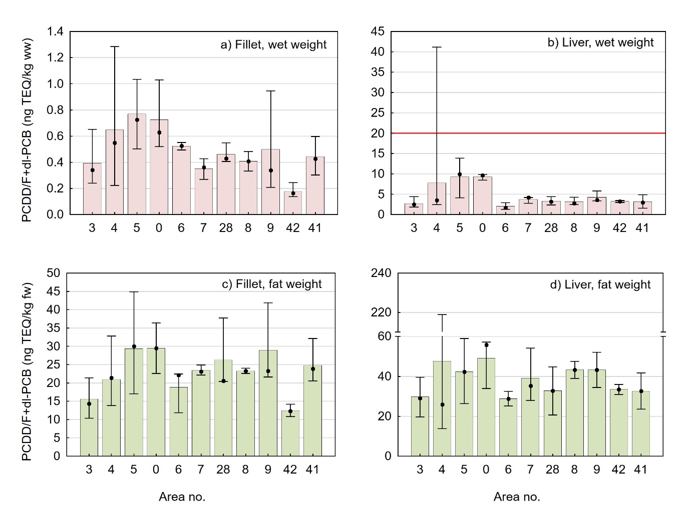
Lever av rødspette hadde i gjennomsnitt ti ganger høyere konsentrasjon av dioksiner og PCB enn filet, med et snitt for sum dioksiner og dioksinlignende PCB på 5,31 ng TE/kg og median på 3,5 ng TE/kg. Én samleprøve var over grenseverdien som gjelder summen av dioksiner og dioksinlignende PCB i fiskelever på 20 ng TE/kg våtvekt, og denne hadde en konsentrasjon på hele 41 ng TE/kg. Den nesthøyeste verdien var på 14 ng TE/kg våtvekt. Konsentrasjonen som var over grenseverdien, ble målt i en samleprøve av 25 rødspetter prøvetatt i ulike fjord- og kystområder i Nord-Troms og Vest-Finnmark (område 04). Siden den hadde så høyt nivå av dioksiner og dioksinlignende PCB sammenlignet med alle andre prøver av rødspettelever, ble prøven opparbeidet og analysert på nytt. Den nye analysen bekreftet det høye nivået. Det var særlig konsentrasjonen av PCB-126 som var høy i denne prøven, med 27 ng TE/kg, men enkelte andre kongenere var også høyere her enn i de fleste andre prøver. Blant de kongenerne som bidro mest til summen var også to furaner, et dioksin og PCB-169.

Konsentrasjonen av sum dioksiner i lever av rødspette varierte fra 0,88 til 11 ng TE/kg våtvekt, med snitt og median på henholdsvis 2,26 og 1,9 ng TE/kg (Table 9). Summen av dioksinlignende PCB hadde snitt og median på henholdsvis 3,05 og 1,8 ng TE/kg våtvekt. Det er ingen grenseverdier som gjelder sum dioksiner eller sum dioksinlignende PCB i lever av fisk. Gjennomsnittlig og median konsentrasjon av PCB6 i lever av rødspette var henholdsvis 21,5 og 12 µg/kg. Den høyeste konsentrasjonen av PCB6 i en samleprøve var på 92 µg/kg våtvekt, og det var i en prøve av rødspette fisket i Lofotenområdet. Prøven som hadde spesielt høyt nivå av dioksiner og dioksinlignende PCB hadde ikke spesielt høyt nivå av ikke-dioksinlignende PCB, med bare 24 µg/kg. Ingen samleprøver av rødspettelever hadde PCB6 over grenseverdien som gjelder fiskelever på 200 µg/kg.

Figure 14. Dioxins and dioxin-like PCBs and PCB6 in plaice (Pleuronectes platessa). Correlation between fat content (g/100 g) and concentrations of A,B) sum dioxins and dioxin-like PCBs (PCDD/F + dl-PCB, ng TEQ/kg wet weight, ww) and C,D) sum PCB6 (µg/kg ww). Correlations are given both for fillet and liver separately (A and C) and for all fillet and liver samples combined (B and D). Results of Pearson’s linear correlation are given. One liver sample (outlier) with very high concentration of PCDD/F + dl-PCB was excluded from the graph and analysis.

I Sjømatdata har vi ikke data for dioksiner og dioksinlignende PCB eller PCB6 i rødspettelever til å sammenligne med (sjomatdata.hi.no). Sammenligner vi imidlertid nivåene målt i rødspettelever med lever av magre fiskeslag som torsk og sei, der vi har mye data, er gjennomsnittsnivået i rødspettelever generelt tre til fire ganger lavere. Den ene prøven som hadde særlig høyt nivå i lever hadde også høyt nivå sammenlignet med gjennomsnittet for lever av mager fisk, men ikke høyere enn de høyeste verdiene som er målt i torsk og sei i norske kystområder.

Når sum dioksiner og dioksinlignende PCB i rødspette ble plottet mot fettinnhold, der prøver av både filet og lever var med, var det en svært god lineær korrelasjon (r2 = 0,84; Figure 14b). Denne korrelasjonen var mye bedre enn tilsvarende når filet og lever ble behandlet hver for seg (Figure 14a). Det tyder på at konsentrasjonen av dioksiner og dioksinlignende PCB i de ulike prøvene i stor grad er bestemt av fettinnholdet. For PCB6 var det særlig god korrelasjon mellom PCB6 og fettinnhold i lever (r2 = 0,78, p<0,001), og det var en signifikant, men svakere, korrelasjon mellom PCB6 og fettinnhold i filet (Figure 14C). Når både filet og lever var med i samme korrelasjon (Figure 14D), var det fortsatt en god lineær korrelasjon med fettinnhold, men ikke bedre enn for lever alene (r2 = 0,76, p<0,001).

Figure 15. Dioxins and dioxin-like PCBs in plaice (Pleuronectes platessa). Correlation between fish length (cm) and concentration of sum dioxins and dioxin-like PCBs (PCDD/F+dl-PCB, ng TEQ/kg). Correlations are given for A) fillet on wet weight basis (ww), B) Liver on wet weight basis (ww), C) Fillet on lipid weight basis (fw) and D) Liver on lipid weight basis (fw). Results of Pearson’s linear correlation are given with significance level at p<0.05. Notice that A and B have different scales on the y-axis, while C and D have the same scale. One liver sample (outlier) with very high concentration of PCDD/F + dl-PCB was excluded from the graph and analysis.

Når konsentrasjonene av sum dioksiner og dioksinlignende PCB i filet og lever av rødspette ble regnet om til konsentrasjon på fettvektbasis, var forskjellen mellom filet og lever mye mindre enn på våtvektsbasis (median for filet 22 og for lever 34 ng TE/kg fettvekt; Table 9). Likevel var fortsatt konsentrasjonene høyere i lever enn i filet, noe som kan ha sammenheng med leverens funksjon som et avgiftningsorgan.

Det var en signifikant positiv korrelasjon mellom fiskens størrelse og konsentrasjon av dioksiner og dioksinlignende PCB i filet på våtvekt, men ikke på fettvektbasis (Figure 15). For PCB6 var mønsteret stort sett det samme (ikke vist). Grunnen til at konsentrasjonene på våtvektbasis var korrelert med størrelse, mens konsentrasjonene på fettvektbasis ikke var det, kan i alle fall delvis skyldes at også fettinnholdet i filet økte med størrelse på fisken (ikke vist).

Konsentrasjonen av sum dioksiner og dioksinlignende PCB i rødspettefilet og –lever varierte mellom ulike områder, med de høyeste konsentrasjonene i Nord-Norge, i statistikkområdene 04 (Vest-Finnmark og Nord-Troms), 05 (Nord for Lofoten) og 00 (Vestfjorden) (Figure 16a,b).

Figure 16 . Concentrations of sum dioxins and dioxin-like PCB (PCDD/F+dl-PCB) in plaice (Pleuronectes platessa) from different fisheries statistics area along the Norwegian coast (from north to south: areas 03 to 09) and in the North Sea (areas 41 and 42). Concentrations are given in A) fillet samples on wet weight basis (ww), B) liver samples on wet weight basis (ww), C) fillet samples on fat weight basis (fw) and D) liver samples on fat weight basis (fw). Columns and error bars indicate mean, minimum and maximum values, and black dots mark median values. The red line in B) indicate the EU and Norway’s maximum level applying to liver.

Men forskjellene skyldtes i stor grad at rødspettene i de nevnte områdene var fetere både i filet og lever, og de var også større. Det var god korrelasjon mellom fettinnhold og konsentrasjon av sum dioksiner og dioksinlignende PCB både i filet og lever (Figure 14). Omregnet til konsentrasjon på fettvektbasis var variasjonen mellom områdene mindre, og selv om nevnte områder fortsatt hadde noen av de høyeste gjennomsnittskonsentrasjonene, så hadde rødspette fra områder lenger sør omtrent like høye nivåer som de høyeste i nord (Figure 16c,d).

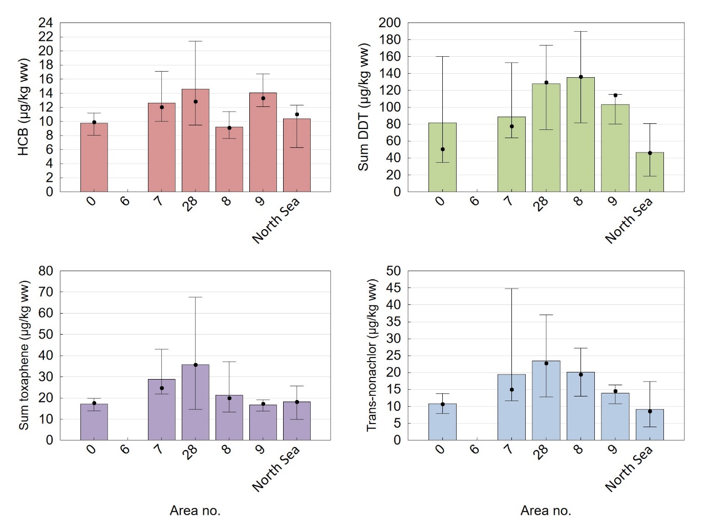
3.1.3 - Klorerte pesticider i rødspette

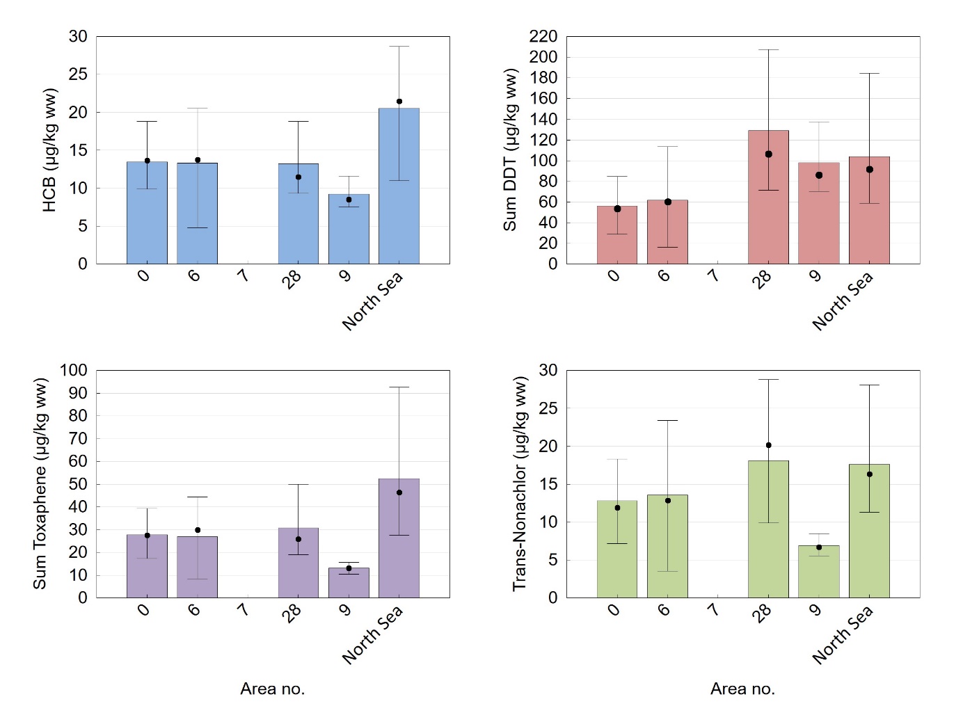
Filet av rødspette hadde lave, men målbare konsentrasjoner av en rekke plantevernmidler (Table 10): Hexaklorbenzen (HCB), p,p’-DDT, p,p’-DDD og p,p’-DDE, mirex, dieldrin, cis-klordan, trans-nonaklor og oktaklorstyren. Andre stoffer hadde målbare konsentrasjoner i enkelte prøver, men verdiene var svært lave. Ettersom det ble benyttet to ulike metoder i løpet av prosjektet, med to ulike sett av LOQ, var det for noen stoffer slik at høyeste målte verdi var lavere enn den høyeste LOQ’en. Den høyeste konsentrasjonen i filet ble målt for p,p’-DDE, med gjennomsnitt på 1,87 og median på 1,2 µg/kg våtvekt. Konsentrasjonen av p,p’-DDE, som er et nedbrytningsprodukt av DDT, var mer enn 10 ganger høyere i filet enn konsentrasjonen av p,p’-DDT. Dette tyder på at nivåene skyldes gamle utslipp av DDT som i stor grad har rukket å bli nedbrutt til DDE. Det er ikke satt grenseverdier for mattrygghet for pesticider.

I lever var nivåene av klorerte pesticider noe høyere enn i filet (Table 10). De samme pesticidene som hadde målbare konsentrasjoner i filet hadde også målbare, og noe høyere, konsentrasjoner i lever. DDT-metabolitten p,p’-DDE hadde en gjennomsnittlig konsentrasjon i lever av rødspette på 13,9 µg/kg og en median på 5,4 µg/kg. Trans-nonaklor hadde nest høyest konsentrasjon med et gjennomsnitt på 2,71 µg/kg våtvekt.

3.1.4 - Bromerte flammehemmere i rødspette

Konsentrasjonene av ulike bromerte flammehemmere i rødspette er gitt i Table 11. I filet viste summen av 7 PBDE (PBDE-28, 47, 99, 100, 153, 154 og 183) høyest konsentrasjon, med upperbound gjennomsnitt på 0,16 µg/kg våtvekt og et spenn fra 0,036 til 0,82 µg/kg våtvekt. I lever av rødspette var konsentrasjonen av PBDE7 (UB) høyere, med et gjennomsnitt på 1,21 µg/kg og et spenn fra 0,38 til 3,8 µg/kg.

PBDE 47 var den PBDE-kongeneren som hadde høyest nivå både i filet og lever, med et gjennomsnitt i filet på 0,116 µg/kg våtvekt og i lever på 0,765 µg/kg. PBDE 47 utgjorde i snitt 73 % av LB summen i filet og 77 % av LB summen i lever. Alle prøvene av både filet og lever hadde målbare konsentrasjoner av PBDE 47. En annen kongener med et betydelig bidrag til summen var PBDE 100, med et gjennomsnitt i filet på 0,020 µg/kg våtvekt og i lever på 0,13 µg/kg. Andre kongenere hadde lave konsentrasjoner, det vil si gjennomsnitt i filet på mindre enn 0,01 µg/kg våtvekt og i lever under ca. 0,08 µg/kg. Mange av kongenerne var også under LOQ.

Gjennomsnittskonsentrasjon av PBDE 47 i filet på 0,116 µg/kg våtvekt er relativt høyt sammenlignet med rødspetter fra Nordsjøen analysert i 2015, men tilsvarende det som ble målt i 2007 (sjomatdata.hi.no). Nivået er høyere enn i breiflabb og lyr analysert i denne undersøkelsen, og høyere enn hos andre magre fiskeslag som torsk, hyse og brosme (sjomatdata.hi.no). På den andre siden var nivået lavere i filet av rødspette enn hos fetere fiskeslag som atlantisk kveite, blåkveite, sild og makrell. PBDE-100 viser det samme mønsteret som PBDE-47 når vi sammenligner med andre arter (sjomatdata.hi.no). Med hensyn til lever var snittkonsentrasjonen i rødspettelever på 0,77 µg/kg lav sammenlignet med lever av magre fiskeslag som torsk brosme, hyse, og sei (sjomatdata.hi.no), men i samme område som det som har vært målt i lever av gråsteinbit. Hvor fettet lagres har sannsynligvis stor betydning for variasjoner mellom arter og hvordan konsentrasjonene i filet og lever varierer fra art til art.

 


Table 10. Concentrations of chlorinated pesticides in composite samples of fillet and liver of plaice (Pleuronectes platessa) caught along the Norwegian coast and in the North Sea. Mean, median, minimum and maximum values are given. For sums, upperbound (UB) sums are used. Where more than 50% of samples are below LOQ, mean and median are omitted.
Substance
(µg/kg wet weight)

Fillet (N=55)
Mean (median)


Min-max

Liver (N=49)
Mean (median)


Min-max
Endosulfan I (α-endosulfan) <0.28 - <1.1 <0.54 – <1.9
Endosulfan II (β -endosulfan) <0.22 – <0.91 <0.44 – <1.5
Endosulfan sulphate <0.22 – <0.91 <0.44 – <1.5
Pentachlorobenzene <0.28 – <1.1 <0.5 - <1.9
Hexachlorobenzene (HCB)0.629 (0.52)<0.28 - 1.53.04 (2.3)<0.74 – 9.2
α--HCH <0.14 - <0.57 <0.27 – <0.96
β-HCH <0.14 - <0.57 <0.34 – <0.96 (1 ≥ LOQ)
γ-HCH (Lindane) <0.14 - <0.57 <0.27 – <0.96
δ- HCH <0.14 - <0.57 <0.27 – <0.96
Aldrin <0.056 - <0.23 <0.11 - <0.39
Dieldrin0.322 (0.31)<0.093 – 1.21.94 (1.5)<0.39 – 5.4
Endrin <0.17 – <0.68 <0.33 – <1.2
Heptachlor <0.056 - <0.23 <0.11 - <0.39
Mirex(0.070)<0.056 - 0.100.276 (0.24)<0.14 – 0.7
Trans-nonachlor0.410 (0.25)0.031 – 2.02.71 (1.2)<0.074 - 14
Cis-heptachlorepoxide(0.11)<0.083 - <0.340.397 (0.38)<0.22 – 0.75
Trans-heptachlorepoxide <0.17 - <0.68 <0.33 - <1.2
Octachlorostyrene0.056<0.028 - <0.110.328 (0.13)<0.068 – 4.4
o,p'-DDT <0.056 - <0.230.689 (0.54)<0.11 - <0.46
p,p'-DDT0.135 (0.12)<0.057 – 0.280.518 (0.31)<0.15 – 1.7
o,p'-DDE <0.056 - <0.230.245 (0.24)<0.14 - 0.44
p,p'-DDE1.87 (1.2)0.21 – 7.813.9 (5.4)<0.26 – 68 (1<LOQ)
o,p'-DDD <0.056 - <0.23(0.24)<0.14 - <0.39 (7 ≥ LOQ)
p,p'-DDD0.259 (0.21)<0.057 – 1.21.78 (0.58)<0.14 – 9.4
Sum DDT (UB)*2.86 (2.1)0.58 – 1018.7 (8.4)1.3 - 89
Toxaphene parlar 26(0.38)<0.28 - <1.11.62 (1.3)<0.68 – 4.0
Toxaphene parlar 50(0.43)<0.28 - <1.12.04 (1.3)<0.68 – 7.2
Toxaphene parlar 62 <0.56 - <2.3 <1.1 – <3.9
Sum toxaphene (UB)(1.5)<1.1 – 4.55.96 (5.0)2.7 - 13
Cis-chlordane0.119 (0.089)<0.056 – 0.260.369 (0.26)<0.14 – 0.95
Trans-chlordane <0.056 - <0.23 <0.11 – <0.39
Oxy-chlordane <0.28 - <1.11.2<0.54 – <1.9

 

*DDT-equivalent sum


Ellers er det lite data på PBDE i lever av fetere fiskeslag. Havforskningsinstituttet har en lengre tidsserie på PBDE i lever av ulike fiskeslag fra miljøovervåkning i ulike havområder, samlet i en rapport fra 2016 (Boitsov m.fl. 2016). Her rapporteres summen av 15 PBDE, som ikke er helt sammenlignbart med våre PBDE7 eller enkeltkongenere som PBDE 47. Gjennomsnittlig konsentrasjon av sum 15 PBDE i lever av sild fra to stasjoner i Nordsjøen i 2013 var 1,0 og 1,3 µg/kg våtvekt, og i lever av makrell 1,1 og 2,4 µg/kg. Data på PBDE i lever av rødspette mangler også i disse dataene.

Rødspette hadde mye lavere konsentrasjoner av HBCD enn av PBDE både i filet og lever (Table 11) . Så mye som 45,5 % av filetprøvene og 76,5 % av leverprøvene hadde både alfa-, beta- og gamma-HBCD under LOQ, og høyeste konsentrasjon var på 0,090 µg/kg våtvekt i filet og 0,59 µg/kg i lever. Nivået av TBBP-A var under LOQ i 96,4 % av filetprøvene og alle leverprøvene, med høyeste målte verdi i filet på 0,11 µg/kg våtvekt. LOQ for TBBP-A er rundt ti ganger høyere enn for HBCD, og det er derfor vanskelig å si om konsentrasjonene av TBBP-A faktisk er høyere eller lavere enn HBCD. Det er per i dag lite data på HBCD og TBBP-A i norsk fisk å sammenligne med, og disse målingene har derfor gitt et klart bedre datagrunnlag for disse stoffene. Et færre antall leverprøver er analysert for HBCD og TBBP-A enn for PBDE, og det skyldes at det noen ganger var for lite levermateriale til alle analysene. Da var HBCD og TBBP-A blant analysene som ble prioritert bort. Når vi nå ser hvor stor del av leverprøvene som var under LOQ for disse stoffene, var det trolig en riktig prioritering.

De høyeste konsentrasjonene av PBDE (PBDE7 og PBDE 47) i filet ble målt i rødspette fra Vestfjorden (område 00), fulgt av område 05, og det så ut til å være en økning langs kysten fra lengst øst i Finnmark (område 03) til Lofoten (Figure 17). Prøvene fra område 00 og 05 ble alle tatt nær hverandre ved Lofoten, på innsiden (område 00) og på utsiden (område 05) (Figure 1).

Table 11. Overall concentrations (µg/kg wet weight) of brominated flame retardants, given as sum 7 PBDEs, sum HBCD (sum of α-, β- and γ-HBCD), TBBP-A, as well as PBDE 47, in composite samples of fillet and liver of plaice (Pleuronectes platessa) from the Norwegian coast and the North Sea. Results are given as mean ± standard deviation (SD), median, minimum and maximum, and quartiles (Q25 and Q75). The percentage of samples with levels below the limit of quantification (LOQ) is given.
Substance µg/kg wwOrganNMean ± SDMedianMin - MaxQ25Q75<LOQ
PBDE 47 Fillet540.116 ± 0.1110.0750.018 - 0.660.0430.15 
PBDE 7 (LB) Fillet540.154 ± 0.1360.110.028 - 0.810.0710.18 
PBDE 7 (UB) Fillet540.160 ± 0.1360.120.036 - 0.820.0790.19 
HBCD (LB) Fillet550.0067 ± 0.0140.00210 - 0.0900.006945.5%
HBCD (UB) Fillet550.0133 ± 0.0140.00890.0033 - 0.090.00460.018 
TBBP-A Fillet55 <0.025<0.02 – 0.11<0.02<0.04596.4%
PBDE 47 Liver530.765 ± 0.7760.440.087 - 3.10.270.86 
PBDE 7 (LB) Liver530.983 ± 0.9250.660.087 - 3.70.371.2 
PBDE 7 (UB) Liver531.21 ± 0.910.840.38 - 3.80.571.4 
HBCD (LB) Liver340.05 ± 0.13500 - 0.590076.5%
HBCD (UB) Liver340.148 ± 0.1270.0890.0085 - 0.590.0850.21 
TBBP-A Liver34 <0.49<0.033-<1.0<0.42<0.91100%

Lenger sør var nivåene i filet høyest langs kysten av Vestlandet (07, 28 og 08) og lavest på Sørlandet (område 09) og i Nordsjøen (område 41 og 42). I lever var det en økning i konsentrasjoner av PBDE fra Øst-Finnmark til Lofoten, og en tendens til nedgang sørover.

Omregnet til konsentrasjoner på fettvektbasis (µg/kg fettvekt), viste konsentrasjoner av PBDE7 i filet av rødspette det samme geografiske mønsteret som på våtvektbasis (Figure 17). I lever var det imidlertid ikke like tydelig geografisk variasjon når fettinnholdet var tatt høyde for som for våtvekts-konsentrasjonene. Disse variasjonene mellom område ligner mye på det som ble funnet for dioksiner og dioksinlignende PCB, og i likhet med for dioksiner og dioksinlignende PCB kan noe av den variasjonen vi ser være knyttet til fettinnhold, da rødspettene fra Lofoten var særlig fete. Men for PBDE i filet av rødspette ser det ut til at det er mer enn fettinnhold som har betydning for de observerte geografiske variasjonene (Figure 17).

Konsentrasjonene av HBCD var svært lave, men de høyeste konsentrasjonene ble målt i rødspette fra område 03 og 04 (ikke vist).

Figure 17 Concentrations (µg/kg lipid weight) of Sum PBDE7 (Sum of PBDE-28, 47, 99, 100, 153, 154 and 183) (µg/kg) in A,C) composite fillet samples and B,D) composite liver samples from plaice (Pleuronectes platessa) sampled in different statistics areas (Area no.) along the Norwegian coast (from north to south: areas 03 to 09) and in the North Sea (areas 41 and 42). Results are given on wet weight (ww) and fat weight (fw) basis. Mean (bars), median (black dots), minimum and maximum values are given. Please note that in A and B, the y-axes are different, while in C and D, the y-axes are the same.

 


3.1.5 - Perfluorerte alkylstoffer i rødspette

De aller fleste av de 55 analyserte samleprøvene av rødspettefilet var under LOQ for de aller fleste PFAS-forbindelsene (Table 12). PFOS var forbindelsen med flest målbare konsentrasjoner, med til sammen 12 prøver med konsentrasjoner over LOQ og høyeste målte konsentrasjon på 0,92 µg/kg våtvekt. Analysemetoden ble endret i løpet av prosjektet, slik at for mange av prøvene var LOQ på 1,8 µg/kg våtvekt, mens når LOQ var på 0,2 µg/kg hadde nesten alle prøvene PFOS-konsentrasjoner over LOQ. Dette viser at PFOS helt klart er til stede i betydelige konsentrasjoner, og at det er svært viktig å ha god nok analysemetode for å måle de reelle konsentrasjonene.

I lever av rødspette var det flere samleprøver med målbart nivå og høyere konsentrasjon enn i filet (Table 12). PFOS i rødspettelever hadde flest prøver over LOQ, hele 47 % av prøvene, og høyeste målte konsentrasjon var 17 µg/kg våtvekt. Forbindelsen med aller høyeste målte konsentrasjon var imidlertid PFBS, der to prøver hadde konsentrasjoner på 35 µg/kg våtvekt. For PFBS var imidlertid resten av prøvene under LOQ. Andre forbindelser med en eller flere leverprøver over LOQ var PFOSA, PFNA, PFDA, PFUdA og PFTrDA.

Table 12. Perfluorinated alkylated substances (PFAS; µg/kg wet weight) in composite samples of fillet and liver of plaice (Pleuronectes platessa) sampled along the Norwegian coast and in the North Sea. Results are given as concentration range (min-max). During the project period, there was a change in the analytical method, resulting in different LOQs for each substance, separated by “;”.
Substance Fillet (N = 55)Liver (N = 49)
(µg/kg wet weight)Min-maxMin-max
PFBS<1; <3<4.5; <5 – 35
PFHxS<1; <1.8<2.7; <3
PFOS<0.2 – 0.92; <1.8<3.0; <4.5 – 17
PFDS<0.2; <1.8<0.5; <2.7
PFOSA<0.5; <1.5<0.5 - 0.77; <2.7 – 3.0
PFBA<1 – 1.72; <2.1<3 –<10 *
PFHxA<0.5; <1.8<2; <4.5
PFHpA<0.2; <2.4<5; <6
PFOA<0.6; <2.4; <4<1.7; <7; <7.2
PFNA<0.2 – 0.21; <1.8<0.5 – 2.2; <4.5
PFDA<0.2; <1.2<0.5 – 0.93; <1.8
PFUdA<0.2 - 0.25; <2.7<0.5 – 0.81; <4.5
PFDoDA<0.2; <1.8<2; <7.2
PFTrDA<0.2; <3.6<0.5 – 0.62; <9.6
PFTeDA<0.2; <2.4<0.5; <9.6**
N-EtFOSA**<1; <1.5-
N-EtFOSE**<1-
N-MeFOSA**<0.5; <1-
N-MeFOSE**<0.5; <1.5-

*14 samples not analysed
** Only 14 samples analysed


Det finnes per i dag ikke grenseverdier for PFAS i mat, men EFSA har gitt en ny anbefaling om tolerabelt ukentlig inntak (tolerable weekly intake, TWI) for PFOS og PFOA på henholdsvis 13 og 6 ng/kg kroppsvekt (EFSA 2018). For PFOS er det mulig å beregne at et inntak av 200 g rødspettefilet med den høyeste målte konsentrasjonen vil bidra med 2,63 µg PFOS/kg kroppsvekt for en person på 70 kg. For PFOA har LOQ i størstedelen av prosjektperioden vært for høy til å kunne gjøre reelle inntaksberegninger. Det jobbes på HI med å forbedre analysemetodikken og LOQ har blitt lavere også for PFOA. Tilstrekkelig sensitiv analysemetodikk med lave nok LOQ'er vil være særlig viktig dersom TWI-verdiene implementeres i lovverket og fører til etablering av grenseverdier. 

Det kan også nevnes at EFSA har foreslått en ny TWI for summen av fire PFAS; PFOS, PFOA, PFNA og PFHxS, på 8 ng/kg kroppsvekt. Et utkast av denne "scientific opinion" har vært ute på høring, men er ennå ikke offisiell. 

3.2 - Breiflabb

De 315 breiflabbene som ble analysert varierte i lengde fra 21,5 til 129 cm og i vekt fra 153 g til 29,9 kg, med gjennomsnittlig lengde og vekt på henholdsvis 83,8 cm og 8,8 kg (Table 13). Av 246 breiflabb som ble kjønnsbestemt var 78,5 % hunner. Kondisjon gitt som k-faktor (100 x vekt/lengde3), levervekt og gonadevekt ble også målt i de fleste breiflabbene og er oppsummert i Table 13. Fettinnhold ble målt i samleprøver av filet og lever, og viste en variasjon fra 0,38 til 1,1 g/100 g i filet og fra 23 til 57 g/100 g i lever (Table 13). Med et gjennomsnittlig fettinnhold i filet på 0,83 g/100 g er breiflabb en typisk mager fisk som lagrer nesten alt fett i leveren. Størrelsen på breiflabben varierte mellom områdene, fra gjennomsnittlig lengde og vekt på henholdsvis 62,6 cm og 4,1 kg i åpent hav i Nordsjøen 

Figure 18 . A) Fish length (cm), B) weight (g) and C) k-factor (K = 100 x weight/length3) of anglerfish (Lophius piscatorius) sampled in different areas (statistics areas) of the Norwegian coast (from north to south: area no. 00 to 09) and in the North Sea. Mean ± 95% confidence intervals and median values are given.

(område 08, 28 og 42 i åpent hav slått sammen) til 92,5 cm og 10,8 kg i område 28 (ved kysten av Hordaland) (Figure 18). Ellers var størrelsene relativt like i de fleste områder, unntatt område 00 Vestfjorden og Nordsjøen, der fisken var relativt liten. Aller minst var breiflabben i Nordsjøen. Dette kan ha sammenheng med prøvetakingsmetoden. Mens fisken fisket langs kysten i stor grad var tatt av fiskere med breiflabbgarn, ble breiflabben ute i Nordsjøen tatt med trål på Havforskningsinstituttets tokt (IBTS – International bottom trawl survey). Her ble det tatt imot breiflabb av alle størrelser som kunne tas i trål, og lengden varierte fra bare 21,5 til 94,0 cm. Blant breiflabb som ble kjønnsbestemt, var hunnene betydelig større enn hannene (Figure 19). Dette var også tilfelle innenfor hvert område.

Table 13. Overall results for physical and biological parameters measured in anglerfish (Lophius piscatorius) sampled in Norwegian waters during 2016-2019 for analysis of contaminants. Results are given for fish length (cm), weight (g), k-factor (100 x weight/length3), liver weight (g) and sex (% female).
 Valid NMean ± SDMin - MaxQ25Q75
Fish length (cm) 31583.8 ± 16.921.5 - 12974.094.5
Fish weight (g) 3158768 ± 4411153 - 29900536011590
K-factor 3151.35 ± 0.210.99 – 2.61.221.45
Liver weight (g) 315387 ± 3456.0 - 2765175481
Gonad weight (g) 265104 ± 2041.2 - 242638.998.6
Fat content fillet (g/100 g) 370.825 ± 0.1660.38 – 1.10.770.93
Fat content liver (g/100 g) 3736.7 ± 7.823 - 573241
Sex (% female) 24678.5   

 

Figure 19. Fish length and B) fish weight of male and female anglerfish (Lophius piscatorius) sampled along the Norwegian coast and in the North Sea. Means ± 95% confidence intervals are given.

 

Figure 20. Fat contents (g/100 g) in A) fillet and B) liver of anglerfish (Lophius piscatorius) sampled in different areas (statistics areas) of the Norwegian coast (from north to south: area no. 00 to 09) and the North Sea. Mean (bars), median (black dots), minimum and maximum values (error bars) are given.

Kondisjon målt som k-faktor varierte fra et snitt på 1,29 i område 28 til 1,45 i område 06 (Figure 18c). Breiflabb fisket langs kysten av Vestlandet (områdene 07, 28 og 08) hadde generelt litt lavere k-faktor enn breiflabb fisket i de øvrige områdene. Det var ikke betydelig forskjell i k-faktor mellom hunner og hanner.

Fettinnhold i filet av breiflabb varierte mellom områdene fra et gjennomsnitt på 0,73 g/100 g i områdene 28 og 07 til 1,0 i område 08 (Figure 20). Fettinnholdet i breiflabbfilet varierte generelt forholdsvis lite, noe som er typisk for magre fiskeslag, men det var heller ikke veldig stor variasjon i fettinnholdet i leverprøvene. Siden leverprøvene var samleprøver, er det ikke uventet med relativt liten variasjon mellom prøvene. Det var ingen sammenheng mellom størrelse på fisken og fettinnhold i hverken filet eller lever, og heller ingen klare årstidsvariasjoner basert på de prøvene vi har analysert.

3.2.1 - Kadmium, bly, kvikksølv og arsen i breiflabb

Resultat av bestemmelse av en rekke ulike grunnstoff; sølv (Ag), arsen (As), kadmium (Cd), kobolt (Co), krom (Cr), kobber (Cu), jern (Fe), kvikksølv (Hg), mangan (Mn), molybden (Mo), nikkel (Ni), bly (Pb), selen (Se), vanadium (V) og sink (Zn) i filet og lever av breiflabb er gitt i Table 14. De fleste elementene har ikke grenseverdier for mattrygghet, og det er bare kadmium, bly, kvikksølv og arsen som vil bli kommentert ytterligere her.

Kadmium og bly

Konsentrasjonene av kadmium og bly i filet av breiflabb var svært lave, med henholdsvis 95,6 og 98,4 % av prøvene under bestemmelsesgrensene (LOQ) for de to stoffene (Table 14). Blynivået var også lavt i lever av breiflabb, med 37 av 38 prøver (97,4 %) under LOQ. Kadmiumnivået i lever av breiflabb viste et gjennomsnitt på 0,187 mg/kg våtvekt og en maksimumsverdi på 0,55 mg/kg. Dette var lavere enn i lever av rødspette, og gjennomsnittet er i samme området som tidligere målt i lever av arter som brosme og torsk (sjomatdata.hi.no). Det er ingen grenseverdier som gjelder tungmetaller i fiskelever.


Table 14. Elements in anglerfish (Lophius piscatorius) from Norwegian fishery areas. Concentrations (mg/kg wet weight) of 15 different elements in 315 individual fillet samples and 38 composite liver samples. Results are given as mean ± standard deviation (SD), minimum and maximum values, median and quartiles (Q25 and Q75). The percentage of samples with levels below the limit of quantification (LOQ) is shown. Where more than 50 % of samples are <LOQ, mean and SD are omitted.
ElementOrganNMean ± SD*MedianMin - MaxQ25Q75<LOQ (%)
AgFillet315 <0.002<0.001 - 0.0091<0.002<0.00295.6
 Liver380.184 ± 0.0640.180.073 - 0.320.130.22 
AsFillet31521.5 ± 12.4204.0 - 1151228 
 Liver386.15 ± 1.805.83.0 - 104.87.6 
CdFillet315 <0.0008<0.0005 - 0.0044<0.0008<0.000995.6
 Liver380.187 ± 0.1150.160.047 - 0.550.0940.26 
CoFillet315 <0.004<0.002 - 0.0064<0.004<0.00498.4
 Liver380.112 ± 0.0420.110.053 - 0.210.0800.14 
CrFillet315 <0.004<0.003 - 0.44<0.0040.006065.4
 Liver38 <0.02<0.01 - 0.12<0.02<0.0292.1
CuFillet3150.108 ± 0.0420.100.051 - 0.500.0870.12 
 Liver385.51 ± 3.154.41.7 - 143.37.6 
FeFillet3150.877 ± 0.6250.750.33 – 9.10.600.98 
 Liver3820.7 ± 5.82111 - 361624 
HgFillet3150.269 ± 0.1790.220.019 - 1.00.150.340.32
 Liver380.374 ± 0.1790.360.083 - 0.750.240.48 
MnFillet3150.057 ± 0.0210.0540.023 - 0.180.0420.068 
 Liver380.475 ± 0.0960.470.30 - 0.770.400.53 
MoFillet315 <0.02<0.01 - 0.072<0.02<0.0299.0
 Liver380.094 ± 0.0150.090<0.07 - 0.130.0810.1028.9
NiFillet315 <0.05<0.03 - 1.1<0.05<0.0591.4
 Liver38 <0.2<0.1 - 0.42<0.2<0.397.4
PbFillet315 <0.004<0.003 - 0.0220.004<0.00498.4
 Liver38 <0.02<0.01 - 0.020<0.02<0.0297.4
SeFillet3150.327 ± 0.0650.320.19 - 0.690.290.36 
 Liver381.41 ± 0.241.40.98 - 2.11.21.5 
VFillet3150.0010 ± 0.00040.0009<0.0006 - 0.0043<0.00080.001049.5
 Liver380.049 ± 0.0200.0510.020 - 0.0990.0310.061 
ZnFillet3153.54 ± 0.403.52.1 – 5.03.33.8 
 Liver3815.7 ± 2.31512 - 211418 

Figure 21. Cd in composite liver samples of anglerfish (Lophius piscatorius) from different areas along the Norwegian coast (from north to south: area no. 00 to 09) and in the North Sea. Results are given as mean (orange bars), median (black dots), minimum and maximum values (error bars).

De høyeste kadmiumnivåene ble målt i lever av breiflabb prøvetatt langs kysten av Vestlandet i områdene 07 (Møre), og 28 (kysten av Hordaland), samt ute i Nordsjøen (Figure 21). De laveste nivåene ble målt i breiflabb prøvetatt lengst sør (område 09, Skagerrak), og lengst nord (område 06, sør i Nordland og 00, Vestfjorden). Det var imidlertid store variasjoner mellom samleprøvene, særlig i Nordsjøen.

Kvikksølv

Kvikksølvnivået i filetprøver av 315 breiflabb varierte fra 0,019 til 1,0 mg/kg våtvekt med et gjennomsnitt på 0,27 mg/kg (Table 14). Den høyeste verdien var på linje med grenseverdien på 1,0 mg/kg våtvekt som gjelder kvikksølv i en rekke store rovfiskarter som blant andre breiflabb og atlantisk kveite (EU 2018), men ingen breiflabb var over grenseverdien. Gjennomsnittsnivået var høyt sammenlignet med rødspette målt i denne undersøkelsen og sammenlignet med de fleste fiskearter i norske farvann, som torsk, sei, hyse med flere (sjomatdata.hi.no). Gjennomsnittsnivået er høyere enn i de fleste artene undersøkt i den store brosme-, lange- og bifangstundersøkelsen, bortsett fra brosme, blålange, havmus og hågjel (Frantzen og Maage 2016). Gjennomsnittsnivået var klart lavere enn hos brosme (0,34 mg/kg våtkvekt), og på nivå med eller høyere enn hos blåkveite (0,22 mg/kg våtvekt; Nilsen m.fl. 2010) og atlantisk kveite (0,21 mg/kg våtvekt; Nilsen m.fl. 2016). Siden breiflabb er en rovfisk som kan spise nokså stort bytte med den store kjeften, er det ikke uventet at den har såpass høye kvikksølvnivåer. I Middelhavet er det tidligere målt betydelig høyere nivåer av kvikksølv i breiflabb med gjennomsnitt på 0,85 mg/kg (Storelli m.fl. 2013) og 1,26 mg/kg våtvekt (Storelli og Marcotrigiano 2000). I Biscayabukta er det imidlertid funnet kvikksølvnivåer mer på nivå med våre funn (Chouvelon m.fl. 2014).

Gjennomsnittsnivået av kvikksølv i 38 samleprøver av breiflabblever var høyere enn nivået i filet, med 0,374 mg/kg våtvekt og et spenn fra 0,083 til 0,75 mg/kg. Gjennomsnittsnivået var nokså høyt sammenlignet med lever av de fleste fiskearter (sjomatdata.hi.no). Blant brosme, lange og bifangstartene var det bare blålange som hadde høyere gjennomsnittlig kvikksølvnivå i lever, med 1,0 mg/kg våtvekt (9 samleprøver; Frantzen og Maage 2016)


Figure 22 Variation in mercury concentration (mg/kg wet weight) in A) fillet and B) liver of anglerfish (Lophius piscatorius) sampled in different areas along the Norwegian coast (from north to south: area no. 00 to 09) and in the North Sea. For fillet, mean ± 95% confidence interval and median are given. For liver, mean, minimum, maximum and median values are shown. The red line marks the EU and Norway’s maximum level set for Hg in fillet of anglerfish for human consumption, which does not apply to liver.

Gjennomsnittlig kvikksølvnivå både i filet og lever var høyest i område 08, med gjennomsnitt i filet og lever på henholdsvis 0,40 og 0,56 mg/kg våtvekt, og lavest i område 00 med gjennomsnitt på henholdsvis 0,098 og 0,15 mg/kg (Figure 22). Nivået så ut til å øke gradvis sørover fra Vestfjorden til Karmøy for så å avta fra område 08 sørover til Skagerrak og fra kysten og ut i Nordsjøen. Størrelse har stor betydning for kvikksølvnivå i fisk, og breiflabb fra område 00 og Nordsjøen hadde både lavt kvikksølvnivå og liten størrelse. Når størrelse ble tatt høyde for, hadde fortsatt breiflabb fra område 00 Vestfjorden lavere kvikksølvnivå i filet enn breiflabb fra de andre områdene (Figure 23). Breiflabb fra område 08 og 28 skilte seg ut med de høyeste nivåene uavhengig av størrelse, mens breiflabb fra område 07, 09 og Nordsjøen ikke hadde betydelig ulikt kvikksølvnivå.

I de fleste områdene var kvikksølvnivået i lever høyere enn i filet (Figure 22; Figure 24), til forskjell fra hos for eksempel brosme, der det i den store brosme, lange, bifangst-kartleggingen ble vist at det bare var i de mest forurensede områdene at kvikksølvnivået var høyere i lever enn i filet (Frantzen m.fl. 2016). Lever:filet ratioen for kvikksølv varierte blant samleprøvene fra 0,88 til 2,7, men gjennomsnitt og median var nokså lik, rundt eller like under 1,5, i alle områdene (Figure 24). Til sammenligning var median lever:filet ratio hos brosme 0,61, og hos de aller fleste artene var lever:filet ratioen for kvikksølv under 1,0. At lever:filet ratio er såpass høy i breiflabb tyder på at en forholdsvis stor andel av kvikksølvet i breiflabben blir lagret i leveren, kanskje som en avgiftningsmekanisme. Dette kan i så fall være en forklaring på at breiflabb ikke har enda høyere kvikksølvnivåer enn det de faktisk har i fileten, på tross av at dette er stor fisk høyt i næringskjeden. En jevn lever:filet ratio i breiflabb mellom de ulike områdene, uavhengig av kvikksølvnivå, tyder på at for breiflabb er lever:filet ratio ikke en egnet indikator for kvikksølvforurensning.


Figure 23. Mercury concentration in fillet of anglerfish (Lophius piscatorius) in different fish length intervals and categorised by statistics area. The different areas are given different colours and symbols. Mean values are shown.

 

Figure 24. Variation in Hg liver:fillet ratio (Hg liver/Hg fillet) of anglerfish (Lophius piscatorius) sampled in different areas along the Norwegian coast (from north to south: area no. 00 to 09) and in the North Sea. Mean, minimum, maximum and median values are shown. The ratios are calculated based on measured Hg values in composite liver samples and mean values of the Hg concentrations in corresponding individual fillet samples.

 

Arsen

Gjennomsnittlig konsentrasjon av arsen i filet og lever av breiflabb var henholdsvis 21,4 og 6,15 mg/kg våtvekt, med de høyeste verdiene henholdsvis 115 og 10 mg/kg våtvekt (Table 14). Dermed var altså gjennomsnittsnivået i filet av breiflabb bare litt lavere enn i filet av rødspette, og betydelig høyere enn nivåene vi tidligere har målt i arter som torsk, brosme, hyse og sei (sjomatdata.hi.no). Det målte nivået i lever av breiflabb var betydelig lavere enn det vi fant i lever av rødspette, litt høyere enn i brosmelever, litt lavere enn i lever av torsk og hyse og på nivå med seilever (sjomatdata.hi.no). I likhet med rødspette er breiflabb en fisk med sterk tilknytning til bunnen, og fisk som lever i tilknytning til bunnen ser ut til å ha generelt høyere nivåer av arsen enn pelagisk fisk (Neff 1997), men årsaken til dette er ikke fullt ut forstått.

Gjennomsnittlig arsennivå både i filet og lever av breiflabb var høyest i område 09 Skagerrak med henholdsvis 31 og 8,5 mg/kg våtvekt, og lavest i Nordsjøen med snitt på 13 og 4,0 mg/kg våtvekt (Figure 25). Arsennivået i filet var omtrent det samme i område 00 og i Nordsjøen. I Skagerrak var det to svært store breiflabb som trakk opp gjennomsnittet veldig, og medianverdien for As i filet i Skagerrak var bare 25 mg/kg, det samme som i område 07. Arsen tas opp gjennom maten, og de geografiske variasjonene kan skyldes hva fisken har spist i de ulike områdene. For breiflabb var det ingen sammenheng mellom fettinnhold og arsennivå.

Arsen i fisk er i all hovedsak i form av arsenobetain, en ikke-giftig forbindelse. Den giftigste formen av arsen er uorganisk arsen (EFSA 2009). I 2009-2010 ble innholdet av totalarsen og uorganisk arsen målt i en rekke norske fiskearter, og det ble funnet svært lave nivåer av uorganisk arsen selv når nivået av totalarsen var svært høyt (Julshamn m.fl. 2012a). Breiflabb og rødspette var ikke blant artene som ble analysert der, men det er rimelig å gå ut fra at også disse fiskeartene har lite uorganisk arsen. Likevel kan det være et behov for å analysere noen prøver av disse artene for uorganisk arsen for å dokumentere de lave nivåene, da slik dokumentasjon i noen tilfeller blir etterlyst ved eksport av fisk.

 

Figure 25. Variation in As concentration (mg/kg wet weight) in A) fillet and B) liver of anglerfish (Lophius piscatorius) sampled in different areas along the Norwegian coast (from north to south: area no. 00 to 09) and in the North Sea. For fillet, mean ± 95% confidence interval and median values are given. For liver, mean, minimum, maximum and median values are shown.

3.2.2 - Dioksiner og PCB i breiflabb

Nivåene i breiflabb av de persistente organiske miljøgiftene dioksiner (PCDD), furaner (PCDF) og dioksinlignende PCB (mono-ortho PCB + non-ortho PCB = Sum dl-PCB), samt ikke-dioksinlignende PCB (PCB6) er vist i Table 15. Resultatene er gitt for 40 samleprøver av filet og 38 samleprøver av lever, og viser at konsentrasjonene i den magre fileten av breiflabb er mye lavere enn konsentrasjonene i lever. Gjennomsnittlig konsentrasjon av sum dioksiner og dioksinlignende PCB i henholdsvis filet og lever var 0,088 og 30,8 ng TE/kg våtvekt. Forskjellen skyldtes ikke bare ulikt fettinnhold i filet og lever, siden forskjellen mellom de to vevstypene også var stor på fettvektbasis.

Table 15. Persistent organic pollutants in anglerfish (Lophius piscatorius). Concentrations of sums of dioxins (PCDD), furans (PCDF), PCDD+PCDF, non-ortho PCBs, mono-ortho PCB, dl-PCBs, PCDD/F+dl-PCB (ng TEQ/kg wet weight) and non-dioxin like PCBs (PCB6, µg/kg wet weight) in composite samples of fillet and liver from Norwegian fishery areas. For PCDD/F+dl-PCB and PCB6 results are also given on fat weight basis. Results are given as mean ± standard deviation (SD), minimum and maximum values, median and quartiles (Q25 and Q75). Percentage of samples exceeding EU and Norway’s maximum levels (>ML) is given for sum PCDD/F + dl-PCB and sum PCB6. All sums are upperbound, i.e. concentrations < LOQ are set as equal to LOQ.
*ng TEQ/kg ww
**ng TEQ/kg fw
***µg/kg ww
****µg/kg fw
OrganNMean ± SDMedianMin - maxQ25Q75>ML1 (%)
PCDD*Fillet400.030 ± 0.0220.0290.012 - 0.150.0170.034 
PCDF*Fillet400.018 ± 0.0130.0130.0035 - 0.0580.0080.026 
PCDD+PCDF*Fillet400.047 ± 0.0310.0430.016 - 0.190.0270.061 
Non-ortho PCB*Fillet400.039 ± 0.0310.0260.011 - 0.160.0170.053 
Mono-ortho PCB*Fillet400.0016 ± 0.00080.00120.0007 - 0.0040.00090.0022 
Sum dl-PCB*Fillet400.040 ± 0.0320.0270.011 - 0.170.0180.054 
PCDD/F + dl-PCB*Fillet400.088 ± 0.0520.0700.033 - 0.240.0500.120
PCDD/F + dl-PCB fw**Fillet3710.7 ± 6.89.73.5 - 356.014 
PCB6 ***Fillet400.313 ± 0.2630.2340.084 - 1.50.140.420
PCB6 fw ****Fillet3738.7 ± 38.630.49.5 - 2301448 
PCDD*Liver384.03 ± 2.603.50.71 - 111.95.9 
PCDF*Liver385.46 ± 2.915.00.77 - 143.57.2 
PCDD+PCDF*Liver389.50 ± 5.428.01.5 - 245.713 
Non-ortho PCB*Liver3820.6 ± 10.0211.5 - 411327 
Mono-ortho PCB*Liver380.6953 ± 0.3600.630.10 - 1.40.410.93 
Sum dl-PCB*Liver3821.3 ± 10.3221.6 - 421328 
PCDD/F + dl-PCB*Liver3830.8 ± 14.9303.0 - 64204071
PCDD/F + dl-PCB fw **Liver3788.0 ± 41.78027 - 18052120 
PCB6 ***Liver38177 ± 10715520 - 4509227037
PCB6 fw****Liver37508 ± 307440133 - 1400260740 

1)  Maximum levels (ML) (EU and Norway):
PCDD+PCDF in fish fillet: 3.5 ng TEQ/kg wet weight
PCDD/F+dl-PCB in fish fillet: 6.5 ng TEQ/kg wet weight
PCDD/F +dl-PCB in fish liver: 20 ng TEQ/kg wet weight
PCB6 in fish fillet: 75 µg/kg wet weight
PCB6 in fish liver: 200 µg/kg wet weight


 

Figure 26 . Anglerfish (Lophius piscatorius). Scatterplot between fat contents (g/100 g) and concentrations of A,B) sum of dioxins and dioxin-like PCBs (PCDD/F+dl-PCBs, ng TEQ/kg wet weight) and C,D) sum of 6 non-dioxinlike PCBs (PCB6, µg/kg wet weight). Results are given for fillet (A,C) and for liver (B,D). Notice different scaling on the y-axes. Each point represents a composite sample. Results of Pearson’s linear correlation are shown, with significance level at p<0.05. Red horizontal lines mark maximum levels for PCDD/F+dl-PCB and PCB6 in liver.

 

Gjennomsnittlig konsentrasjon av sum dioksiner og dioksinlignende PCB i filet og lever på fettvektbasis var henholdsvis 10,7 og 88,0 ng TE/kg fettvekt (Table 15). For PCB6 var gjennomsnittskonsentrasjon i filet og lever på fettvektbasis henholdsvis 38,7 og 508 µg/kg fettvekt. Dette tyder på at dioksiner og PCB lagres aktivt i leveren hos breiflabb.

Det var ingen korrelasjon mellom konsentrasjon av dioksiner og dioksinlignende PCB eller PCB6 og fettinnhold i prøven, hverken for filet eller lever (Figure 26). Dette tyder på at det er andre faktorer enn fettinnhold som har betydning for nivået av disse stoffene i breiflabb. Det var derimot en god korrelasjon mellom nivåene av både dioksiner og dioksinlignende PCB og PCB6 i samleprøver av filet og lever og gjennomsnittlig lengde på fisken i samleprøvene (Figure 27). Dette bekrefter at disse persistente stoffene akkumuleres i breiflabb over tid.

De høyeste gjennomsnittskonsentrasjonene av dioksiner og dioksinlignende PCB og PCB6 i filet og lever av breiflabb ble målt i breiflabb fra område 08 (Kysten av Rogaland, nærmere bestemt ved Karmøy), med gjennomsnittlig sum dioksiner og dioksinlignende PCB i lever og filet på henholdsvis 0,13 og 46 ng TE/kg våtvekt (Figure 28). Snittkonsentrasjonene av PCB6 i henholdsvis filet og lever av breiflabb fra dette området var 0,55 og 305 µg/kg våtvekt. I lever var gjennomsnittskonsentrasjonene av dioksiner og dioksinlignende PCB over grenseverdien på 20 ng TE/kg våtvekt langs nesten hele kysten fra Lurøy til og med Skagerrak (område 06, 07, 28, 08 og 09) (Figure 28B). For PCB6 var det bare i kystområdene sør for Stadt, område 28, 08 og 09, at gjennomsnittskonsentrasjonene i lever var over grenseverdien på 200 µg/kg våtvekt (Figure 28D).

 

Figure 27. Scatterplot between fish length (cm) and A, B) sum of dioxins and dioxin-like PCBs (PCDD/F+dl-PCBs, ng TEQ/kg wet weight) and C, D) sum of 6 non-dioxinlike PCBs (PCB6, µg/kg wet weight) in fillet (A,C) and liver (B,D) of anglerfish (Lophius piscatorius). Each point represents concentration of the contaminant in one composite sample and mean fish length of the fish included in each composite sample. Notice different scaling on the y-axes. Results of Pearson’s linear correlation are shown, with significance level at p<0.05. Red horizontal lines mark maximum levels for PCDD/F+dl-PCB and PCB6 in liver.

 

Figure 28. Concentrations of A, B) sum dioxins and dioxin-like PCB (PCDD/F+dl-PCB, ng TEQ/kg wet weight) and C, D) sum of 6 non-dioxinlike PCBs (PCB6, µg/kg wet weight) in anglerfish (Lophius piscatorius) from different areas along the Norwegian coast (from north to south: area no. 00 to 09) and in the North Sea. Results are given for composite samples of fillet (A,C) and liver (B,D). Notice different scaling on the y-axes. Columns and error bars indicate mean, minimum and maximum values, and black dots mark median values. Red horizontal lines mark maximum levels for PCDD/F+dl-PCB and PCB6 in liver.

 

3.2.3 - Klorerte pesticider i breiflabb

Fileten av breiflabb hadde stort sett svært lave nivåer av klorerte plantevernmidler, så lave at de aller fleste prøver og stoffer var under bestemmelsesgrensene (<LOQ) (Table 16). Dette er fettløselige stoffer, og siden filet av breiflabb er så mager er det lite av disse stoffene som lagres her.

Lever av breiflabb hadde imidlertid høyere konsentrasjoner av klorerte plantevernmidler, med målbare nivåer av mange av stoffene i de fleste prøvene (Table 16). Stoffene eller stoffgruppene som var målbare i mer enn halvparten av prøvene var heksaklorbenzen (HCB), DDT og dets metabolitter, dieldrin, toksafen, mirex, klordaner, trans-nonaklor, cis-heptakloroksid og oktaklorstyren. Av disse var det p,p’-DDE som viste høyest konsentrasjon, med gjennomsnitt på 72 µg/kg våtvekt, fulgt av trans-nonaklor med snitt på 17,6 µg/kg, toksafen parlar 50 med 13,2 µg/kg og HCB med 12,1 µg/kg våtvekt. Konsentrasjonene av sum DDT og sum toksafen hadde gjennomsnitt på henholdsvis 102 og 25,5 µg/kg våtvekt.

Konsentrasjonen av p,p’-DDE, som er et nedbrytningsprodukt av DDT, var mer enn 10 ganger høyere i lever enn konsentrasjonen av p,p’-DDT. Dette tyder på at nivåene skyldes gamle utslipp av DDT som i stor grad har rukket å bli nedbrutt til DDE. At DDT-metabolitten p,p’-DDE viser såpass høye konsentrasjoner i lever av breiflabb nesten 50 år etter at DDT ble forbudt å bruke i Norge i 1970, er tankevekkende og er et tydelig eksempel på at persistente


   

Table 16. Concentrations of analysed chlorinated pesticides in 34 composite samples of fillet and liver of anglerfish (Lophius piscatorius) caught along the Norwegian coast and in the North Sea. For fillet, minimum and maximum values are given. For liver, mean, median, minimum and maximum values are given.

Substance (µg/kg wet weight)       
Fillet (N=34)
Min-max
Liver (N=34)
Mean (median)      
Min-max
Endosulfan I (α-endosulfan)<0.28 - <1.1 <0.70 – <1.7
Endosulfan II (β -endosulfan)<0.27 – <0.87 <0.56 – <1.4
Endosulfan sulphate <0.23 - <0.87 <0.56 – <1.4
Pentachlorobenzene <0.28 – <1.1 <0.79 – 2.0 (7 ≥ LOQ)
Hexachlorobenzene (HCB) <0.28 - <1.112.1 (12) <12 – 21
α--HCH<0.065 - <0.54 <0.20 – 0.41 (3 ≥ LOQ)
β-HCH<0.065 - <0.54 <0.20 – 0.25 (2 ≥ LOQ)
γ--HCH (Lindane)<0.065 - <0.54 <0.20 - <0.83
δ- HCH<0.065 - <0.54 <0.20 - <0.83
Aldrin <0.057 - <0.55 <0.14 - <0.33
Dieldrin <0.085 - <0.338.30 (7.8) 4.1 - 16
Endrin <0.17 – <0.65 <0.47 – 0.93 (5 ≥ LOQ)
Heptachlor <0.066 - <0.22 <0.14 - <0.33
Mirex <0.057 - <0.222.89 (2.7) 0.53 – 5.9
Trans-nonachlor <0.033 – 0.62 (11 LOQ)     17.6 (16) 3.9 - 45
Cis-heptachlorepoxide <0.085 - <0.331.32 (1.2) 0.66 – 2.8
Trans-heptachlorepoxide <0.17 - <0.65 <0.42 - <1.0
Octachlorstyrene <0.028 - <0.111.40 (1.3) 0.32 – 2.8
o,p'-DDT <0.057 - <0.220.689 (0.54) <0.20 - 2.6
p,p'-DDT <0.057 - <0.224.89 (4.3)0.82 - 12
o,p'-DDE <0.057 - <0.220.318 (0.27) <0.19 - 0.97 (17 < LOQ)
p,p'-DDE <0.18 – 1.6 72.0 (64) 13 - 140
o,p'-DDD <0.057 - <0.221.00 (0.90) <0.29 - 3.1
p,p'-DDD <0.057 - 0.21 (1 LOQ)9.28 (8.5) 2.2 - 21
Sum DDT (UB)* <LOQ102 (95) 19 - 190
Toxaphene parlar 26 <0.28 - <1.18.54 (7.3) 2.5 - 20
Toxaphene parlar 50 <0.28 - <1.113.2 (12) <0.94 - 36
Toxaphene parlar 62 <0.57 - <2.23.74 (2.8) <1.9 -12
Sum toxaphene (UB)  25.5 (23) 9.8 - 68
Cis-chlordane <0.057 - <0.226.04 (5.4) 1.2 - 14
Trans-chlordane <0.057 - <0.220.871 (0.80) 0.22 – 2.3
Oxy-chlordane <0.19 - <1.12.37 (2.1) <0.97 – 5.1
Sum chlordane (UB)**  9.20 (8.4)3.6 - 21

* DDT equivalent
** Chlordane equivalent


organiske miljøgifter blir værende lenge i miljøet. Plantevernmidler som tidligere ble brukt i store mengder kan være lagret i jordsmonnet og bli vasket ut i sjøen litt etter litt.

Hvordan de mest dominerende pesticidene (HCB, sum DDT, sum toxaphene og trans-nonaklor) varierte mellom områder er vist i Figure 29. De høyeste nivåene av DDT og trans-nonaklor ble målt i de samme områdene der det også var høyest konsentrasjoner av dioksiner og PCB, det vil si områdene 28, 08, 07, og 09.

Toksafen i lever viste høyest nivå i områdene 07 og 28, mens høyest gjennomsnittsnivå av HCB ble målt i breiflabblever fra område 07, 28 og 09. Det at mange av stoffene varierer mellom områder på lignende måte kan skyldes en kombinasjon av at de ulike stoffene har samme type opptaks- og eliminasjonsmekanismer (fettløselige) og at de samme geografiske områdene har forhøyede nivåer av de ulike stoffene i miljøet. Det kan skyldes høyere befolkningstetthet og dermed menneskelig påvirkning, og kanskje også mer landbruk der disse plantevernmidlene tidligere har vært benyttet. Det kan imidlertid også skyldes at ulike områder i ulik grad blir utsatt for langtransportert forurensning.

 

Figure 29. Concentrations (µg/kg wet weight) of four chlorinated pesticides; hexachlorobenzene (HCB), sum DDT (Upper bound DDT equivalent sum of DDEs, DDDs and DDTs), sum toxaphene (26 + 50 + 62) and trans-nonachlor, in composite liver samples of anglerfish (Lophius piscatorius), sampled in different statistics areas along the Norwegian coast (from north to south: area no. 00 to 09) and in the North Sea. Mean (bars), median (black dots), minimum and maximum values are given. No samples of anglerfish from area 06 were analysed for pesticides.

 


3.2.4 - Bromerte flammehemmere i breiflabb

Filet av breiflabb hadde lave konsentrasjoner av bromerte flammehemmere i filet (Table 17). Summen (upperbound, UB) av 7 PBDE (PBDE-28, 47, 99, 100, 153, 154 og 183) varierte fra 0,012 til 0,20 med et gjennomsnitt på 0,041 og en median på 0,028 µg/kg våtvekt. Dette var noe høyere enn i torsk fra Barentshavet Julshamn m.fl. 2013a. Sammenligner vi med brosme, lange og en rekke bifangstarter fra norske hav- og kystområder, har breiflabben samme nivå eller noe lavere enn det vi fant i brosme, lange og hyse (Frantzen og Maage 2016). Nivåene i filet av breiflabb er lavere enn det vi fant i steinbit, blålange, lyr, uer, hvitting og lysing. PBDE 47 var den mest dominerende PBDE-kongeneren, med en snittkonsentrasjon på 0,020 µg/kg våtvekt, det vil si rundt 50 % av sum PBDE7 (Table 17). PBDE 47 er den kongeneren som er vist gjennomgående å dominere i fisk fra norske havområder (Nøstbakken m.fl. 2018).

Konsentrasjonen av HBCD (sum av α-, β- og γ-HBCD) i filet av breiflabb varierte fra <LOQ til 0,053 µg/kg våtvekt med et gjennomsnitt (UB) på 0,023 µg/kg våtvekt. α-HBCD var den av kongenerne med høyest konsentrasjon, med et gjennomsnitt på 0,012 µg/kg våtvekt. Nivået av TBBP-A var under LOQ i alle filetprøvene. Det finnes lite data på HBCD og TBBP-A i norsk fisk til å sammenligne med, men nivået av HBCD i filet av breiflabb er betydelig lavere enn de artene som har blitt analysert og publisert i (Nøstbakken m.fl. 2018). Disse artene var i hovedsak fete fiskeslag som kveite, ål, sild og uer.

 

Table 17. Overall concentrations (µg/kg wet weight) of brominated flame retardants, given as sum 7 PBDEs, sum HBCD (sum of α-, β- and γ-HBCD), TBBP-A, as well as PBDE-47, in composite samples of fillet and liver of anglerfish (Lophius piscatorius) from the Norwegian coast and the North Sea. Results are given as mean ± standard deviation (SD), minimum and maximum values, median and quartiles (Q25 and Q75). The number of samples with levels below the limit of quantification (LOQ) is shown.

Substance
µg/kg ww

 

Organ  

Valid N

 Mean ± SD

 

Median

  Min-max

Q25

Q75

<LOQ

PBDE7* (LB)Fillet400.035 ± 0.033(0.021)0.007 - 0.170.0140.048 
PBDE7* (UB)Fillet400.041 ± 0.035(0.028)0.012 - 0.200.0200.052 
PBDE-47Fillet400.020 ± 0.021(0.012)0.004 - 0.120.0080.027 
Sum HBCD (LB)Fillet340.020 ± 0.016(0.015)0 - 0.0530.0050.034 
Sum HBCD (UB)Fillet340.023 ± 0.016(0.018)0.003 - 0.0530.0090.040 
TBBP-AFillet34  <0.014 - <0.095  All < LOQ
PBDE-7* (LB)Liver3814.5 ± 7.4(14)2.4 - 348.919 
PBDE7* (UB)Liver3814.6 ± 7.4(14)2.6 - 349.119 
PBDE-47Liver387.93 ± 3.96(7.6)1.0 - 154.510 
Sum HBCD (UB)Liver333.31 ± 1.78(3.6)0.76 - 9.11.94.3 
Sum HBCD (LB)Liver333.29 ± 1.79(3.5)0.73 - 9.11.74.3 
TBBP-ALiver330.26 ± 0.25(0.18)0.034 - 0.940.0460.44 

*PBDE7: Sum of PBDE-28, 47, 99, 100, 153, 154 and 183.


Som med de andre fettløselige organiske miljøgiftene var nivået av bromerte flammehemmere betydelig høyere i lever enn i filet (Table 17). Her var gjennomsnittskonsentrasjonen av PBDE7 (UB) 14,6 µg/kg våtvekt, med et spenn fra 2,6-34 µg/kg. Dette var høyere enn nivået i lever av torsk fra Barentshavet i basisundersøkelsen med snittkonsentrasjoner mellom 1,8 og 12,8 µg/kg våtvekt (Julshamn m.fl. 2013a). Lever av nordsjøtorsk hadde imidlertid gjennomsnittlig PBDE7 på hele 15,7 µg/kg våtvekt (Julshamn m.fl. 2013d). Nivået av PBDE7 i lever av breiflabb var ellers betydelig lavere enn lever av blant andre brosme og lange fra norske hav- og kystområder som hadde median sum PBDE7 på henholdsvis 20 og 27 µg/kg våtvekt (Frantzen og Maage 2016). Også i lever var det PBDE-47 som var den mest dominerende av enkeltkongenerne av PBDE, med et snitt på 7,93 µg/kg våtvekt (Table 17).

Konsentrasjonen av sum HBCD i lever hadde et gjennomsnitt (UB) på 3,31 µg/kg våtvekt, med et spenn fra 0,76 til 9,1 µg/kg (Table 17). I lever var α-HBCD den klart mest dominerende kongeneren av HBCD, med en snittkonsentrasjon på 3,25 µg/kg utgjorde den rundt 100 %. Nivåene av β- og γ-HBCD var under LOQ i de aller fleste prøvene. Konsentrasjonen av TBBP-A i lever varierte fra 0,034 til 0,94 µg/kg våtvekt, med et gjennomsnitt på 0,26 µg/kg. Nøstbakken m.fl. (2018) rapporterte snittkonsentrasjoner av HBCD på 9,4 og 1,9 i lever av henholdsvis sei og oppdrettstorsk. Nyere upubliserte resultater på HBCD i lever av torsk og sei viste nivåer nokså like det vi fant i breiflabblever i denne undersøkelsen, med gjennomsnittlig konsentrasjon av α-HBCD på henholdsvis 3,17 og 3,73 µg/kg våtvekt. Lever av brosme hadde noe høyere nivå, med gjennomsnittlig α-HBCD på 5,15 µg/kg våtvekt.

Gjennomsnittsnivået av PBDE7 og PBDE-47 i filet av breiflabb var høyest i områdene 06, 08, 28 og 07, mens i lever var nivået også høyt i område 09 (Figure 30). For HBCD i filet var det noe uventet høyest nivå av sum HBCD i breiflabb fra Nordsjøen, fulgt av område 28. I lever var nivået av sum HBCD og α-HBCD høyere i områdene 28, 08 og 09 enn i alle andre områder.

 

Figure 30. Concentrations (µg/kg wet weight) of brominated flame retardants; Sum PPBDE7 (Sum of PBDE-28, 47, 99, 100, 153, 154 and 183), PBDE-47, Sum HBCD (sum of α -, β -, and γ -HBCD) , and α -HBCD in A) composite fillet samples and B) composite liver samples from anglerfish (Lophius piscatorius) sampled in different statistics areas (Area no.) along the Norwegian coast (from north to south: area no. 00 to 09) and in the North Sea. Mean (bars), median (black dots), minimum and maximum values are given.

3.2.5 - Perfluorerte alkylstoffer i breiflabb

Filet av breiflabb hadde svært lave nivåer av perfluorerte alkylstoffer (PFAS) (Table 18). Nesten alle prøvene var under kvantifiseringsgrensen (LOQ) for de fleste stoffene, med to unntak. Perfluroktylsulfonat (PFOS) var over LOQ i to filetprøver av breiflabb fra Steigen (Område 00), men konsentrasjonene var lave, bare 0,29 og 0,35 µg/kg våtvekt. I løpet av prosjektperioden ble metoden endret slik at LOQ ble forandret, og for 19 av prøvene var LOQ for PFOS 1,8 µg/kg våtvekt og det var ikke mulig å si om nivået var høyere eller lavere enn det vi fant i Steigen.

I lever av breiflabb fant vi noe høyere nivåer av PFAS-forbindelser enn i filet, men her var også LOQ i stor grad høyere enn for filet, slik at mange prøver var under LOQ også for lever (Table 18). Også for lever var det en endring i LOQ i løpet av prosjektperioden, slik at resultatene forekommer med to ulike LOQ. For fiskelever fant vi noen flere målbare verdier (≥LOQ) enn det vi fant for filet. For PFOS var tre prøver over LOQ, og den høyeste hadde en konsentrasjon på 5,3 µg/kg våtvekt. Dette var en samleprøve av lever fra breiflabb tatt ved Mandal. For perfluoroktan sulfonsyre (PFOSA) var alle prøvene målbare etter at LOQ ble senket fra 2,7 til 0,5 µg/kg, og den høyeste målte konsentrasjonen var 3,3 µg/kg våtvekt, målt i en leverprøve av breiflabb fisket ved Karmøy. Andre PFAS-forbindelser med enkelte prøver over LOQ var PFBA, PFHxA, PFNA, PFDA, PFUdA, PFTrDA.

 

Table 18. Perfluorinated alkylated substances (PFAS; µg/kg wet weight) in composite samples of fillet and liver of anglerfish (Lophius piscatorius) sampled along the Norwegian coast and in the North Sea. Results are given as concentration range (min-max). During the project period, there was a change in the analytical method, resulting in different LOQs for each substance, separated by “;”.
Substance Fillet (N = 34)Liver (N = 33)
(µg/kg wet weight)          Min-maxMin-max
PFBS<1; <3<4.5; <5
PFHxS<1; <1.8<2.7; <3
PFOS<0.2 – 0.35; <1.8              <4.5 – 5.3; <3.0 – 3.4
PFDS<0.2; <1.8<0.5; <2.7
PFOSA<0.5; <1.5<2.7 – 3.3; 0.56 – 3.2        
PFBA*<1; <2.1<3 – 11.5; <10
PFHxA<0.5; <1.8<2 – 2.9; <4.5
PFHpA<0.2; <2.4<5; <6
PFOA<0.6; <2.4; <4<1.7; <7; <7.2
PFNA<0.2; <1.8<0.5 – 0.8; <4.5
PFDA<0.2; <1.2<0.5 – 0.53; <1.8
PFUdA<0.2; <2.7<0.5 – 0.86; <4.5
PFDoDA<0.2; <1.8<2; <7.2
PFTrDA<0.2; <3.6<0.5 – 0.78; <9.6
PFTeDA<0.2; <2.4<0.5; <9.6
N-EtFOSA**<1; <1.5-
N-EtFOSE**<1-
N-MeFOSA**<0.5; <1-
N-MeFOSE**<0.5; <1.5-

* Not analysed in 9 samples
** Only analysed in 15 fillet samples


3.3 - Lyr

Lyren som ble analysert (N = 296) varierte i vekt fra 0,9 til 6,7 kg, med et gjennomsnitt på 3,0 kg (Table 19). Gjennomsnittslengde var 66,7 cm med en variasjon fra 47,5 til 91,0 cm. Rundt halvparten, 52,3 % av 277 fisk som ble kjønnsbestemt, var hunner. Oversikt over flere biologiske parametere for den analyserte lyren, deriblant kondisjon gitt som k-faktor (100 x vekt/lengde3), levervekt, gonadevekt og fettinnhold i henholdsvis filet og lever er gitt i Table 19, og hvordan størrelse og kondisjon varierte mellom områder er vist i Figure 31.

Størrelsen på lyren varierte mellom områder som vist i Figure 31. Gjennomsnittlig lengde var forholdsvis jevn, mellom 60 og 70 cm de fleste steder. Unntaket var lyr tatt ute i Nordsjøen som hadde gjennomsnittslengde på 73,0 cm. Lyr tatt i område 07 (Møre) var de minste, med en snittstørrelse på 60,5 cm (Figure 31A). Vekten på fisken varierte mer, med gjennomsnitt fra 2,0 kg i område 07 til 3,9 kg i Nordsjøen (Figure 31B). I de øvrige områdene var snittvekten fra like under til like over 3 kg. Variasjon i størrelse mellom områder kan i alle fall delvis skyldes ulike fangstmetoder, men også vandringsmønster og årstid og hvor lyren befinner seg i ulike tider på året. Det var ingen forskjell i størrelse mellom hunner og hanner (Figure 32).

Kondisjon målt som k-faktor varierte i gjennomsnitt fra 0,88 i område 07 til 1,08 i områdene 00 (Steigen) og 09 (Skagerrak) (Figure 31D). K-faktor påvirkes av hvor mye fisken har spist, men også grad av kjønnsmodning og mengde rogn har stor betydning. Siden lyren prøvetatt i denne studien ble fisket til ulik tid på året i de ulike områdene, kan noe av den geografiske variasjonen i kondisjon skyldes årstidsvariasjon i mattilgang og gyting. Lyr gyter i mars-april (hi.no/hi/temasider/arter/lyr).

Leverindeks, det vil si andelen lever av fiskens totalvekt, kan være et annet mål på kondisjon/ernæringsstatus hos mager fisk som lagrer overskuddsfett i leveren. Denne varierte helt ulikt k-faktoren, med klart høyest leverindeks i lyr fra Skagerrak (Figur 31C).

 

Table 19. Overall results for physical and biological parameters measured in pollack (Pollachius pollachius) sampled in Norwegian waters during 2016-2019 for analysis of contaminants. Results are given for fish length (cm), weight (g), k-factor (100 x weight/length3), liver weight (g) and sex (% female).
 N            Mean ± SD      Median       Min - Max        Q25       Q75
Fish length (cm) 29666.7 ± 7.866.547.5 - 91.061.071.5
Fish weight (g) 2963042 ± 11432790921 - 668721873789
K-factor 296         0.985 ± 0.1320.970.49 - 1.40.891.1
Liver weight (g) 293137.3 ± 91.11179.8 - 59671.6182
Gonad weight (g) 29469.8 ± 95.731.70.29 - 51214.172.2
Fat content fillet (g/100 g)           360.884 ± 0.1080.900.58 - 1.10.860.95
Fat content liver (g/100 g) 3664.6 ± 8.26645 - 805970
Sex (% female) 27752.3    

Figure 31. A) Fish length (cm), B) weight (g), and C) k-factor (K = 100 x weight/length3) an D) liver index (100 x Liver weight/fish weight) of pollack (Pollachius pollachius) sampled in different areas (statistics areas) of the Norwegian coast (from north to south; area 00 to 09) and in the North Sea. Mean ± 95% confidence intervals are given, as well as median values (black dots).

 

Figure 32. A) Fish length and B) fish weight of male and female pollack (Pollachius pollachius) sampled along the Norwegian coast and in the North Sea. Means, medians and 95% confidence intervals are given.

 

Figure 33. Fat content (g/100 g) in composite samples of A) fillet and B) liver of pollack (Pollachius pollachius) sampled in different areas of the Norwegian coast (from north to south; area 00 to 09) and in the North Sea. Mean, minimum, maximum and median values are given.

Gjennomsnittlig fettinnhold i filet varierte mellom områdene fra 0,78 g/100 g i område 28 til 1,0 g/100 g i område 09, og totalt gjennomsnitt var 0,88 mg/kg (Figure 33; Table 19). Dette er fettinnhold typisk for magre fiskearter deriblant lyr og annen torskefisk som torsk, sei, hyse, brosme og lange (sjomatdata.hi.no). Disse artene lagrer fettet i leveren, noe som gjenspeiles i et relativt høyt fettinnhold i leveren (Table 19). Lever av lyr hadde gjennomsnittlig fettinnhold (median) på 64,6 (66) g/100 g med en variasjon blant samleprøvene fra 45 til 80 g/100 g. Det var relativt små variasjoner i fettinnhold i lever mellom områdene (Figure 33). I de fleste områdene varierte medianen mellom 66 og 71 g/100 g, bortsett fra i Nordsjøen, der den var lavere med bare 58 g/100 g. Det var særlig lyr prøvetatt i område 42 vest av Foula som trakk ned gjennomsnittlig fettinnhold for Nordsjøen, siden disse hadde et gjennomsnitt (og median) på bare 48 g/100 g. Det lave fettinnholdet i disse prøvene kan skyldes årstid og gytesyklus, da de ble prøvetatt i juni, som er etter gyting og trolig før fettlagrene har blitt fullt gjenoppbygget.

3.3.1 - Kadmium, bly, kvikksølv og arsen i lyr

Resultat av bestemmelse av en rekke ulike grunnstoff; sølv (Ag), arsen (As), kadmium (Cd), kobolt (Co), krom (Cr), kobber (Cu), jern (Fe), kvikksølv (Hg), mangan (Mn), molybden (Mo), nikkel (Ni), bly (Pb), selen (Se), vanadium (V) og sink (Zn) i filet og lever av lyr er gitt i Table 20. De fleste elementene har ikke grenseverdier for mattrygghet, og det er bare kadmium, bly, kvikksølv og arsen som vil bli kommentert ytterligere her.

Kadmium og bly

Nivåene av kadmium og bly i filet av lyr var svært lave, med henholdsvis 83,1 og 95,3 % av de 296 analyserte prøvene under LOQ (Table 20). Blynivået var lavt også i lever, med alle prøvene under LOQ. Kadmiumnivået i lever var imidlertid høyere, med gjennomsnittskonsentrasjon 0,19 mg/kg våtvekt og variasjon blant enkeltfisk fra 0,055 til 0,60 mg/kg. Kadmium lagres typisk i organer som nyrer og lever hos fisk, og nivået målt i lever av lyr i denne undersøkelsen var på nivå med torsk fra Barentshavet og høyere enn torsk fra Nordsjøen og norskekysten (Julshamn m.fl. 2013b; Julshamn m.fl. 2013c). Nivået var lavere enn i seilever (sjomatdata.hi.no). Det er ikke satt grenseverdi som gjelder kadmium i fiskelever.

 


 

Table 20. Elements in pollack (Pollachius pollachius) from Norwegian fishery areas. Concentrations (mg/kg ww) of 15 different elements in 296 (271*) individual fillet samples and 36 composite liver samples. Results are given as mean ± standard deviation (SD), median, minimum and maximum values and quartiles (Q25 and Q75), and the percentage of samples with levels below the limit of quantification (LOQ) is shown. Where more than 50 % of samples are <LOQ, mean and SD are omitted.
       Organ       N          Mean ± SD**         Median     Min-MaxLowerUpper% <LOQ
AgFilet        271 <0.002<0.001 - 0.004<0.002<0.00298.5
 Lever360.062 ± 0.0320.0580.024 - 0.1500.0340.088 
AsFilet2964.05 ± 2.343.40.93 - 162.45.0 
 Lever366.42 ± 1.976.33.8 - 124.87.3 
CdFilet296 <0.001         <0.0008 - 0.007     <0.0009       <0.00183.1
 Lever360.188 ± 0.1380.130.055 - 0.600.110.22 
CoFilet271 <0.005<0.004 - <0.006<0.005<0.00599.6
 Lever36 <0.02<0.01 - 0.031<0.02<0.0280.6
CrFilet271 <0.005<0.004 - 0.89<0.0050.01256.1
 Lever36 <0.02<0.01 - 0.22<0.02<0.0275.0
CuFilet271             0.197 ± 0.0390.190.13 - 0.600.180.22 
 Lever362.49 ± 0.982.381.1 - 5.11.73.1 
FeFilet2711.27 ± 0.651.20.65 - 6.81.01.4 
 Lever3626.0 ± 12.2229.7 - 531634 
HgFilet2960.110 ± 0.0720.0910.021 - 0.400.0530.15 
 Lever360.033 ± 0.0250.0230.009 - 0.140.0150.046 
MnFilet2710.056 ± 0.0380.0480.019 - 0.440.0400.060 
 Lever360.518 ± 0.1340.510.31 - 0.790.400.60 
MoFilet271 <0.02<0.01 - 0.027<0.02<0.0299.3
 Lever360.086 ± 0.0160.084<0.07 - 0.130.0770.09141.7
NiFilet271 <0.06<0.04 - 0.14<0.06<0.0699.6
 Lever36 <0.2<0.1 - <0.3<0.2<0.3100
PbFilet296 <0.005<0.004 - 0.018<0.005<0.00595.3
 Lever36 <0.02<0.01 - <0.02<0.02<0.02100
SeFilet2960.328 ± 0.0540.320.19 - 0.500.290.36 
 Lever360.785 ± 0.1680.780.36 - 1.10.680.91 
VFilet271 <0.001<0.0008 - 0.026<0.0010.001356.1
 Lever360.0372 ± 0.03870.0270.007 - 0.230.0140.050 
ZnFilet2713.55 ± 0.433.52.6 - 7.93.33.7 
 Lever3624.6 ± 5.52314 - 372128 

* 25 fish were only analysed for As, Cd, Hg, Pb and Se.
** Mean and standard deviation (SD) were not determined in cases where more than 50% of the fish had concentrations below the LOQ.


 

Figure 34. Cd in composite liver samples of pollack (Pollachius pollachius) from different areas along the Norwegian coast (from north to south; area 00 to 09) and in the North Sea. Results are given as mean (bars), median (black dots), minimum and maximum values (error bars).

Kadmium i lever av lyr viste ingen klar geografisk trend (Figure 34). Gjennomsnittet var høyere i Nordsjøen, med et snitt på 0,32 mg/kg, enn langs norskekysten der gjennomsnittskonsentrasjonene varierte fra 0,12 til 0,20 mg/kg våtvekt. Det var imidlertid stor variasjon i Nordsjøen også, og det var lever av lyr fra område 42, Nordsjøen vest av Foula, som trakk opp snittet for Nordsjøen med et gjennomsnitt på hele 0,47 mg/kg våtvekt.

Kvikksølv

Kvikksølvkonsentrasjonen i filet av lyr varierte fra 0,021 til 0,40 mg/kg våtvekt, med et totalt gjennomsnitt på 0,11 mg/kg våtvekt (Table 20). Det betyr at ingen enkeltfisk var over grenseverdien for mattrygghet på 0,5 mg/kg våtvekt som gjelder i EU og Norge (EU 2018). Nivået er litt lavere enn det som ble målt i filet av 28 lyr fra ulike områder analysert i den store brosme-, lange- og bifangstundersøkelsen (Frantzen and Maage 2016). Sammenlignet med annen torskefisk var gjennomsnittsnivået av kvikksølv i filet av lyr på 0,11 mg/kg likt nivået målt i filet av torsk fra Nordsjøen og kysten (Julshamn m.fl. 2013c) og høyere enn i filet av torsk fra Barentshavet (Julshamn m.fl. 2013b). Kvikksølvnivået i lyr er betydelig lavere enn i arter som brosme (snitt 0,34 mg/kg) og lange (0,18 mg/kg; Frantzen og Maage 2016), atlantisk kveite (snitt 0,21 mg/kg; Nilsen m.fl. 2016) og blåkveite (snitt 0,22 mg/kg; Nilsen m.fl. 2010). På den annen side er nivået i filet av lyr høyere enn i sei både fra Norskehavet og Barentshavet (snitt 0,041 mg/kg; Nilsen m.fl. 2013b) og fra Nordsjøen (snitt 0,066 mg/kg; Nilsen m.fl. 2013a. Kvikksølvnivået i filet av lyr var også høyere enn i rødspette målt i denne undersøkelsen, men betydelig lavere enn i breiflabb.

Kvikksølvkonsentrasjonene i lever av lyr var betydelig lavere enn i filet (Table 20; Figure 35), med et gjennomsnitt på 0,033 mg/kg våtvekt og en variasjon fra 0,009 til 0,14 mg/kg. Nivået i lever var noenlunde i samme konsentrasjonsområde som i lever av hyse, sei og torsk og lavere enn i lever av brosme og lange (sjomatdata.hi.no). Kvikksølvnivået i lever var også lavere enn hos rødspette, og mye lavere enn hos breiflabb fra denne undersøkelsen.


Figure 35. Variation in Hg concentration (mg/kg wet weight) in A) individual fillet samples and B) composite liver samples of pollack (Pollachius pollachius) sampled in different areas along the Norwegian coast (from north to south; area 00 to 09) and in the North Sea during 2016-2019. For fillet, mean ± 95% confidence interval and median values (black dots) are given. For liver, mean, minimum, maximum and median values (black dots) are shown. The red line indicates the maximum level for Hg in fish for human consumption, not applying to liver.

De høyeste kvikksølvkonsentrasjonene i filet av lyr ble målt i lyr fra område 28 (Hordaland) og 09 (Mandal) (Figure 35A), og det var en gradient fra nord til sør med økende konsentrasjoner fra område 00 (Steigen) til område 28 og 09. Snittkonsentrasjonen ble nesten tredoblet fra 0,054 mg/kg våtvekt i Steigen til 0,15 mg/kg i Hordaland og Mandal. I åpent hav i Nordsjøen var nivået nesten som langs kysten av Hordaland og Mandal, med gjennomsnittlig kvikksølvkonsentrasjon på 0,13 mg/kg våtvekt. Kvikksølvkonsentrasjonene i lever viste en tilsvarende, men mye svakere geografisk trend (Figure 35B). Lyr fra Nordsjøen hadde høyest snittkonsentrasjon av kvikksølv i lever med 0,048 mg/kg våtvekt og høyeste målte verdi i en samleprøve med 0,14 mg/kg våtvekt.

Det at kvikksølv akkumuleres over tid slik at konsentrasjonene øker med økende alder og størrelse på fisken, er et velkjent fenomen, og det er viktig å ta høyde for variasjoner i størrelse når vi sammenligner kvikksølvnivå i fisk mellom områder. Når vi grupperer kvikksølvkonsentrasjonene i filet av lyr etter fiskens lengde, ser vi at for de fleste størrelsesgrupper var nivåene lavest i lyr fra område 00 og 06 og høyest i lyr fra område 28 og 09 (Figure 36). Lyr fra område 28 og 09 skilte seg også ut ved at kvikksølvnivået ikke økte med økende størrelse på fisken, men at noen av de høyeste konsentrasjonene faktisk ble målt i den minste fisken. Lyr fra område 07 hadde lave konsentrasjoner i de minste størrelsesgruppene, men for fisk over 60 cm var konsentrasjonene omtrent på nivå med fisk fra område 28 og 09. For lyr fra Nordsjøen var konsentrasjonene middels høye opp til rundt 75 cm, mens for større fisk var nivåene like høye eller høyere enn i område 28 og 09.


Figure 36. Mercury concentration in fillet of pollack (Pollachius pollachius) in different fish length intervals and categorised by statistics area. The different areas are given different colours and symbols. Mean values are shown.

 

Arsen

Gjennomsnittlig konsentrasjon av arsen i filet og lever av lyr var henholdsvis 4,05 og 6,42 mg/kg våtvekt (Table 20). Høyeste målte konsentrasjon var 16 mg/kg i filet og 12 mg/kg i lever. Det målte nivået i filet var omtrent det samme som vi fant i filet av 28 lyr fra ulike lokaliteter analysert i 2013-2015 (bifangst i «brosme-, lange- og bifangstundersøkelsen», Frantzen og Maage 2016). Nivået i filet er altså betydelig lavere i lyr enn i filet av både rødspette og breiflabb som hadde gjennomsnitt på henholdsvis 26,4 og 21,5 mg/kg våtvekt i denne undersøkelsen. Nivået av arsen er vist å variere mye innenfor en art, men generelt var nivået i lyr i samme område som i filet av torsk fra Nordsjøen og lavere enn i torsk fra Barentshavet (Julshamn m.fl. 2013cJulshamn m.fl. 2013c). Arsennivået i lyr er imidlertid høyere enn i sei og sild, der gjennomsnittsnivåene i Sjømatdata ligger på mellom 1,5 og 2,8 mg/kg våtvekt (sjomatdata.hi.no).

Arsennivået i lever av lyr var på nivå med lever av breiflabb og betydelig lavere enn lever av rødspette (denne rapporten). Lever av lyr hadde samme arsennivå som lever av torsk fra Nordsjøen (snitt 6,8 mg/kg; Julshamn m.fl. 2013c) og lavere enn lever av torsk fra Barentshavet (snitt 13 mg/kg; Julshamn m.fl. 2013b). En sammenligning i Sjømatdata viser at nivået i lever av lyr også er på nivå med lever av sei, i samme konsentrasjonsområde som brosmelever og lavere enn i hyselever (sjomatdata.hi.no).

Det var relativt små geografiske variasjoner i arsennivå for lyr, og ingen spesielle trender (Figure 37). For filet ble de høyeste nivåene målt i lyr fra de nordligste områdene (00 og 06) samt Skagerrak. For lever var det lyr fra område 06, nærmere bestemt Steigen, som skilte seg ut med relativt høye nivåer.

Arsen i fisk er i all hovedsak i form av arsenobetain, en ikke-giftig forbindelse. Den giftigste formen av arsen er uorganisk arsen (EFSA 2009). I 2009 ble innholdet av totalarsen og uorganisk arsen målt i en rekke norske fiskearter, og det ble funnet svært lave nivåer av uorganisk arsen selv når nivået av totalarsen var svært høyt (Julshamn m.fl. 2012a). Lyr var ikke blant artene som ble analysert der, men det er rimelig å gå ut fra at også lyr har lite uorganisk arsen. Likevel kan det være et behov for å analysere noen prøver av lyr for uorganisk arsen for å dokumentere de lave nivåene, da slik dokumentasjon i noen tilfeller blir etterlyst ved eksport av fisk.


Figure 37. Variation in arsenic concentration (mg/kg wet weight) in A) individual fillet samples and B) composite liver samples of pollack (Pollachius pollachius) sampled in different areas along the Norwegian coast (from north to south; area 00 to 09) and in the North Sea during 2016-2019. For fillet, mean ± 95% confidence interval and median values are given. For liver, mean, minimum, maximum and median values are shown.

 

3.3.2 - Dioksiner og PCB i lyr

Konsentrasjonene av dioksiner og PCB var lave i samleprøver av filet av lyr (Table 21). Konsentrasjonen av sum dioksiner og dioksinlignende PCB (PCDD/F+dl-PCB) varierte fra 0,019 til 0,35 ng TE/kg våtvekt, med et gjennomsnitt på 0,076 ng TE/kg våtvekt. Konsentrasjonen av sum dioksiner og furaner (PCDD+PCDF) varierte fra 0,014 til 0,31 ng TE/kg våtvekt. Nivåene var altså langt under grenseverdiene for mattrygghet på henholdsvis 6,5 og 3,5 ng TE/kg som gjelder for disse summene i filet (EU 2018). Også nivået av PCB6 i filet var lavt. Med en gjennomsnittlig konsentrasjon på 0,18 µg/kg og høyeste verdi på 0,60 µg/kg våtvekt var PCB6 langt under grenseverdien på 75 µg/kg våtvekt.

Nivåene av dioksiner og dioksinlignende PCB i filet av lyr var i samme konsentrasjonsområde som i filet av andre magre fiskeslag, som torsk, sei, hyse, brosme og lange, mens PCB6 stort sett var lavere enn hos de fleste artene (sjomatdata.hi.no). Samtidig var nivåene av både dioksiner og dioksinlignende PCB og PCB6 klart lavere enn i fete fiskearter som atlantisk kveite, blåkveite, sild og makrell. Sammenlignet med rødspette og breiflabb undersøkt her, hadde lyr omtrent samme nivå av dioksiner og dioksinlignende PCB som breiflabb og betydelig lavere enn rødspette. PCB6 i filet var også noe lavere i lyr enn i breiflabb og betydelig lavere enn i rødspette.

Lever av lyr hadde langt høyere konsentrasjoner av dioksiner og PCB enn filet (Table 21). Gjennomsnittlige konsentrasjoner av sum dioksiner og dioksinlignende PCB og sum dioksiner og furaner i samleprøvene av lever var henholdsvis 20,8 og 2,77 ng TE/kg våtvekt. Det vil si at gjennomsnittskonsentrasjonen for sum dioksiner og dioksinlignende PCB var såvidt over grenseverdien som gjelder denne summen i fiskelever på 20 ng TE/kg våtvekt. Medianverdien på 19 ng TE/kg var like under grenseverdien, og 16 av de 36 samleprøvene var over (Table 21). Gjennomsnittskonsentrasjonen av sum PCB6 i lever av lyr var 151 µg/kg våtvekt, med en variasjon fra 41 til 395 µg/kg. Åtte prøver var over grenseverdien på 200 µg/kg våtvekt som gjelder PCB6 i fiskelever, men både gjennomsnitt og median var godt under grenseverdien. Dette stemmer med det vi har sett før, at grenseverdien for PCB6 er mindre streng enn grenseverdien for dioksiner og dioksinlignende PCB. Det betyr at dersom en leverprøve bare blir analysert for PCB6, kan man risikere at den passerer som lovlig, selv om den skulle ha et ulovlig høyt nivå av dioksiner og dioksinlignende PCB.

Gjennomsnittlig konsentrasjon av dioksiner og dioksinlignende PCB i lever av lyr på 20,8 ng TE/kg og PCB6 på 151

 

Table 21. Dioxins and PCBs in pollack (Pollachius pollachius). Concentrations of sums of dioxins (PCDD), furans (PCDF), PCDD + PCDF, non-ortho PCBs, mono-ortho PCB, dl-PCBs, PCDD/F+dl-PCB (ng TEQ/kg wet weight) and non-dioxin like PCBs (PCB6, µg/kg wet weight) in composite samples of fillet and liver from Norwegian fishery areas. For PCDD/F+dl-PCB and PCB6 results are also given on fat weight basis (fw). Results are given as mean ± standard deviation (SD), minimum and maximum values, median and quartiles (Q25 and Q75). Number of samples exceeding EU and Norway’s maximum levels (>ML) is given for sum PCDD/F + dl-PCB and sum PCB6. All sums are upperbound, i.e. concentrations < LOQ are set as equal to LOQ. Numbers above maximum levels1 are shown in red.

*ng TEQ/kg ww
**ng TEQ/kg fw
***µg/kg ww
****µg/kg fw

OrganNMean ± SDMedianMin - MaxQ25Q75>ML*
PCDD Fillet360.0462 ± 0.04930.0330.011 - 0.240.0160.051 
PCDF Fillet360.0133 ± 0.01620.00750.0029 - 0.0780.00420.015 
Non-ortho PCB Fillet360.0153 ± 0.01200.0130.0016 - 0.0680.00740.018 
Mono-ortho PCB Fillet360.0015 ± 0.00090.00140.00067 - 0.00460.00090.0017 
PCDD+PCDF Fillet360.0595 ± 0.06510.0410.014 - 0.310.0200.0660
dl-PCB Fillet360.0169 ± 0.01280.0160.0024 - 0.0730.00850.020 
PCDD/F + dl-PCB Fillet360.0763 ± 0.07020.0510.019 - 0.350.0350.0930
PCDD/F+dl-PCB (fw) Fillet368.69 ± 7.475.91.8 - 364.312 
PCB6 Fillet360.178 ± 0.1400.150.035 - 0.600.0830.200
PCB6 (fw) Fillet3620.5 ± 15.7173.6 - 659.222 
PCDD Liver361.34 ± 0.691.20.54 - 4.70.971.5 
PCDF Liver361.44 ± 0.511.30.79 - 2.50.981.9 
Non-ortho PCB Liver3617.0 ± 8.6166.4 - 391020 
Mono-ortho PCB Liver361.09 ± 0.650.900.30 - 2.80.591.4 
PCDD+PCDF Liver362.77 ± 1.002.51.5 - 6.22.03.3 
dl-PCB Liver3618.1 ± 9.2166.7 - 421121 
PCDD/F + dl-PCB Liver3620.8 ± 10.0198.6 - 46132516
PCDD/F+dl-PCB (fw) Liver3634.1 ± 20.03111 - 881941 
PCB6 Liver36151 ± 9712241 - 395741958
PCB6 (fw) Liver36248 ± 18119454 - 754110307 

 1) Maximum levels (ML) (EU and Norway)
   PCDD+PCDF in fish fillet: 3.5 ng TEQ/kg wet weight
   PCDD/F+dl-PCB in fish fillet: 6.5 ng TEQ/kg wet weight
   PCDD/F +dl-PCB in fish liver: 20 ng TEQ/kg wet weight
   PCB6 in fish fillet: 75 µg/kg wet weight
   PCB6 in fish liver: 200 µg/kg wet weight

 


Figure 38. Concentrations of A, B) sum dioxins and dioxin-like PCB (PCDD/F+dl-PCB, ng TEQ/kg wet weight) and C, D) sum of 6 non-dioxinlike PCBs (PCB6, µg/kg wet weight) in pollack (Pollachius pollachius) from different fisheries statistics areas along the Norwegian coast (from north to south; area 00 to 09) and in the North Sea. Results are given for composite samples of fillet (A,C) and liver (B,D). Notice different scaling on the y-axes. Columns and error bars indicate mean, minimum and maximum values, and black dots mark median values. Red horizontal lines mark maximum levels for PCDD/F+dl-PCB and PCB6 in liver.

µg/kg var litt høyere eller på nivå med lever av torsk og sei (sjomatdata.hi.no), og lavere enn i lever av brosme og lange fra kysten, analysert i villfiskprogrammet 2013-2015 (Frantzen og Maage 2016). Nivåene var omtrent lik eller noe høyere enn hos hyse prøvetatt langs kysten i villfiskprogrammet.

Omregnet til fettvektbasis, var de gjennomsnittlige konsentrasjonene av sum dioksiner og dioksinlignende PCB i filet og lever henholdsvis 8,7 og 34 ng TE/kg fettvekt. Konsentrasjonene av PCB6 på fettvektbasis var 20,5 µg/kg fettvekt i filet og 248 µg/kg fettvekt i lever. Forskjellen mellom konsentrasjonene i filet og lever endret seg fra en faktor på 270 til 4 for sum dioksiner og dioksinlignende PCB og fra 850 til 12 for PCB6. Dette viser at mye av forskjellen mellom konsentrasjoner i filet og lever skyldes hvor fettet lagres, men det er også betydelig forskjell i fettvektkonsentrasjonene mellom filet og lever. Det kan tyde på at fordelingen mellom stoffene mellom filet og lever ikke bare skyldes det at stoffene passivt følger fettet. Noe av forskjellene kan også skyldes leverens funksjon som avgiftningsorgan.

Nivået av dioksiner og dioksinlignende PCB i filet var mye høyere i område 09 (Mandal) enn i alle de andre områdene (Figure 38). I område 09 var gjennomsnittlig konsentrasjon 0,23 ng TE/kg våtvekt, mens de fleste områdene hadde et gjennomsnitt på mellom 0,05 og 0,1 ng TE/kg. Område 00 (Steigen) hadde lavest konsentrasjon i filet, med et snitt på bare 0,029 ng TE/kg våtvekt. PCB6 viste ikke det samme geografiske mønsteret i filet som dioksiner og dl-PCB. For PCB6 var område 09 på linje med de fleste områdene, og det høyeste gjennomsnittsnivået av PCB6 ble målt i lyr fra område 28, og det laveste i område 06. Det var store variasjoner mellom prøver innenfor samme område, for eksempel ble de høyeste nivåene av PCB6 i enkelt-samleprøver funnet i prøver fra Steigen og fra Nordsjøen, begge prøvene med 0,6 µg/kg.

Også nivået av dioksiner og dioksinlignende PCB i lever viste et noe annet mønster enn dioksiner og dioksinlignende PCB i filet (Figure 38). I lever var det høyest gjennomsnittskonsentrasjon i lyr fra område 28 med 30 ng TE/kg våtvekt, mens område 09 kom som nummer to med et snitt på 24,5 ng TE/kg. Gjennomsnittsnivået var over grenseverdien for fiskelever i begge disse områdene, mens områdene 06 og Nordsjøen lå omtrent akkurat på grenseverdien. Som i filet, var nivået også i lever lavest i område 00 (Steigen), med et gjennomsnitt på 12,9 ng TE/kg. For PCB6 i lever av lyr var mønsteret likt som for dioksiner og dioksinlignende PCB i lever (Figure 38B, D), men her var bare gjennomsnittet for område 28 over grenseverdien på 200 µg/kg våtvekt som er satt for fiskelever.

 

3.3.3 - Klorerte pesticider i lyr

En oversikt over resultater for 30 klorerte pesticider i 36 samleprøver av filet og 30 samleprøver av lever av lyr er vist i Table 22. For filet hadde de aller fleste prøvene bare resultater under målegrensen (LOQ) for de aller fleste stoffene. To stoffer skilte seg ut med flere prøver med målbart resultat; p,p’-DDE og trans-nonaklor. Halvparten av prøvene hadde målbart nivå av p,p’-DDE og høyeste målte konsentrasjon var 0,89 µg/kg våtvekt. Ni av filetprøvene hadde målbart nivå av trans-nonaklor, og her var den høyeste målte verdien 0,22 µg/kg våtvekt. De ulike forbindelsene hadde ulik LOQ, og noen av forskjellene mellom forbindelsene i antall målbare resultater skyldes sannsynligvis forskjellene i LOQ mer enn de faktiske nivåene. Det er ikke satt grenseverdier for pesticider som gjelder fisk til humant konsum.

For lever av lyr var det langt flere samleprøver og stoffer som var over LOQ enn for filet (Table 22). Blant stoffene der størsteparten av prøvene hadde målbart nivå i lever, var HCB, DDT og dens metabolitter, dieldrin, toksafener, mirex, klordaner, trans-nonaklor, heptaklorepoksider og oktaklorstyren. Enkeltforbindelsen med høyest gjennomsnittskonsentrasjon var p,p’-DDE, med hele 61,7 µg/kg våtvekt og en maksverdi på 137 µg/kg. Konsentrasjonen av sum DDT varierte fra 16 til 208 µg/kg med et gjennomsnitt på 94,9 µg/kg våtvekt. Andre pesticider med relativt høye konsentrasjoner i lever var for eksempel Toksafen parlar 50 med gjennomsnittlig konsentrasjon på 18,5 µg/kg våtvekt. Summen av alle analyserte toksafener var i gjennomsnitt 31,9 µg/kg. HCB og trans-nonaklor hadde gjennomsnittskonsentrasjoner på henholdsvis 14,3 og 14,9 µg/kg våtvekt, og dieldrin 10,1 µg/kg.

Det var en viss geografisk variasjon i nivå av pesticider i lever av lyr, og Figure 39 viser denne variasjonen for HCB, sum DDT, sum toksafen og trans-nonaklor. HCB og toksafen varierte mellom områdene på veldig lik måte, med høyest gjennomsnittskonsentrasjon i Nordsjøen, lavest i område 09 og middels i områdene 00, 06 og 28. Trans-nonaklor viste delvis samme mønsteret, men her var nivået i område 28 høyere enn i Nordsjøen. Konsentrasjonen av sum DDT var også høyest i område 28, med et gjennomsnitt på hele 129 µg/kg våtvekt, tett fulgt av område 09 og Nordsjøen som hadde rundt 100 µg/kg. For sum DDT var de laveste konsentrasjonene lengst nord, i område 00 og 06. I hvert område var det imidlertid store variasjoner mellom samleprøvene.

 

3.3.4 - Bromerte flammehemmere i lyr

Konsentrasjonen av summen (UB) av 7 PBDE (PBDE-28, 47, 99, 100, 153, 154 og 183) i 36 samleprøver av filet av lyr varierte fra 0,0064 til 0,097 µg/kg våtvekt med et gjennomsnitt på 0,023 µg/kg og median på 0,018 µg/kg (Table 23). PBDE 47 var kongeneren som dominerte totalsummen, med et gjennomsnitt på 0,010 µg/kg og et spenn fra 0,0012 til 0,052 µg/kg våtvekt. Nivåene tilsvarer det som tidligere har vært målt i filet av andre magre fiskeslag som torsk og hyse (sjomatdata.hi.no), og var kanskje noe lavere enn hos brosme, lange, blålange og hvitting (Frantzen og Maage 2016). Nivåene i filet av lyr var klart lavere enn hos fete fiskearter som sild, makrell, atlantisk kveite og blåkveite. Både summen av 7 PBDE og PBDE 47 var noe lavere i filet av lyr enn i filet av breiflabb fra denne undersøkelsen (Table 17), og klart lavere enn i den litt fetere rødspetten (Table 11).


 

Table 22. Concentrations (µg/kg wet weight) of 30 chlorinated pesticides in 30 composite samples of fillet and liver of pollack (Pollachius pollachius) caught along the Norwegian coast and in the North Sea. For fillet, minimum and maximum values are given. For liver, mean, median, minimum and maximum values are given. Where more than 50% of samples are <LOQ, mean and median values are omitted.
Substance (µg/kg wet weight) Fillet (N=36)
Min-max
Liver (N=30)
Mean (median)
Min-max
 Endosulfan I (α-endosulfan) <0.11 - <1.1 <0.85 – <1.9
 Endosulfan II (β -endosulfan) <0.089 - <0.89 <0.68 – <1.5
Endosulfan sulphate <0.089 - <0.89 <0.68– <1.5
Pentachlorobenzene <0.11 – <1.1 <0.91 – 1.4 (9 ≥ LOQ)
Hexachlorobenzene (HCB) <0.11 - <1.114.3 (13)4.8 - 29
α--HCH<0.056 – <0.56 <0.43 – 0.78 (4 ≥ LOQ)
β-HCH<0.056 – <0.56 <0.42 – 0.64 (2 ≥ LOQ)
γ-HCH (Lindane)<0.056 – <0.56 <0.42 - <0.96
δ- HCH<0.056 – <0.56 <0.42 - <0.96
Aldrin <0.053 - <0.22 <0.17 - <0.39
Dieldrin <0.079 - <0.3410.1 (9.9)2.8 - 17
Endrin <0.16 – <0.67 <0.59 – 0.92 (7 ≥ LOQ)
Heptachlor <0.053 - <0.22 <0.17 - <0.39
Mirex <0.053 - <0.221.23 (0.99)0.34 - 2.5
Trans-nonachlor <0.029 – 0.22 (9 LOQ)14.9 (13)3.5 - 29
Cis-heptachlorepoxide <0.079 - <0.341.72 (1.7)0.55 - 3.1
Trans-heptachlorepoxide <0.16 - <0.67 <0.51 - <1.2
Octachlorstyrene <0.027 - <0.111.47 (13)0.32 – 3.0
o,p'-DDT <0.053 - <0.220.953 (0.78)<0.26 – 3.0
p,p'-DDT <0.053 - <0.229.29 (8.5)1.4 - 25
o,p'-DDE <0.053 - <0.220.359 (0.30)<0.19 - 0.88
p,p'-DDE <0.066 – 0.89 (15 LOQ)61.7 (52)10 - 137
o,p'-DDD <0.053 - <0.220.624 (0.56)<0.26 - 1.5
p,p'-DDD <0.058 - 0.2211.5 (9.0)2.4 - 28
Sum DDT (UB)*  94.9 (78)16 - 208
Toxaphene parlar 26 <0.27 - <1.19.38 (8.8)2.0 - 27
Toxaphene parlar 50 <0.27 - <1.118.5 (17)3.9 - 56
Toxaphene parlar 62 <0.53 - <2.24.02 (3.3)<2.0 - 9.9
Sum toxaphene (UB)  31.9 (29)8.5 - 93
Cis-chlordane <0.053 - <0.225.96 (5.6)1.4 - 11
Trans-chlordane <0.053 - <0.220.401 (0.38)<0.24 - 0.81
Oxy-chlordane <0.27 - <1.12.21 (1.9)<1.2 - 4.5
Sum Chlordane (UB)**  8.50 (7.7)2.9 - 15

* DDT equivalents
** Chlordane equivalents


 

Figure 39. Concentrations (µg/kg wet weight) of four chlorinated pesticides; hexachlorobenzene (HCB), Sum DDT, Sum toxaphene and trans-nonachlor in composite liver samples of pollack (Pollachius pollachius) sampled in different statistics areas (Area no.) along the Norwegian coast (from north to south; area 00 to 09) and in the North Sea. Mean (bars), median (black dots), minimum and maximum values are given. Notice that no pollack samples from area 07 were analysed for pesticides.

 

Også nivået av HBCD var lavt i filet av lyr, og UB summen av α-, β- og γ-HBCD hadde samme median som UB sum PBDE7  med 0,018 µg/kg våtvekt (Table 23). Den mest dominerende kongeneren av HBCD var α-HBCD, som hadde samme gjennomsnittlige konsentrasjon som PBDE 47. Det er svært lite data på HBCD i filet av norske fiskearter, men nivået i lyr var helt klart lavere enn i sild analysert i 2017 som hadde gjennomsnittsnivå på 0,30 µg/kg (sjomatdata.hi.no). Nivået av HBCD var ellers helt likt nivået målt i filet av breiflabb i denne undersøkelsen (Table 17), og høyere enn det som ble målt i filet av rødspette (Table 11), i motsetning til de andre fettløselige organiske miljøgiftene.

TBBP-A var under LOQ i 85 % av 33 samleprøver av filet av lyr som ble analysert for dette stoffet. De øvrige prøvene hadde konsentrasjoner opp til 1,7 µg/kg våtvekt, høyere enn noen andre enkeltforbindelser av bromerte flammehemmere som ble analysert.

Lever av lyr hadde betydelig høyere konsentrasjoner av både PBDE og HBCD sammenlignet med filet (Table 23). Gjennomsnittlig UB sum PBDE7 i lever var 15,3 µg/kg våtvekt og varierte fra 4,0 til 44 µg/kg. Konsentrasjonen av PBDE 47  utgjorde rundt halvparten og varierte mellom samleprøvene fra 2,1 til 25 µg/kg våtvekt. Nivået av PBDE i lever var forholdsvis høyt sammenlignet med det som er målt i lever av torsk, sei og hyse og litt lavt eller innenfor samme konsentrasjonsområde som i lever av brosme, lange og blålange (sjomatdata.hi.no).

Table 23. Overall concentrations (µg/kg wet weight) of brominated flame retardants, given as PBDE 47, Sum 7 PBDEs (PBDE7*), α -HBCD, sum HBCD (sum of α-, β-, and γ-HBCD) and TBBP-A, in composite samples of fillet and liver of pollack (Pollachius pollachius) from the Norwegian coast and the North Sea. Results are given as mean ± standard deviation (SD), minimum and maximum values, median and quartiles (Q25 and Q75). The percentage of samples with levels below the limit of quantification (LOQ) is shown.
Substance
µg/kg ww
OrganNMean ± SDMedianMin - MaxQ25Q75<LOQ
PBDE7* (LB) Fillet360.0160 ± 0.01810.0110 - 0.0920.00370.020 
PBDE7* (UB) Fillet360.0226 ± 0.01720.0180.0064 - 0.0970.0120.026 
PBDE 47 Fillet360.0099 ± 0.00980.0070.0012 - 0.0520.00470.012 
HBCD (LB)Fillet330.0117 ± 0.01280.0080 - 0.0450.00240.016

21%

HBCD (UB) Fillet330.0192 ± 0.01150.018<0.0051 - 0.0480.0120.022 
alfa-HBCDFillet330.0100 ± 0.00770.008<0.002 - 0.0450.00600.01321%
TBBP-A Fillet33 <0.038<0.017 - 1.7<0.021<0.09685%
PBDE7* (LB) Liver3615.1 ± 10.3133.8 - 447.518 
PBDE7* (UB) Liver3615.3 ± 10.3134.0 - 447.718 
PBDE 47 Liver368.80 ± 5.977.32.1 - 254.710 
HBCD (LB) Liver308.38 ± 5.397.51.9 - 225.010 
HBCD (UB) Liver308.39 ± 5.47.51.9 - 225.010 
alfa-HBCD Liver308.15 ± 5.437.31.8 - 224.99.4 
TBBP-A Liver30 <0.46<0.18 – 1.1<0.44<0.5093%

* PBDE7: Sum of PBDE-28, 47, 99, 100, 153, 154 and 183.

Figure 40. Concentrations (µg/kg wet weight) of brominated flame retardants; Sum PBDE7 (UB sum of PBDE-28, 47, 99, 100, 153, 154 and 183), PBDE-47, Sum HBCD (UB sum of α -, β -, and γ -HBCD), and α-HBCD in A) composite fillet samples and B) composite liver samples from pollack (Pollachius pollachius) sampled in different statistics areas (Area no.) along the Norwegian coast (from north to south; area 00 to 09) and in the North Sea. Mean (bars), median (black dots), minimum and maximum values are given.

Konsentrasjonen av sum HBCD i lever av lyr varierte mellom 1,9 og 22 µg/kg våtvekt med et snitt på 8,4 µg/kg (Table 23). Det er litt over halvparten av konsentrasjonen av sum PBDE7 i lever. Til sammenligning hadde lever av sei, analysert i 2017, lavere gjennomsnittlig konsentrasjon av sum HBCD med 3,84 µg/kg (sjomatdata.hi.no). Breiflabb fra denne undersøkelsen hadde et gjennomsnitt på 3,31 µg/kg (Table 17) og rødspette langt lavere konsentrasjoner med et UB-gjennomsnitt på 0,15 µg/kg (Table 11).

Nivået av TBBP-A i lever av lyr var så lavt at alle så nær som to av prøvene (93 %) var under LOQ (Table 23). Den høyeste konsentrasjonen var på 1,1 µg/kg våtvekt, som er lavere enn det høyeste som ble målt i filet.

3.3.5 - Perfluorerte alkylstoffer i lyr

Filet av lyr hadde svært få målbare konsentrasjoner av PFAS (Table 24). Noen få prøver av filet hadde målbare nivåer av PFOS, PFOSA, PFBA, PFUdA og PFTrDA. En prøve hadde PFBA på 1,1 µg/kg våtvekt, som var den høyeste konsentrasjonen av en enkelt PFAS i filet.

Det var ikke mange flere målbare konsentrasjoner av PFASer i lever av lyr, men her var LOQ høyere. Av stoffene som ble funnet i målbare konsentrasjoner i enkelte prøver var PFOSA, PFHxA og PFUdA. Den høyeste konsentrasjonen av ett enkelt stoff var PFHxA med 6,6 µg/kg våtvekt.

Table 24. Perfluorinated alkylated substances (PFAS; µg/kg wet weight) in composite samples of fillet and liver of pollack (Pollachius pollachius) sampled along the Norwegian coast and in the North Sea. Results are given as concentration range (min-max). During the project period, there was a change in the analytical method, resulting in different LOQs for each substance, separated by “;”.
Substance Fillet (N = 34)Liver (N = 33)
(µg/kg wet weight)Min-maxMin-max
PFBS<1; <3<4.5; <5
PFHxS<1; <1.8<2.7; <3
PFOS<0.2 – 0.44; <1.8<4.5; <3.0
PFDS<0.2; <1.8<0.5; <2.7
PFOSA<0.5 – 0.61; <1.5<0.5 – 3.4; <2.7
PFBA<1 – 1.1; <2.1<3; <10 *
PFHxA<0.5; <1.8<2 – 6.6; <4.5
PFHpA<0.2; <2.4<5; <6
PFOA<0.6; <2.4; <4<1.7; <7; <7.2
PFNA<0.2; <1.8<0.5; <4.5
PFDA<0.2; <1.2<0.5 <1.8
PFUdA<0.2 – 0.24; <2.7<0.5 – 1.1; <4.5
PFDoDA<0.2; <1.8<2; <7.2
PFTrDA<0.2 – 0.39; <3.6<0.5; <9.6
PFTeDA<0.2; <2.4<0.5; <9.6
N-EtFOSA**<1; <1.5-
N-EtFOSE**<1-
N-MeFOSA**<0.5; <1-
N-MeFOSE**<0.5; <1.5-

*3 samples not analysed
**24 samples analysed

 

 

4 - Konklusjoner

Nivåene av fremmedstoffer i filet av rødspette, breiflabb og lyr var stort sett lave, og ingen fisk hadde konsentrasjoner av kvikksølv, kadmium, bly, sum dioksiner, sum dioksiner og dioksinlignende PCB eller sum PCB6 i filet over grenseverdiene som gjelder for mattrygghet i Norge og EU. Lever av breiflabb og lyr hadde imidlertid konsentrasjoner av både dioksiner og dioksinlignende PCB og PCB6 over grenseverdiene som er satt for lever av fisk.

Filet av breiflabb hadde likevel relativt høyt gjennomsnittlig kvikksølvnivå, med 0,27 mg/kg våtvekt. Det var stor geografisk variasjon, med de høyeste snittkonsentrasjonene langs kysten av Vestlandet (område 08 og 28) på rundt 0,4 mg/kg våtvekt. Breiflabb, som er en rovfisk som kan bli veldig stor, er en av artene som har en særskilt høy grenseverdi på 1,0 mg/kg våtvekt.

Lyr hadde lavere konsentrasjoner av kvikksølv i filet enn breiflabb, og med en gjennomsnittskonsentrasjon på 0,11 mg/kg våtvekt var den helt på linje med torsk fra Nordsjøen. Også for lyr var det geografiske variasjoner, med de høyeste nivåene langs kysten av Vestlandet og Sørlandet, men selv her var kvikksølvnivåene under 0,2 mg/kg våtvekt.

Rødspette hadde lavest kvikksølvnivå av de undersøkte artene, med gjennomsnittlig konsentrasjon i filet på bare 0,057 mg/kg våtvekt og gjennomsnittsnivå under 0,1 mg/kg våtvekt i alle de undersøkte områdene.

Filet av breiflabb og rødspette hadde begge svært høye konsentrasjoner av arsen, med gjennomsnitt på henholdsvis 21,5 og 26,4 mg/kg våtvekt. Det antas at dette arsenet i all hovedsak består av arsenobetain, som er ikke-giftig, og at nivået av den giftigste formen, uorganisk arsen, er lavt. Det kan imidlertid være behov for å dokumentere nivåene av uorganisk arsen i disse artene, slik det tidligere er gjort for en rekke andre fiskearter (Julshamn m.fl. 2012a).

Filet av breiflabb er mager, og resultatene viste svært lave nivåer av organiske miljøgifter. Lever av breiflabb hadde på sin side forholdsvis høye nivåer av organiske miljøgifter, med en gjennomsnittlig konsentrasjon av dioksiner og dioksinlignende PCB på 30,8 ng TE/kg våtvekt, godt over grenseverdien på 20 ng TE/kg våtvekt som gjelder fiskelever. Med et gjennomsnitt på 177 µg/kg våtvekt var sum PCB6 i breiflabblever likevel under grenseverdien som gjelder PCB6 på 200 µg/kg våtvekt. Også for de organiske miljøgiftene var det geografiske forskjeller med de høyeste konsentrasjonene langs kysten av Vestlandet og Sørlandet.

Lyr hadde også lave nivåer av organiske miljøgifter i filet og relativt høye nivåer i leveren. Gjennomsnittlig konsentrasjon av sum dioksiner og dioksinlignende PCB i lever av lyr var på 20,8 ng TE/kg våtvekt som er like over grenseverdien på 20 ng TE/kg våtvekt. Nivåene var høyest langs kysten av Vestlandet (område 28) og Sørlandet og lavest i Vestfjorden og på Sunnmøre.

Rødspette er halvfet fisk, og hadde høyere nivåer av fett og organiske miljøgifter i fileten og lavere nivåer i leveren enn begge de to andre undersøkte artene. Konsentrasjonene av både sum dioksiner, sum dioksiner og dioksinlignende PCB og PCB6 i filet av rødspette var likevel langt under grenseverdiene på henholdsvis 3,5 ng TE/kg våtvekt, 6,5 ng TE/kg våtvekt og 75 µg/kg våtvekt som gjelder disse stoffene i filet av fisk. En enkelt samleprøve av lever var over grenseverdien for sum dioksiner og dioksinlignende PCB i lever, men denne ene var en «uteligger» som hadde mye høyere konsentrasjon enn alle de andre leverprøvene. For dioksiner og PCB i rødspette var de høyeste konsentrasjonene målt i fisk fra området rundt Lofoten, men disse forskjellene skyldtes i hovedsak høyere fettinnhold.

I denne undersøkelsen har vi også kartlagt nivåene av 30 klorerte pesticider, ulike bromerte flammehemmere (PBDE, HBCD og TBBP-A) samt en rekke perfluorerte stoffer (PFAS) i filet og lever av rødspette, breiflabb og lyr. For pesticider, HBCD og TBBP-A i fisk har vi forholdsvis lite data fra før. Nivåene av enkelte pesticider, særlig p,p’-DDE, var relativt høye i en del av leverprøvene. Nivåene av de fettløselige pesticidene og bromerte flammehemmerne varierte mye på samme måte mellom arter, organer og geografiske områder som dioksiner og PCB. PFAS var under målbart nivå i de aller fleste prøver, med noen få unntak som i hovedsak var leverprøver. For filet var det bare noen få prøver av disse artene med målbart nivå av enkelte PFAS, deriblant PFOS med opp til 0,92 µg/kg våtvekt i rødspette.

5 - Forkortelser

Ag – Sølv
As – Arsen
Cd – Kadmium
cm – centimeter
Co – Kobolt
Cr – Krom
Cu – Kobber
DDD - Diklordifenyldikloretan
DDE – Diklordifenyldikloreten
DDT – Diklordifenyltrikloretan
dl-PCB – Dioksinlignende PCB
EFSA – European Food Safety Authority
EU – European Union
FAO – Food and Agriculture Organization of the United Nations
Fe – Jern
fw – fat weight (fettvekt)
g – gram
GC-MSMS – Gasskromatografi-tandem massespektrometri
HBCD – Heksabromsyklododekan
HCB – Heksaklorbenzen
HCH – Heksaklorsykloheksan
Hg – Kvikksølv
HRGC-HRMS – Høyoppløsende gasskromatografi massespektrometri
IBTS – International Bottom Trawl Survey
ICES – International Council for the Exploration of the Sea-Det internasjonale havforskningsrådet
ICPMS – Induktivt koplet plasmamassespektrometri
ISO –Internasjonalt standardiseringsorgan
k-faktor – kondisjonsfaktor: 100 x vekt/lengde3
kg – kilogram
LB – Lowerbound: Ved konsentrasjoner under LOQ settes verdien lik 0
LC-MS/MS – Væskekromatografi-tandem massespektrometri
LOQ – kvantifiseringsgrense, bestemmelsesgrense
m. fl. – med fler
mg – milligram
µg – mikrogram
ML – maximum level – øvre grenseverdi
Mn – Mangan
Mo – Molybden
MU – måleusikkerhet
N-EtFOSA – N-etylperfluoroktansulfonamid
N-EtFOSE – N-etylperfluoroktansulfonamidoetanol
N-MeFOSA – N-metylperfluoroktansulfonamid
N-MeFOSE – N-metylperfluoroktansulfonamidoetanol
ng – nanogram
Ni – Nikkel
Pb – Bly
PBDE – Polybromerte difenyletere
PBDE7 – Sum av syv PBDE (PBDE-28, -47,-99, -100,- 153, -154 og -183)
PCB – Polyklorerte bifenyler
PCB6 – Sum av seks ikke-dioksinlignende PCB (PCB-28, -52, 101, -138, -153 og -180)
PCDD – Polyklorerte dibenzodioksiner
PCDF – Polyklorerte dibenzofuraner
PCDD/F – Sum av PCDD og PCDF
PCDD/F+dl-PCB – Sum av PCDD/F og dl-PCB
PFAS – Per- og polyfluorerte alkylstoffer
PFBA – Perfluorbutansyre
PFBS – Perfluorbutansulfonsyre
PFDA – Perfluordekansyre
PFDoDA – Perfluordodekansyre
PFDS – Perfluordekansulfonsyre
PFHpA – Perfluorheptansyre
PFHxA – Perfluorheksansyre
PFHxS – Perfluorheksansulfonsyre
PFOA – Perfluoroktansyre
PFOS – Perfluoroktansulfonsyre
PFOSA – Perfluoroktansulfonamid
PFNA – Perfluornonansyre
PFPeA – Perfluorpentansyre
PFTeDA – Perfluortetradekansyre
PFTrDA – Perfluortridekansyre
PFUdA – Perfluorundekansyre
POP – Persistent Organic Pollutant
SD – Standard deviation - standardavvik
Se – Selen
TBBP-A – Tetrabrombisfenol A
TE – Toksikologiske ekvivalenter; engelsk TEQ – Toxic equivalents
TEF – Toksikologiske ekvivalentfaktorer
TWI – Tolerabelt ukentlig inntak
UB – Upperbound: Ved konsentrasjoner under LOQ settes verdien lik LOQ
V - Vanadium
vv – våtvekt
WHO – World Health Organization – Verdens helseorganisasjon
ww – wet weight
Zn – Sink

 

6 - Referanser

Boitsov, S., Grøsvik, B.E., Nesje, G., Tveit, G. og Klungsoyr, J. (2016). Undersøkelser av organiske miljøgifter i fisk, skalldyr og sedimenter fra norske havområder de siste 20 årene. Repport fra Havforskningen. 132 s.

Bordajandi, L.R., Martin, I., Abad, E., Rivera, J. og Gonzalez, M.J. (2006). Organochlorine compounds (PCBs, PCDDs and PCDFs) in seafish and seafood from the Spanish Atlantic southwest coast. Chemosphere 64(9): 1450-1457.

Chouvelon, T., Caurant, F., Cherel, Y., Simon-Bouhet, B., Spitz, J. og Bustamante, P. (2014). Species- and size-related patterns in stable isotopes and mercury concentrations in fish help refine marine ecosystem indicators and provide evidence for distinct management units for hake in the Northeast Atlantic. ICES Journal of Marine Science 71(5): 1073-1087.

EFSA (2009). EFSA panel on contaminants in the food chain (CONTAM); Scientific opinion on arsenic in food. EFSA Journal 2009 7(10): 199 pp.

EFSA (2018). Scientific Opinion on the risk to human health related to the presence of perfluorooctanesulfonic acid and perfluorooctanoic acid in food. EFSA Journal 16 (12):5194: 284 s.

EU (2018). Commission regulation (EC) No 1881/2006 of 19 December 2006 setting maximum levels for certain contaminants in foodstuffs (Text with EEA relevance). Official Journal of the European Union. Consolidated version 19.03.18.

Frantzen, S. og Maage, A. (2016). Fremmedstoffer i villfisk med vekt på kystnære farvann. Brosme, lange og bifangstarter. Gjelder tall for prøver samlet inn i 2013-2015. NIFES-rapport. 116 s.

Frantzen, S., Måge, A., Duinker, A., Julshamn, K. og Iversen, S.A. (2015). A baseline study of metals in herring (Clupea harengus) from the Norwegian Sea, with focus on mercury, cadmium, arsenic and lead. Chemosphere 127: 164-170.

Goksoyr, A., Husoy, A.M., Larsen, H.E., Klungsoyr, J., Wilhelmsen, S., Maage, A., Brevik, E.M., Andersson, T., Celander, M., Pesonen, M. og Forlin, L. (1991). Environmental contaminants and biochemical responses in flatfish from the Hvaler Archipelago in Norway. Archives of Environmental Contamination and Toxicology 21(4): 486-496.

Green, N.W. og Knutzen, J. (2003). Organohalogens and metals in marine fish and mussels and some relationships to biological variables at reference localities in Norway. Marine Pollution Bulletin 46(3): 362-374.

Julshamn, K., Måge, A., Norli Skaar, H., Grobecker, K., Jorheim, L. og Fecher, P. (2007). Determination of arsenic, cadmium, mercury, and lead by inductively coupled plasma/mass spectrometry in foods after pressure digestion: NMKL Interlaboratory Study. Journal of AOAC International 90: 844-456.

Julshamn, K., Duinker, A., Berntssen, M., Nilsen, B.M., Frantzen, S., Nedreaas, K. og Maage, A. (2013a). A baseline study on levels of polychlorinated dibenzo-p-dioxins, polychlorinated dibenzofurans, non-ortho and mono-ortho PCBs, non-dioxin-like PCBs and polybrominated diphenyl ethers in Northeast Arctic cod (Gadus morhua) from different parts of the Barents Sea. Marine Pollution Bulletin 75(1-2): 250-258.

Julshamn, K., Duinker, A., Nilsen, B.M., Frantzen, S., Maage, A., Valdersnes, S. og Nedreaas, K. (2013b). A baseline study of levels of mercury, arsenic, cadmium and lead in Northeast Arctic cod (Gadus morhua) from different parts of the Barents Sea. Marine Pollution Bulletin 67(1–2): 187-195.

Julshamn, K., Duinker, A., Nilsen, B.M., Nedreaas, K. og Maage, A. (2013c). A baseline study of metals in cod (Gadus morhua) from the North Sea and coastal Norwegian waters, with focus on mercury, arsenic, cadmium and lead. Marine Pollution Bulletin 72(1): 264-273.

Julshamn, K., Nilsen, B.M., Duinker, A., Frantzen, S., Valdersnes, S., Nedreaas, K. og Måge, A. (2013d). Basisundersøkelse fremmedstoffer i torsk (Gadus morhua). Sluttrapport. NIFES-rapport. 28 s.

Julshamn, K., Nilsen, B.M., Frantzen, S., Valdersnes, S., Maage, A., Nedreaas, K. og Sloth, J.J. (2012a). Total and inorganic arsenic in fish samples from Norwegian waters. Food Additives & Contaminants Part B-Surveillance 5(4): 229-235.

Julshamn, K., Nilsen, B.M., Valdersnes, S. og Frantzen, S. (2012b). Årsrapport 2011. Mattilsynets program: Fremmedstoffer i villfisk med vekt på kystnære farvann: Delrapport I: Undersøkelser av miljøgifter i taskekrabbe. NIFES-rapport. 52 s.

Julshamn, K., Valdersnes, S., Nilsen, B.M. og Maage, A. (2012c). Årsrapport 2011 Mattilsynet. Fremmedstoffer i villfisk med vekt på kystnære farvann. Delrapport II - Undersøkelser av hval. NIFES-rapport. 20 s.

Leah, R.T., Evans, S.J. og Johnson, M.S. (1992). Arsenic in plaice (Pleuronectes platessa) and whiting (Merlangius merlangius) from the North-East Irish Sea. Marine Pollution Bulletin 24(11): 544-549.

Luten, J.B., Riekwelbooy, G. og Rauchbaar, A. (1982). Occurrence of arsenic in plaice (Pleuronectes platessa), nature of organo-arsenic compound present and its excretion by man. Environmental Health Perspectives 45(NOV): 165-170.

Mormede, S. og Davies, I.M. (2001a). Heavy metal concentrations in commercial deep-sea fish from the Rockall Trough. Continental Shelf Research 21(8-10): 899-916.

Mormede, S. og Davies, I.M. (2001b). Polychlorobiphenyl and pesticide residues in monkfish Lophius piscatorius and black scabbard Aphanopus carbo from the Rockall Trough. ICES Journal of Marine Science 58(3): 725-736.

Neff, J.M. (1997). Ecotoxicology of arsenic in the marine environment. Environmental Toxicology and Chemistry 16(5): 917-927.

Nilsen, B.M., Frantzen, S. og Julshamn, K. (2011). Fremmedstoffer i villfisk med vekt på kystnære farvann. En undersøkelse av innholdet av dioksiner og dioksinlignende PCB i torskelever fra 15 fjorder og havner langs norskekysten 2009. NIFES-rapport. 77 s.

Nilsen, B.M., Frantzen, S., Julshamn, K., Nedreaas, K. og Måge, A. (2013a). Basisundersøkelse av fremmedstoffer i sei (Pollachius virens) fra Nordsjøen. Sluttrapport for prosjektet "Fremmedstoffer i villfisk med vekt på kystnære farvann". NIFES-rapport. 56 s.

Nilsen, B.M., Frantzen, S., Nedreaas, K. og Julshamn, K. (2010). Basisundersøkelse av fremmedstoffer i blåkveite (Reinhardtius hippoglossoides). NIFES-rapport. 42 s.

Nilsen, B.M., Julshamn, K., Duinker, A., Nedreaas, K. og Måge, A. (2013b). Basisundersøkelse av fremmedstoffer i sei (Pollachius virens) fra Norskehavet og Barentshavet. Sluttrapport. NIFES-rapport. 44 s.

Nilsen, B.M., Nedreaas, K. og Måge, A. (2016). Kartlegging av fremmedstoffer i Atlantisk kveite (Hippoglossus hippoglossus). Sluttrapport for programmet "Miljøgifter i fisk og fiskevarer" 2013-2015. NIFES-rapport. 82 s.

Nøstbakken, O.J., Duinker, A., Rasinger, J.D., Nilsen, B.M., Sanden, M., Frantzen, S., Hove, H.T., Lundebye, A.-K., Berntssen, M., Hannisdal, R., Madsen, L. og Måge, A. (2018). Factors influencing risk assessments of brominated flame-retardants; evidence based on seafood from the North East Atlantic Ocean. Environment International 119: 544-557.

Storelli, M.M., Barone, G., Perrone, V.G. og Storelli, A. (2013). Risk characterization for polycyclic aromatic hydrocarbons and toxic metals associated with fish consumption. Journal of Food Composition and Analysis 31(1): 115-119.

Storelli, M.M. og Marcotrigiano, G.O. (2000). Fish for human consumption: risk of contamination by mercury. Food Additives and Contaminants 17(12): 1007-1011.

Wiech, M. (2018). Cadmium in brown crab Cancer pagurus in Norwegian waters. PhD dissertation. Institute of Biology, University of Bergen, Bergen. 172 s.